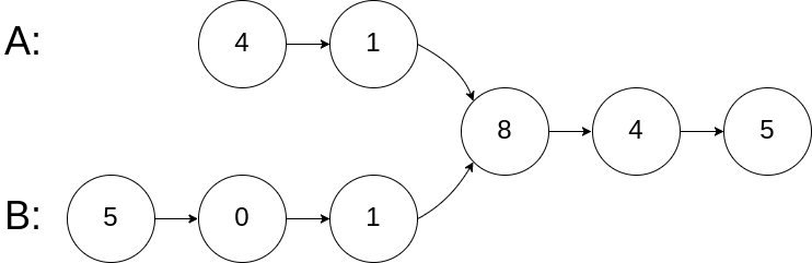
Leetcode160相交链表
电子科技大学考研题
指针移动问题

ListNode* getIntersectionNode(ListNode *headA, ListNode *headB) {
if(headA == nullptr && headB == nullptr)
return nullptr;
ListNode *cur_A = headA;
ListNode *cur_B = headB;
while(cur_A != cur_B)
{
cur_A = cur_A ? cur_A->next : headB;
cur_B = cur_B ? cur_B->next : headA;
}
return cur_A;
}
保持好奇心!

浙公网安备 33010602011771号