时序模型
import pandas as pd
import numpy as np
from sklearn.linear_model import Lasso
inputfile = './data.csv'  # 输入的数据文件
data = pd.read_csv(inputfile)  # 读取数据
lasso = Lasso(1000)  # 调用Lasso()函数,设置λ的值为1000
lasso.fit(data.iloc[:,0:13],data['y'])
data = data.iloc[:, 0:13]
mask = lasso.coef_ != 0  # 返回一个相关系数是否为零的布尔数组
outputfile ='./new_reg_data.csv'  # 输出的数据文件
new_reg_data = data.iloc[:, mask]  # 返回相关系数非零的数据
new_reg_data.to_csv(outputfile)  # 存储数据
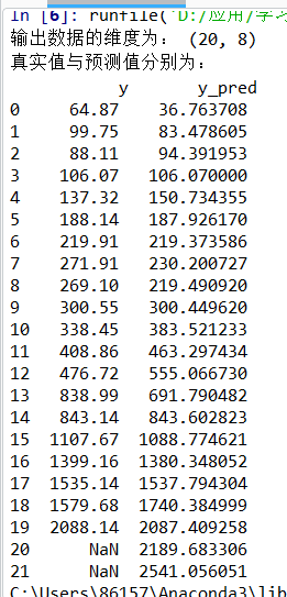
print('输出数据的维度为:',new_reg_data.shape)  # 查看输出数据的维度
import matplotlib.pyplot as plt
from sklearn.svm import LinearSVR
inputfile = './new_reg_data_GM11.xls'  # 灰色预测后保存的路径
data = pd.read_excel(inputfile)  # 读取数据
feature = ['x1', 'x3', 'x4', 'x5', 'x6', 'x7', 'x8', 'x13']  # 属性所在列
data_train = data.iloc[0:20].copy()  # 取2014年前的数据建模 
data_mean = data_train.mean()
data_std = data_train.std()
data_train = (data_train - data_mean)/data_std  # 数据标准化
x_train = data_train[feature].values  # 属性数据
y_train = data_train['y'].values  # 标签数据
linearsvr = LinearSVR()  # 调用LinearSVR()函数
linearsvr.fit(x_train,y_train)
x = ((data[feature] - data_mean[feature])/data_std[feature]).values  # 预测,并还原结果。
data['y_pred'] = linearsvr.predict(x) * data_std['y'] + data_mean['y']
outputfile = './new_reg_data_GM11_revenue.xls'  # SVR预测后保存的结果
data.to_excel(outputfile)
print('真实值与预测值分别为:\n',data[['y','y_pred']])
fig = data[['y','y_pred']].plot(subplots = True, style=['b-o','r-*'])  # 画出预测结果图
plt.show()
灰度预测及linearSVR:
 
  
import pandas as pd
import numpy as np
import matplotlib.pyplot as plt
plt.rcParams['font.sans-serif'] = ['SimHei']  # 用来正常显示中文标签
plt.rcParams['axes.unicode_minus'] = False  # 用来正常显示负号
inputfile = './data.csv'  # 输入的数据文件
data = pd.read_csv(inputfile)  # 读取数据
datetime = range(1994, 2014)
# X = list(datetime)
X = []
for i in datetime:
    X.append(str(i))
y = data['y']
# 时序图
plt.figure(figsize=(10, 6))
plt.plot(X, y)
plt.scatter(X, y)
plt.show()
pre_data = pd.DataFrame()
pre_data['X'] = X
pre_data['y'] = y
pre_data.set_index('X', inplace=True)
pre_data.head()
from statsmodels.graphics.tsaplots import plot_acf
plot_acf(pre_data).show()
from statsmodels.tsa.stattools import adfuller as ADF
print('原始序列的ADF检验结果为:', ADF(pre_data['y']))
import warnings
warnings.filterwarnings("ignore")
# 差分后的结果
D_data = pre_data.diff().dropna()
D_data.columns = ['y差分']
D_data.plot()  # 时序图
plt.show()
plot_acf(D_data).show()  # 自相关图
from statsmodels.graphics.tsaplots import plot_pacf
plot_pacf(D_data).show()  # 偏自相关图
print('差分序列的ADF检验结果为:', ADF(D_data['y差分']))  # 平稳性检测
from statsmodels.stats.diagnostic import acorr_ljungbox
print('差分序列的白噪声检验结果为:', acorr_ljungbox(D_data, lags=1))  # 返回统计量和p值
from statsmodels.tsa.arima_model import ARIMA
# 定阶
pre_data['y'] = pre_data['y'].astype(float) 
pmax = int(len(D_data)/10)  # 一般阶数不超过length/10
qmax = int(len(D_data)/10)  # 一般阶数不超过length/10
bic_matrix = []  # BIC矩阵
for p in range(pmax+1):
  tmp = []
  for q in range(qmax+1):
    try:  # 存在部分报错,所以用try来跳过报错。
      tmp.append(ARIMA(pre_data, (p,1,q)).fit().bic)
    except:
      tmp.append(None)
  bic_matrix.append(tmp)
bic_matrix = pd.DataFrame(bic_matrix) # 从中可以找出最小值
p,q = bic_matrix.stack().astype('float64').idxmin()  # 先用stack展平,然后用idxmin找出最小值位置。
print('BIC最小的p值和q值为:%s、%s' %(p,q)) 
model = ARIMA(pre_data, (0,1,1)).fit()  
print('模型报告为:\n', model.summary2())
print('预测未来2年(2014和2015),其预测结果、标准误差、置信区间如下:\n', model.forecast(2))
AERIMA 及预测结果






 
                    
                     
                    
                 
                    
                
 
 
                
            
         
         浙公网安备 33010602011771号
浙公网安备 33010602011771号