深度学习笔记之反向传播
1.神经网络参数训练迭代过程
我们在网络结构已知的情况下,对神经网络参数进行迭代式地训练
训练过程如下图

2.方向导数与偏导数
函数在某点有无数个切线的斜率的定义,而每一个切线都代表了一个变化的方向。

偏导数可以研究多元函数在降维时候的变化率。比如二元函数固定y不变,只让x单独变化,将其看成是关于x的一元函数的变化来研究。
3.梯度
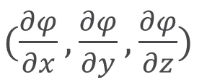
梯度是函数在某点无数个变化方向中变化最快的那个方向,记作grandf =
或
在一元函数中寻找最小值的过程,就是沿着导数方向移动的过程。在多元函数中,我们可以通过求出函数对每个变量的偏导数的方式,来得到梯度,这样就分别找到了函数对于不同变量而言变化最快的那个方向。

浙公网安备 33010602011771号