JUC多线程 (三)
一、J.U.C之并发工具类
1. CyclicBarrier
1.1 介绍
CyclicBarrier也叫同步屏障,在JDK1.5被引入的一个同步辅助类,在API中是这么介绍的:
允许一组线程全部等待彼此达到共同屏障点的同步辅助。 循环阻塞在涉及固定大小的线程方的程序中很有用,这些线程必须偶尔等待彼此。 屏障被称为循环,因为它可以在等待的线程被释放之后重新使用。
CyclicBarrier好比一扇门,默认情况下关闭状态,堵住了线程执行的道路,直到所有线程都就位,门才打开,让所有线程一起通过。

1.2 实现分析

通过上图我们可以看到CyclicBarrier的内部是使用重入锁ReentrantLock和Condition。它有两个构造方法:
- CyclicBarrier(int parties):它将在给定数量的参与者(线程)处于等待状态时启动,但它不会在启动屏障时执行预定义的操作。parties表示拦截线程的数量。
- CyclicBarrier(int parties, Runnable barrierAction) :创建一个新的 CyclicBarrier,它将在给定数量的参与者(线程)处于等待状态时启动,并在启动屏障时执行给定的屏障操作,该操作由最后一个进入屏障的线程执行。
构造方法如下:
public CyclicBarrier(int parties, Runnable barrierAction) { if (parties <= 0) throw new IllegalArgumentException(); this.parties = parties; this.count = parties; this.barrierCommand = barrierAction; } public CyclicBarrier(int parties) { this(parties, null); }
在CyclicBarrier中最重要的方法莫过于await()方法,每个线程调用await方法告诉CyclicBarrier已经到达屏障位置,线程被阻塞。源码如下:
public int await() throws InterruptedException, BrokenBarrierException {
try {
return dowait(false, 0L);
} catch (TimeoutException toe) {
throw new Error(toe); // cannot happen
}
}
await()方法的逻辑:如果该线程不是到达的最后一个线程,则他会一直处于等待状态,除非发生以下情况:
- 最后一个线程到达,即index == 0
- 超出了指定时间(超时等待)
- 其他的某个线程中断当前线程
- 其他的某个线程中断另一个等待的线程
- 其他的某个线程在等待屏障超时
- 其他的某个线程在此屏障调用reset()方法。reset()方法用于将屏障重置为初始状态。
1.3 案例
田径比赛,所有运动员准备好了之后,大家一起跑,代码如下
public class Demo1CyclicBarrier { public static void main(String[] args) { CyclicBarrier cyclicBarrier = new CyclicBarrier(5); List<Thread> threadList = new ArrayList<>(); for (int i = 0; i < 5; i++) { Thread t = new Thread(new Athlete(cyclicBarrier, "运动员" + i)); threadList.add(t); } for (Thread t : threadList) { t.start(); } } static class Athlete implements Runnable { private CyclicBarrier cyclicBarrier; private String name; public Athlete(CyclicBarrier cyclicBarrier, String name) { this.cyclicBarrier = cyclicBarrier; this.name = name; } @Override public void run() { System.out.println(name + "就位"); try { cyclicBarrier.await(); System.out.println(name + "跑到终点。"); } catch (Exception e) { } } } }
执行结果:

2. CountDownLatch
2.1 介绍
CountDownLatch是一个计数的闭锁,作用与CyclicBarrier有点儿相似。
在API中是这样描述的:
用给定的计数初始化 CountDownLatch。由于调用了 countDown() 方法,所以在当前计数到达零之前,await 方法会一直受阻塞。之后,会释放所有等待的线程,await 的所有后续调用都将立即返回。
这种现象只出现一次——计数无法被重置。如果需要重置计数,请考虑使用 CyclicBarrier。
- CountDownLatch:一个或者多个线程,等待其他多个线程完成某件事情之后才能执行;
- CyclicBarrier:多个线程互相等待,直到到达同一个同步点,再继续一起执行。
对于CountDownLatch来说,重点是“一个线程(多个线程)等待”,而其他的N个线程在完成“某件事情”之后,可以终止,也可以等待。而对于CyclicBarrier,重点是多个线程,在任意一个线程没有完成,所有的线程都必须等待。
CountDownLatch是通过一个计数器来实现的,计数器的初始值为线程的数量。每当一个线程完成了自己的任务后,计数器的值就会减1。当计数器值到达0时,它表示所有的线程已经完成了任务,然后就可以恢复等待的线程继续执行了。如下图

2.2 实现分析
CountDownLatch结构如下

通过上面的结构图我们可以看到,CountDownLatch内部依赖Sync实现,而Sync继承AQS。CountDownLatch仅提供了一个构造方法:
CountDownLatch(int count) : 构造一个用给定计数初始化的 CountDownLatch
public CountDownLatch(int count) { if (count < 0) throw new IllegalArgumentException("count < 0"); this.sync = new Sync(count); }
sync为CountDownLatch的一个内部类,通过这个内部类Sync可以知道CountDownLatch是采用共享锁来实现的。最常用的两个方法是await()和countDown():
- CountDownLatch提供await()方法来使当前线程在锁存器倒计数至零之前一直等待,除非线程被中断。内部使用AQS的getState方法获取计数器,如果计数器值不等于0,则会以自旋方式会尝试一直去获取同步状态。
- CountDownLatch提供countDown() 方法递减锁存器的计数,如果计数到达零,则释放所有等待的线程。内部调用AQS的releaseShared(int arg)方法来释放共享锁同步状态。
2.3 案例
在CyclicBarrier应用场景之上进行修改,添加接力运动员。
起点运动员应该等其他起点运动员准备好才可以起跑(CyclicBarrier)。
接力运动员不需要关心其他人,只需和自己有关的起点运动员到接力点即可开跑(CountDownLatch)。
public class Demo2CountDownLatch { public static void main(String[] args) { CyclicBarrier cyclicBarrier = new CyclicBarrier(5); List<Thread> threadList = new ArrayList<>(); for (int i = 0; i < 5; i++) { CountDownLatch countDownLatch = new CountDownLatch(1); //起点运动员 Thread t1 = new Thread(new Athlete(cyclicBarrier, countDownLatch, "起点运动员" + i)); //接力运动员 Thread t2 = new Thread(new Athlete(countDownLatch, "接力运动员" + i)); threadList.add(t1); threadList.add(t2); } for (Thread t : threadList) { t.start(); } } static class Athlete implements Runnable { private CyclicBarrier cyclicBarrier; private String name; CountDownLatch countDownLatch; //起点运动员 public Athlete(CyclicBarrier cyclicBarrier, CountDownLatch countDownLatch, String name) { this.cyclicBarrier = cyclicBarrier; this.countDownLatch = countDownLatch; this.name = name; } //接力运动员 public Athlete(CountDownLatch countDownLatch, String name) { this.countDownLatch = countDownLatch; this.name = name; } @Override public void run() { //判断是否是起点运动员 if (cyclicBarrier != null) { System.out.println(name + "就位"); try { cyclicBarrier.await(); System.out.println(name + "到达交接点。"); //已经到达交接点 countDownLatch.countDown(); } catch (Exception e) { } } //判断是否是接力运动员 if (cyclicBarrier == null) { System.out.println(name + "就位"); try { countDownLatch.await(); System.out.println(name + "到达终点。"); } catch (Exception e) { } } } } }
查看执行结果:

3. Semaphore
3.1 介绍
Semaphore是一个控制访问多个共享资源的计数器,和CountDownLatch一样,其本质上是一个“共享锁”。
Semaphore维护了一个信号量许可集。线程可以获取信号量的许可;当信号量中有可用的许可时,线程能获取该许可;否则线程必须等待,直到有可用的许可为止。 线程可以释放它所持有的信号量许可,被释放的许可归还到许可集中,可以被其他线程再次获取。
举个例子:
假设停车场仅有5个停车位,一开始停车场没有车辆所有车位全部空着,然后先后到来三辆车,停车场车位够,安排进去停车,然后又来三辆,这个时候由于只剩两个停车位,所有只能停两辆,其余一辆必须在外面候着,直到停车场有空车位,当然以后每来一辆都需要在外面等着。当停车场有车开出去,里面有空位了,则安排一辆车进去(至于是哪辆车 要看选择的机制是公平还是非公平)。
Semaphore常用于约束访问一些(物理或逻辑)资源的线程数量。
当信号量初始化为 1 时,可以当作互斥锁使用,因为它只有两个状态:有一个许可能使用,或没有许可能使用。当以这种方式使用时,“锁”可以被其他线程控制和释放,而不是主线程控制释放。
3.2 实现分析

从上图可以看出Semaphore内部包含公平锁(FairSync)和非公平锁(NonfairSync),继承内部类Sync,其中Sync继承AQS(再一次阐述AQS的重要性)。
Semaphore提供了两个构造函数:
- Semaphore(int permits) :创建具有给定的许可数和非公平的 Semaphore。
- Semaphore(int permits, boolean fair) :创建具有给定的许可数和给定的公平设置的 Semaphore。
实现如下:(Semaphore默认选择非公平锁)
public Semaphore(int permits) {
sync = new NonfairSync(permits);
}
public Semaphore(int permits, boolean fair) {
sync = fair ? new FairSync(permits) : new NonfairSync(permits);
}
信号量获取
Semaphore提供了acquire()方法来获取一个许可。
public void acquire() throws InterruptedException {
sync.acquireSharedInterruptibly(1);
}
FairSync内部使用AQS以共享模式获取同步状态,核心源码:
//公平 判断该线程是否位于CLH队列的列头 protected int tryAcquireShared(int acquires) { for (;;) { //判断该线程是否位于CLH队列的列头 if (hasQueuedPredecessors()) return -1; //获取当前的信号量许可 int available = getState(); //设置“获得acquires个信号量许可之后,剩余的信号量许可数” int remaining = available - acquires; //CAS设置信号量 if (remaining < 0 || compareAndSetState(available, remaining)) return remaining; } }
//非公平 对于非公平而言,因为它不需要判断当前线程是否位于CLH同步队列列头。 protected int tryAcquireShared(int acquires) { return nonfairTryAcquireShared(acquires); } final int nonfairTryAcquireShared(int acquires) { for (;;) { int available = getState(); int remaining = available - acquires; if (remaining < 0 || compareAndSetState(available, remaining)) return remaining; } }
信号量释放
获取了许可,当用完之后就需要释放,Semaphore提供release()来释放许可。
public void release() {
sync.releaseShared(1);
}
内部调用AQS释放许可,核心代码:
protected final boolean tryReleaseShared(int releases) { for (;;) { int current = getState(); //信号量的许可数 = 当前信号许可数 + 待释放的信号许可数 int next = current + releases; if (next < current) // overflow throw new Error("Maximum permit count exceeded"); //设置可获取的信号许可数为next if (compareAndSetState(current, next)) return true; } }
3.3 案例
停车为示例:
public class Demo3Semaphore { public static void main(String[] args) { Parking parking = new Parking(3); for (int i = 0; i < 5; i++) { new Car(parking).start(); } } static class Parking { //信号量 private Semaphore semaphore; Parking(int count) { semaphore = new Semaphore(count); } public void park() { try { //获取信号量 semaphore.acquire(); long time = (long) (Math.random() * 10); System.out.println(Thread.currentThread().getName() + "进入停车场,停车" + time + "秒..."); Thread.sleep(time); System.out.println(Thread.currentThread().getName() + "开出停车场..."); } catch (InterruptedException e) { e.printStackTrace(); } finally { //释放信号量 semaphore.release(); } } } static class Car extends Thread { Parking parking; Car(Parking parking) { this.parking = parking; } @Override public void run() { //进入停车场 parking.park(); } } }
执行结果:

二、J.U.C之并发容器ConcurrentHashMap
1. 介绍
HashMap是我们用得非常频繁的一个集合,但是它是线程不安全的。并且在多线程环境下,put操作是有可能产生死循环,不过在JDK1.8的版本中更换了数据插入的顺序,已经解决了这个问题。
为了解决该问题,提供了Hashtable和Collections.synchronizedMap(hashMap)两种解决方案,但是这两种方案都是对读写加锁,独占式。一个线程在读时其他线程必须等待,吞吐量较低,性能较为低下。而J.U.C给我们提供了高性能的线程安全HashMap:ConcurrentHashMap。
在1.8版本以前,ConcurrentHashMap采用分段锁的概念,使锁更加细化,但是1.8已经改变了这种思路,而是利用CAS+Synchronized来保证并发更新的安全,当然底层采用数组+链表+红黑树的存储结构。
2. JDK7 HashMap
HashMap 是最简单的,它不支持并发操作,下面这张图是 HashMap 的结构:

HashMap 里面是一个数组,然后数组中每个元素是一个单向链表。每个绿色的实体是嵌套类 Entry 的实例,Entry 包含四个属性:key, value, hash 值和用于单向链表的 next。
public HashMap(int initialCapacity, float loadFactor)初始化方法的参数说明:
capacity:当前数组容量,始终保持 2^n,可以扩容,扩容后数组大小为当前的 2 倍。 loadFactor:负载因子,默认为 0.75。 threshold:扩容的阈值,等于 capacity * loadFactor
put 过程
- 数组初始化,在第一个元素插入 HashMap 的时候做一次数组的初始化,先确定初始的数组大小,并计算数组扩容的阈值。
- 计算具体数组位置,使用key进行hash值计算,根据hash值计算应该放在哪个数组中。
- 找到数组下标后,会先进行 key 判断是否重复,如果没有重复,就准备将新值放入到链表的表头(在多线程操作中,这种操作会造成死循环,在jdk1.8已解决)。
- 数组扩容,在插入新值的时候,如果当前的 size 已经达到了阈值,并且要插入的数组位置上已经有元素,那么就会触发扩容,扩容后,数组大小为原来的 2 倍。扩容就是用一个新的大数组替换原来的小数组,并将原来数组中的值迁移到新的数组中。
get过程
- 根据 key 计算 hash 值。
- 根据hash值找到相应的数组下标。
- 遍历该数组位置处的链表,直到找到相等的 key。
3. JDK7 ConcurrentHashMap
ConcurrentHashMap 和 HashMap 思路是差不多的,但是因为它支持并发操作,所以要复杂一些。
整个 ConcurrentHashMap 由一个个 Segment 组成,Segment 代表”部分“或”一段“的意思,所以很多人都会将其描述为分段锁。简单的说,ConcurrentHashMap 是一个 Segment 数组,Segment 通过继承 ReentrantLock 来进行加锁,所以每次需要加锁的操作锁住的是一个 segment,这样只要保证每个 Segment 是线程安全的。

再具体到每个 Segment 内部,其实每个 Segment 很像之前介绍的 HashMap,每次操作锁住的是一个 segment,这样只要保证每个 Segment 是线程安全的。
初始化
public ConcurrentHashMap(int initialCapacity, float loadFactor, int concurrencyLevel)初始化方法
- initialCapacity:整个 ConcurrentHashMap 的初始容量,实际操作的时候需要平均分给每个 Segment。
- concurrencyLevel:并发数(或者Segment 数,有很多叫法,重要的是如何理解)。默认是 16,也就是说 ConcurrentHashMap 有 16 个 Segments,所以这个时候,最多可以同时支持 16 个线程并发写,只要它们的操作分别分布在不同的 Segment 上。这个值可以在初始化的时候设置为其他值,但是一旦初始化以后,它是不可以扩容的。
- loadFactor:负载因子,Segment 数组不可以扩容,所以这个负载因子是给每个 Segment 内部使用的。
举个简单的例子:
用 new ConcurrentHashMap() 无参构造函数进行初始化的,那么初始化完成后:
- Segment 数组长度为 16,不可以扩容
- Segment[i] 的默认大小为 2,负载因子是 0.75,得出初始阈值为 1.5,也就是以后插入第一个元素不会触发扩容,插入第二个会进行第一次扩容
- 这里初始化了 segment[0],其他位置还是 null,
put过程
- 根据 hash 值能找到相应的 Segment,之后就是 Segment 内部的 put 操作了。
- Segment 内部是由 数组+链表 组成的,由于有独占锁的保护,所以 segment 内部的操作并不复杂。保证多线程安全的,就是做了一件事,那就是获取该 segment 的独占锁。
- Segment 数组不能扩容,rehash方法扩容是 segment 数组某个位置内部的数组 HashEntry[] 进行扩容,扩容后,容量为原来的 2 倍。
get过程
- 计算 hash 值,找到 segment 数组中的具体位置
- segment 数组中也是数组,再根据 hash 找到数组中具体值的位置
- 到这里是链表了,顺着链表进行查找即可
4. JDK8 HashMap
Java8 对 HashMap 进行了一些修改,最大的不同就是利用了红黑树,所以其由 数组+链表+红黑树 组成。
根据 Java7 HashMap 的介绍,我们知道,查找的时候,根据 hash 值我们能够快速定位到数组的具体下标,但是之后的话,需要顺着链表一个个比较下去才能找到我们需要的,时间复杂度取决于链表的长度。
为了降低这部分的开销,在 Java8 中,当链表中的元素超过了 8 个以后,会将链表转换为红黑树,在这些位置进行查找的时候可以降低时间复杂度。

jdk7 中使用 Entry 来代表每个 HashMap 中的数据节点,jdk8 中使用 Node,基本没有区别,都是 key,value,hash 和 next 这四个属性,不过,Node 只能用于链表的情况,红黑树的情况需要使用 TreeNode。
我们根据数组元素中,第一个节点数据类型是 Node 还是 TreeNode 来判断该位置下是链表还是红黑树的。
put过程
和jdk7的put差不多
- 和 Jdk7 不一样的地方就是,jdk7是先扩容后插入新值的,jdk8 先插入值再扩容
- 先使用链表进行存放数据,当数量超过8个的时候,将链表转为红黑树
get 过程分析
- 计算 key 的 hash 值,根据 hash 值找到对应数组下标。
- 判断数组该位置处的元素是否刚好就是我们要找的,如果不是,走第三步。
- 判断该元素类型是否是 TreeNode,如果是,用红黑树的方法取数据,如果不是,走第四步。
- 遍历链表,直到找到相等(==或equals)的 key。
5. JDK8 ConcurrentHashMap
Java7 中实现的 ConcurrentHashMap 还是比较复杂的,Java8 对 ConcurrentHashMap 进行了比较大的改动。可以参考 Java8 中 HashMap 相对于 Java7 HashMap 的改动,对于 ConcurrentHashMap,Java8 也引入了红黑树。
在1.8版本以前,ConcurrentHashMap采用分段锁的概念,使锁更加细化,但是1.8已经改变了这种思路,而是利用CAS+Synchronized来保证并发更新的安全,底层采用数组+链表+红黑树的存储结构。

6. 使用场景
ConcurrentHashMap通常只被看做并发效率更高的Map,用来替换其他线程安全的Map容器,比如Hashtable和Collections.synchronizedMap。线程安全的容器,特别是Map,很多情况下一个业务中涉及容器的操作有多个,即复合操作,而在并发执行时,线程安全的容器只能保证自身的数据不被破坏,和数据在多个线程间是可见的,但无法保证业务的行为是否正确。
ConcurrentHashMap总结:
- HashMap是线程不安全的,ConcurrentHashMap是线程安全的,但是线程安全仅仅指的是对容器操作的时候是线程安全的
- ConcurrentHashMap的public V get(Object key)不涉及到锁,也就是说获得对象时没有使用锁
- put、remove方法,在jdk7使用锁,但多线程中并不一定有锁争用,原因在于ConcurrentHashMap将缓存的变量分到多个Segment,每个Segment上有一个锁,只要多个线程访问的不是一个Segment就没有锁争用,就没有堵塞,各线程用各自的锁,ConcurrentHashMap缺省情况下生成16个Segment,也就是允许16个线程并发的更新而尽量没有锁争用。而在jdk8中使用的CAS+Synchronized来保证线程安全,比加锁的性能更高
- ConcurrentHashMap线程安全的,允许一边更新、一边遍历,也就是说在对象遍历的时候,也可以进行remove、put操作,且遍历的数据会随着remove、put操作产出变化,
案例1:遍历的同时删除
public class Demo4ConcurrentHashMap1 { public static void main(String[] args) { Map<String, Integer> map = new HashMap(); //Map<String, Integer> map = new ConcurrentHashMap<>(); //Map<String, Integer> map = new Hashtable<>(); map.put("a", 1); map.put("b", 1); map.put("c", 1); for (Map.Entry<String, Integer> entry : map.entrySet()) { map.remove(entry.getKey()); } System.out.println(map.size()); } }
执行结果:HashMap和Hashtable第二次遍历时报错java.util.ConcurrentModificationException,ConcurrentHashMap输出结果:0
案例2:业务操作的线程安全不能保证
public class Demo4ConcurrentHashMap2 { public static void main(String[] args) { final Map<String, Integer> count = new HashMap<>(); //final Map<String, Integer> count = new ConcurrentHashMap<>(); //final Hashtable<String, Integer> count = new Hashtable<>(); count.put("count", 0); Runnable task = new Runnable() { @Override public void run() { //synchronized (count) { int value; for (int i = 0; i < 2000; i++) { value = count.get("count"); count.put("count", value + 1); //} } } }; new Thread(task).start(); new Thread(task).start(); new Thread(task).start(); try { Thread.sleep(1000l); System.out.println(count); } catch (Exception e) { e.printStackTrace(); } } }
执行结果:HashMap输出2477,ConcurrentHashMap输出2904,Hashtable输出2959
案例3:多线程删除
public class Demo4ConcurrentHashMap3 { public static void main(String[] args) { final Map<String, Integer> count = new HashMap<>(); //final Map<String, Integer> count = new ConcurrentHashMap<>(); //final Hashtable<String, Integer> count = new Hashtable<>(); for (int i = 0; i < 2000; i++) { count.put("count" + i, 1); } Runnable task1 = new Runnable() { @Override public void run() { for (int i = 0; i < 500; i++) { count.remove("count" + i); } } }; Runnable task2 = new Runnable() { @Override public void run() { for (int i = 1000; i < 1500; i++) { count.remove("count" + i); } } }; new Thread(task1).start(); new Thread(task2).start(); try { Thread.sleep(1000l); System.out.println(count.size()); } catch (Exception e) { e.printStackTrace(); } } }
执行结果:HashMap输出21031,ConcurrentHashMap输出1000,Hashtable输出1000
7. 对比Hashtable
Hashtable和ConcurrentHashMap的不同点:
- Hashtable对get、put、remove都使用了同步操作,它的同步级别是正对Hashtable来进行同步的,也就是说如果有线程正在遍历集合,其他的线程就暂时不能使用该集合了,这样无疑就很容易对性能和吞吐量造成影响,从而形成单点。而ConcurrentHashMap则不同,它只对put,remove操作使用了同步操作,get操作并不影响。
- Hashtable在遍历的时候,如果其他线程,包括本线程对Hashtable进行了put,remove等更新操作的话,就会抛出ConcurrentModificationException异常,但如果使用ConcurrentHashMap的话,就不用考虑这方面的问题了
8. 了解ConcurrentSkipListMap
通过对前面ConcurrentHashMap的学习,我们了解到Map存放数据的两种数据结构:链表和红黑树,这两种数据结构各自都有着优缺点。而ConcurrentSkipListMap使用的是第三种数据结构:SkipList。SkipList有着不低于红黑树的效率。
Skip List ,称之为跳表,它是一种可以替代平衡树的数据结构,其数据元素默认按照key值升序,天然有序。Skip list让已排序的数据分布在多层链表中,以0-1随机数决定一个数据的向上攀升与否,通过“空间来换取时间”的一个算法,在每个节点中增加了向前的指针,在插入、删除、查找时可以忽略一些不可能涉及到的结点,从而提高了效率。
我们先看一个简单的链表,如下:

如果我们需要查询9、21、30,则需要比较次数为3 + 6 + 8 = 17 次,那么有没有优化方案呢?有!我们将该链表中的某些元素提炼出来作为一个比较“索引”,如下:

我们先与这些索引进行比较来决定下一个元素是往右还是下走,由于存在“索引”的缘故,导致在检索的时候会大大减少比较的次数。当然元素不是很多,很难体现出优势,当元素足够多的时候,这种索引结构就会大显身手。
我们将上图再做一些扩展就可以变成一个典型的SkipList结构:

SkipListd的查找
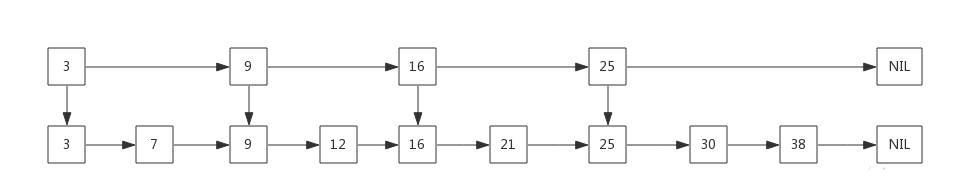
对于上面我们我们要查找元素21,其过程如下:
- 比较3,大于,往后找(9),
- 比9大,继续往后找(25),但是比25小,则从9的下一层开始找(16)
- 16的后面节点依然为25,则继续从16的下一层找
- 找到21

绿线代表查询路径
SkipList的插入
SkipList的插入操作主要包括:
- 查找合适的位置。这里需要明确一点就是在确认新节点要占据的层次K时,采用丢硬币的方式,完全随机。如果占据的层次K大于链表的层次,则重新申请新的层,否则插入指定层次
- 申请新的节点
- 调整指针
假定我们要插入的元素为23,经过查找可以确认她是位于25后,9、16、21前。当然需要考虑申请的层次K。
如果层次K > 3,需要申请新层次(Level 4)

如果层次 K = 2,直接在Level 2 层插入即可

SkipList的删除
删除节点和插入节点思路基本一致:找到节点,删除节点,调整指针。
比如删除节点9,如下:

三、J.U.C队列
要实现一个线程安全的队列有两种方式:阻塞和非阻塞

1. 非阻塞队列ConcurrentLinkedQueue
在单线程编程中我们会经常用到一些集合类,比如ArrayList、HashMap等,但是这些类都不是线程安全的类。在面试中也经常会有一些考点,比如ArrayList不是线程安全的,Vector是线程安全。而保障Vector线程安全的方式,是非常粗暴的在方法上用synchronized独占锁,将多线程执行变成串行化。要想将ArrayList变成线程安全的也可以使用Collections.synchronizedList(List<T> list)方法ArrayList转换成线程安全的,但这种转换方式依然是通过synchronized修饰方法实现的,很显然这不是一种高效的方式,同时,队列也是我们常用的一种数据结构。
为了解决线程安全的问题,J.U.C为我们准备了ConcurrentLinkedQueue这个线程安全的队列。从类名就可以看的出来实现队列的数据结构是链式。ConcurrentLinkedQueue是一个基于链接节点的无边界的线程安全队列,遵循队列的FIFO原则,队尾入队,队首出队。采用CAS算法来实现的。
使用案例:
public class ConcurrentLinkedQueueDemo { public static void main(String[] args) throws Exception { Queue<String> queue = new ConcurrentLinkedQueue<String>(); for (int i = 0; i < 10000; i++) { //队列中添加元素 queue.add(String.valueOf(i)); } QueueDemo1 demo1 = new QueueDemo1(queue); for (int i = 0; i < 10; i++) { Thread t = new Thread(demo1); t.start(); } } } class QueueDemo1 implements Runnable { Queue<String> queue; public QueueDemo1(Queue<String> queue) { this.queue = queue; } public void run() { try { long start = new Date().getTime(); //检索并移除此队列的头,如果此队列为空,则返回 null while (queue.poll() != null) { //if (queue.size() == 0) { //} if (queue.isEmpty()) { } } System.out.println(System.currentTimeMillis() - start); } catch (Exception e) { e.printStackTrace(); } } }
执行结果:
![]()
注意:
- ConcurrentLinkedQueue的.size() 是要遍历一遍集合的,很慢的,所以尽量要避免用size
- 使用了这个ConcurrentLinkedQueue 类之后还是需要自己进行同步或加锁操作。例如queue.isEmpty()后再进行队列操作queue.add()是不能保证安全的,因为可能queue.isEmpty()执行完成后,别的线程开始操作队列。
2. 阻塞队列BlockingQueue
2.1 BlockingQueue介绍
BlockingQueue即阻塞队列,从阻塞这个词可以看出,在某些情况下对阻塞队列的访问可能会造成阻塞。被阻塞的情况主要有如下两种:
- 当队列满了的时候进行入队列操作
- 当队列空了的时候进行出队列操作
因此,当一个线程试图对一个已经满了的队列进行入队列操作时,它将会被阻塞,除非有另一个线程做了出队列操作;同样,当一个线程试图对一个空队列进行出队列操作时,它将会被阻塞,除非有另一个线程进行了入队列操作。

BlockingQueue 对插入操作、移除操作、获取元素操作提供了四种不同的方法用于不同的场景中使用:
- 抛出异常
- 返回特殊值(null 或 true/false,取决于具体的操作)
- 阻塞等待此操作,直到这个操作成功
- 阻塞等待此操作,直到成功或者超时指定时间。
总结如下:

接下来我们介绍这个接口的几个实现类。
2.2 ArrayBlockingQueue
ArrayBlockingQueue是一个由数组实现的有界阻塞队列。该队列采用FIFO的原则对元素进行排序添加的。
ArrayBlockingQueue为有界且固定,其大小在构造时由构造函数来决定,确认之后就不能再改变了。
ArrayBlockingQueue支持对等待的生产者线程和使用者线程进行排序的可选公平策略,但是在默认情况下不保证线程公平的访问,在构造时可以选择公平策略(fair = true)。公平性通常会降低吞吐量,但是减少了可变性和避免了“不平衡性”。
ArrayBlockingQueue继承AbstractQueue,实现BlockingQueue接口。java.util.AbstractQueue,在Queue接口中扮演着非常重要的作用,该类提供了对queue操作的骨干实现。BlockingQueue继承java.util.Queue为阻塞队列的核心接口,提供了在多线程环境下的出列、入列操作,作为使用者,则不需要关心队列在什么时候阻塞线程,什么时候唤醒线程,所有一切均由BlockingQueue来完成。
ArrayBlockingQueue内部使用可重入锁ReentrantLock + Condition来完成多线程环境的并发操作。
- items,一个定长数组,维护ArrayBlockingQueue的元素
- takeIndex,int,为ArrayBlockingQueue队首位置
- putIndex,int,ArrayBlockingQueue队尾位置
- count,元素个数
- lock,锁,ArrayBlockingQueue出列入列都必须获取该锁,两个步骤公用一个锁
public class ArrayBlockingQueue<E> extends AbstractQueue<E> implements BlockingQueue<E>, Serializable { private static final long serialVersionUID = -817911632652898426L; final Object[] items; int takeIndex; int putIndex; int count; // 重入锁 final ReentrantLock lock; // notEmpty condition private final Condition notEmpty; // notFull condition private final Condition notFull; transient ArrayBlockingQueue.Itrs itrs; }
使用示例:
public class Demo6BlockingQueueTest { //最大容量为5的数组阻塞队列 private static ArrayBlockingQueue<Integer> queue = new ArrayBlockingQueue<Integer>(5, true); //private static LinkedBlockingQueue<Integer> queue = new LinkedBlockingQueue<Integer>(5); public static void main(String[] args) { Thread t1 = new Thread(new ProducerTask()); Thread t2 = new Thread(new ConsumerTask()); //启动线程 t1.start(); t2.start(); } //生产者 static class ProducerTask implements Runnable { private Random rnd = new Random(); @Override public void run() { try { while (true) { int value = rnd.nextInt(100); //如果queue容量已满,则当前线程会堵塞,直到有空间再继续 queue.put(value); System.out.println("生产者:" + value); TimeUnit.MILLISECONDS.sleep(100); //线程休眠 } } catch (Exception e) { } } } //消费者 static class ConsumerTask implements Runnable { @Override public void run() { try { while (true) { //如果queue为空,则当前线程会堵塞,直到有新数据加入 Integer value = queue.take(); System.out.println("消费者:" + value); TimeUnit.MILLISECONDS.sleep(15); //线程休眠 } } catch (Exception e) { } } } }
执行结果:生产者生产数据入列后进入休眠,消费者立马进行出列消费数据,然后休眠15毫秒queue为空继续等待,直到生产者休眠到100毫秒后继续生产然后消费数据;LinkedBlockingQueue的效果跟ArrayBlockingQueue是一样的。
2.3 LinkedBlockingQueue
LinkedBlockingQueue和ArrayBlockingQueue的使用方式基本一样,但还是有一定的区别:
1)队列的数据结构不同
ArrayBlockingQueue是一个由数组支持的有界阻塞队列
LinkedBlockingQueue是一个基于链表的有界(可设置)阻塞队列
2)队列中锁的实现不同
ArrayBlockingQueue实现的队列中的锁是没有分离的,即生产和消费用的是同一个锁;
LinkedBlockingQueue实现的队列中的锁是分离的,即生产用的是putLock,消费是takeLock
3)在生产或消费时操作不同
ArrayBlockingQueue实现的队列中在生产和消费的时候,是直接将枚举对象插入或移除的;
LinkedBlockingQueue实现的队列中在生产和消费的时候,需要把枚举对象转换为Node进行插入或移除,会影响性能
4)队列大小初始化方式不同
ArrayBlockingQueue实现的队列中必须指定队列的大小;
LinkedBlockingQueue实现的队列中可以不指定队列的大小,但是默认是Integer.MAX_VALUE
2.4 PriorityBlockingQueue
PriorityBlockingQueue类似于ArrayBlockingQueue内部使用一个独占锁来控制,同时只有一个线程可以进行入队和出队。
PriorityBlockingQueue是一个优先级队列,它在java.util.PriorityQueue的基础上提供了可阻塞的读取操作。它是无界的,就是说向Queue里面增加元素没有数量限制,但可能会导致内存溢出而失败。
PriorityBlockingQueue始终保证出队的元素是优先级最高的元素,并且可以定制优先级的规则,内部使用二叉堆,通过使用一个二叉树最小堆算法来维护内部数组,这个数组是可扩容的,当当前元素个数>=最大容量时候会通过算法扩容。值得注意的是为了避免在扩容操作时候其他线程不能进行出队操作,实现上使用了先释放锁,然后通过CAS保证同时只有一个线程可以扩容成功。
小结:
1、优先队列不允许空值,而且不支持non-comparable(不可比较)的对象,比如用户自定义的类。优先队列要求使用Java Comparable和Comparator接口给对象排序,并且在排序时会按照优先级处理其中的元素。
2、优先队列的头是基于自然排序或者Comparator排序的最小元素。如果有多个对象拥有同样的排序,那么就可能随机地取其中任意一个。也可以通过提供的Comparator(比较器)在队列实现自定的排序。当我们获取队列时,返回队列的头对象。
3、优先队列的大小是不受限制的,但在创建时可以指定初始大小,当我们向优先队列增加元素的时候,队列大小会自动增加。
4、PriorityQueue是非线程安全的,所以Java提供了PriorityBlockingQueue(实现BlockingQueue接口)用于Java多线程环境。
使用案例:
public class Demo7PriorityBlockQueue { public static void main(String[] args) throws InterruptedException { PriorityBlockingQueue<User> queue = new PriorityBlockingQueue<User>(); PriorityDemo demo = new PriorityDemo(queue); for (int i = 0; i < 5; i++) { new Thread(demo).start(); } Thread.sleep(100); User u = queue.poll(); while (u != null) { System.out.println("优先级是:" + u.getPriority() + "," + u.getUsername()); u = queue.poll(); } } static class PriorityDemo implements Runnable { PriorityBlockingQueue queue; Random r = new Random(); public PriorityDemo(PriorityBlockingQueue queue) { this.queue = queue; } @Override public void run() { for (int i = 0; i < 3; i++) { User user = new User(); user.setPriority(r.nextInt(100)); user.setUsername("张三" + i); queue.add(user); } } } static class User implements Comparable<User> { private Integer priority; private String username; @Override public int compareTo(User user) { //System.out.println("比较结果"+this.priority.compareTo(user.getPriority())); return this.priority.compareTo(user.getPriority()); } public Integer getPriority() { return priority; } public void setPriority(Integer priority) { this.priority = priority; } public String getUsername() { return username; } public void setUsername(String username) { this.username = username; } } }
执行结果:

2.5 SynchronousQueue
SynchronousQueue,实际上它不是一个真正的队列,因为它不会为队列中元素维护存储空间。与其他队列不同的是,它维护一组线程,这些线程在等待着把元素加入或移出队列。SynchronousQueue没有存储功能,因此put和take会一直阻塞,直到有另一个线程已经准备好参与到交付过程中。
仅当有足够多的消费者,并且总是有一个消费者准备好获取交付的工作时,才适合使用同步队列。这种实现队列的方式看似很奇怪,但由于可以直接交付工作,从而降低了将数据从生产者移动到消费者的延迟。
直接交付方式还会将更多关于任务状态的信息反馈给生产者。当交付被接受时,它就知道消费者已经得到了任务,而不是简单地把任务放入一个队列——这种区别就好比将文件直接交给同事,还是将文件放到她的邮箱中并希望她能尽快拿到文件。
SynchronousQueue对于正在等待的生产者和使用者线程而言,默认是非公平排序,也可以选择公平排序策略。但是,使用公平所构造的队列可保证线程以 FIFO 的顺序进行访问。 公平通常会降低吞吐量,但是可以减小可变性并避免得不到服务。
SynchronousQueue特点:
-
是一种阻塞队列,其中每个 put 必须等待一个 take,反之亦然。同步队列没有任何内部容量,甚至连一个队列的容量都没有。
-
是线程安全的,是阻塞的。
-
不允许使用 null 元素。
-
公平排序策略是指调用put的线程之间,或take的线程之间的线程以 FIFO 的顺序进行访问。
-
SynchronousQueue的方法:
- iterator(): 永远返回空,因为里面没东西。
- peek() :永远返回null。
- put() :往queue放进去一个element以后就一直wait直到有其他thread进来把这个element取走。
- offer() :往queue里放一个element后立即返回,如果碰巧这个element被另一个thread取走了,offer方法返回true,认为offer成功;否则返回false。
- offer(2000, TimeUnit.SECONDS) :往queue里放一个element但等待时间后才返回,和offer()方法一样。
- take() :取出并且remove掉queue里的element,取不到东西他会一直等。
- poll() :取出并且remove掉queue里的element,方法立即能取到东西返回。否则立即返回null。
- poll(2000, TimeUnit.SECONDS) :等待时间后再取,并且remove掉queue里的element。
- isEmpty():永远是true。
- remainingCapacity() :永远是0。
- remove()和removeAll() :永远是false。
使用案例:
public class Demo8SynchronousQueue { public static void main(String[] args) throws InterruptedException { SynchronousQueue<Integer> queue = new SynchronousQueue<Integer>(); new Thread(new Product(queue)).start(); new Thread(new Customer(queue)).start(); } static class Product implements Runnable { SynchronousQueue<Integer> queue; Random r = new Random(); public Product(SynchronousQueue<Integer> queue) { this.queue = queue; } @Override public void run() { while (true) { int number = r.nextInt(1000); System.out.println("等待5秒后运送" + number); try { TimeUnit.SECONDS.sleep(5); queue.put(number); } catch (Exception e) { e.printStackTrace(); } } } } static class Customer implements Runnable { SynchronousQueue<Integer> queue; public Customer(SynchronousQueue<Integer> queue) { this.queue = queue; } @Override public void run() { while (true) { try { System.out.println("收到了:" + queue.take()); } catch (Exception e) { e.printStackTrace(); } } } } }
执行结果:

浙公网安备 33010602011771号