AVL树
一:AVL树的概念
概念:
平衡二叉树也叫二叉搜索树又被称为AVL树,可以保证查询效率较高。它是一棵空树或者它的左右两个子树的高度差的绝对值不超过1,并且左右两个子树都是一棵平衡二叉树。平衡二叉树的实现方法有红黑树、AVL、替罪羊树、Treap、伸展树等。
二:AVL树左旋转思路
当右子树的高度比左子树高度大1时,进行左旋转。
首先假定一棵二叉树 [4,3,6,5,7,8]

第一步:创建一个新的节点,值为当前根节点的值 【4】
第二步:将新节点【4】的左子树设置为当前节点【根节点】的左子树
第三步:把新节点【4】的右子树设置为当前节点【根节点】的右子树的左子树

第四步:将当前节点【根节点】的值变为右子节点【6】的值
第五步:把当前节点【根节点】的右子树设置为右子树的右子树
第六步:将当前节点的左子树设置为新节点

最终节点【6】被当作垃圾回收
在实现代码之前,我们需要知道的一个核心的操作:
我们需要知道左右子树的高度是多少,因为只有当左右子树的高度差大于1才需要进行旋转。
计算高度代码实现:
//返回左子树的高度
public int leftHeight(){
if(left == null){
return 0;
}
return left.height();
}
//返回右子树的高度
public int rightHeight(){
if(right == null){
return 0;
}
return right.height();
}
//返回以当前节点为根节点的高度
public int height(){
return Math.max(left == null ? 0: left.height(), right == null ? 0: right.height())+1;
}
左旋转方法代码
private void leftRotate(){
//1.创建新的节点,值为根节点的值
Node newnode = new Node(value);
//2.将新节点的左子树设置为当前节点的左子树
newnode.left = this.left;
//3.将新节点的右子树设置为当前节点右子树的左子树
newnode.right = this.right.left;
//4.将当前节点的值设置为右子节点的值
this.value = this.right.value;
//5.将当前节点的右子树设置为右子树的右子树
this.right = this.right.right;
//6.将当前节点的左子树设置为新节点
this.left = newnode;
}
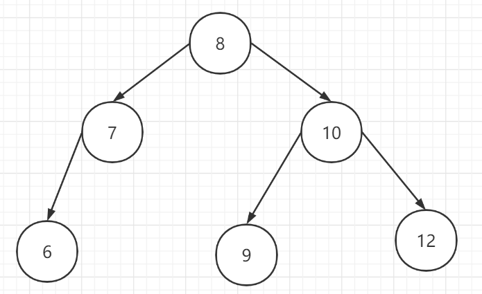
三:AVL树右旋转思路
当左子树的高度比右子树的高度大1时,需要进行右旋转。
首先假定一棵二叉树 [10,12,8,9,7,6]

第一步:创建一个新的节点,值为当前根节点的值【10】
第二步:将新节点【10】的右子树设置为当前节点的右子树【12】
第三步:将新节点【10】的左子树设置为当前节点的左子树的右子树【9】

第四步:将当前节点【10】的值设置为左子节点【8】的值
第五步:将当前节点【8】的左子树设置为左子树的左子树【7】
第六步:将当前节点【8】的右子树设置为新节点【10】

最后:节点【8】被当作垃圾回收

同样我们需要计算出左右子树的高度,代码与左旋转一样。
右旋转方法代码:
private void rightRotate(){
//1.创建一个新的节点,值为当前根节点的值
Node newNode = new Node(value);
//2.将新节点的右子树设置为当前节点的右子树
newNode.right = this.right;
//3.将新节点的左子树设置为当前节点的左子树的右子树
newNode.left = this.left.right;
//4.将当前节点的值设置为左子节点的值
this.value = this.left.value;
//5.将当前节点的左子树设置为左子树的左子树
this.left = this.left.left;
//6.将当前节点的右子树设置为新节点
this.right = newNode;
}
在上述两个数列中单旋转就可以将非平衡二叉树转成平衡二叉树,但是左/右旋转在某些情况下不能将非平衡树转成平衡树。比如:【10,11,7,6,8,9】那么这个时候就需要采用双旋转了。
四:AVL树双旋转思路
假定一棵二叉树 [10,11,7,6,8,9]

问题分析:
1.当前节点【10】的左子树的右子树的高度大于它的左子树的高度
解决方法:
1.首先对当前节点【10】的左子树进行左旋转
2.再对当前节点【10】进行右旋转即可
代码实现:
//添加完一个节点以后,如果(左子树的高度 - 右子树的高度) > 1,右旋转
if(leftHeight() - rightHeight() > 1){
//判断它的左子树的右子树高度是否比左子树高
if(left.rightHeight() > left.leftHeight()){
//对当前结点的左子树进行左旋转
left.leftRotate();
//再进行右旋转
rightRotate();
}else{
//直接进行右旋转
rightRotate();
}
return; //返回,防止进入下面的操作
}
同理,另一种情况(右子树的左子树高度大于右子树的高度)
解决思路:
1.首先对当前节点的右子树进行右旋转
2.再对当前节点进行左旋转
代码实现:
//添加完一个节点以后,如果(右子树的高度 - 左子树的高度) > 1,左旋转
if(rightHeight() - leftHeight() > 1){
//判断它的右子树的左子树高度是否比右子树高
if(right.leftHeight() > right.rightHeight()){
//对当前结点的右子树进行右旋转
right.rightRotate();
//再进行左旋转
leftRotate();
}else{
//直接进行左旋转
leftRotate();
}
return;
}

浙公网安备 33010602011771号