hdu 1570 A C
Problem Description
Are you excited when you see the title "AC" ? If the answer is YES , AC it ;
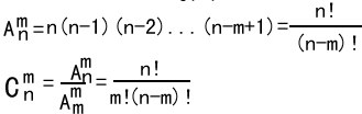
You must learn these two combination formulas in the school . If you have forgotten it , see the picture.

Now I will give you n and m , and your task is to calculate the answer .
You must learn these two combination formulas in the school . If you have forgotten it , see the picture.

Now I will give you n and m , and your task is to calculate the answer .
Input
In the first line , there is a integer T indicates the number of test cases.
Then T cases follows in the T lines.
Each case contains a character 'A' or 'C', two integers represent n and m. (1<=n,m<=10)
Then T cases follows in the T lines.
Each case contains a character 'A' or 'C', two integers represent n and m. (1<=n,m<=10)
Output
For each case , if the character is 'A' , calculate A(m,n),and if the character is 'C' , calculate C(m,n).
And print the answer in a single line.
And print the answer in a single line.
Sample Input
2
A 10 10
C 4 2
Sample Output
3628800
6
解题思路:组合和全排列!(水题~)
AC代码:
1 #include<bits/stdc++.h> 2 using namespace std; 3 int main() 4 { 5 int T,n,m,sum; 6 char ch; 7 cin>>T; 8 while(T--){ 9 getchar();//吃掉回车符 10 cin>>ch>>n>>m; 11 if(m>n)swap(n,m);//保证m比n小 12 sum=1;//计数 13 if(ch=='A')for(int i=m;i>=1;i--)sum*=(n-i+1);//全排列 14 if(ch=='C'){//组合 15 if(n-m<m)m=n-m;//取m最小,减少计算 16 for(int i=1;i<=m;i++)sum=sum*(n-i+1)/i; 17 } 18 cout<<sum<<endl; 19 } 20 return 0; 21 }

浙公网安备 33010602011771号