【leetcode - 94,144,145】前中后序遍历

【先序遍历】
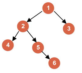
思路: 根-左-右 1-2-4-5-6-3 遍历左树,直到节点的左孩子不存在,返回上一节点,走向右侧。
class Solution: def preorderTraversal(self, root: TreeNode) -> List[int]: stack = [] res = [] cur = root while cur or stack: while cur: stack.append(cur) res.append(cur.val) cur = cur.left top = stack.pop() cur = top.right return res
class Solution: def preorderTraversal(self, root: TreeNode) -> List[int]: res = [] def helper(root): if not root: return res.append(root.val) helper(root.left) helper(root.right) helper(root) return res
【后序遍历】
思路: 左-右-根 4-6-5-2-3-1 考虑先序遍历,根-左-右,将后序遍历结果反过来得到:根-右-左,故按照先序的方法,将最终结果转换就可以了。
class Solution: def postorderTraversal(self, root: TreeNode) -> List[int]: stack = [] res = [] cur = root while stack or cur: while cur: stack.append(cur) res.append(cur.val) cur = cur.right top = stack.pop() cur = top.left return res[::-1]
class Solution: def preorderTraversal(self, root: TreeNode) -> List[int]: res = [] def helper(root): if not root: return helper(root.left) helper(root.right) res.append(root.val) helper(root) return res
【中序遍历】
思路: 左-根-右 4-2-5-6-1-3 考虑遍历的时候结果的list不添加值,在遍历到cur为空时再添加值
class Solution: def inorderTraversal(self, root: TreeNode) -> List[int]: stack = [] res = [] cur = root while cur and stack: while cur: stack.append(cur) cur = cur.left top = stack.pop() res.append(top.val) cur = top.right return res
中
class Solution: def preorderTraversal(self, root: TreeNode) -> List[int]: res = [] def helper(root): if not root: return helper(root.left) res.append(root.val) helper(root.right) helper(root) return res
浙公网安备 33010602011771号