Python实验三
Python 程序设计 实验报告
班级_物流191_姓名__张曼曼__学号_3190505121_
成绩___________日期_2020.4.8_指导教师_修宇_
实验三 分支结构程序设计(设计性实验)
【实验目的】
(1)学会正确使用比较运算符与比较表达式、逻辑运算符和逻辑表达式
(2)熟练用if语句设计选择结构程序;
【实验条件】
PC机或者远程编程环境
【实验内容】
1、完成三个编程题。
(1)设计一个货币转换程序
问题描述:
参考温度转换实例编制一个货币转换程序。 假定美元/人民币汇率为:6.7744 : 1
输入输出格式
例1: 输入一个美元货币值:$32.3 当输入美元时,返回“美元转换为人民币后是:¥32元”
例2: 输入一个人民币货币值:¥10.1 ,当输入人民币时,返回“人民币转换为美元后是:$32美元
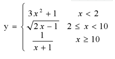
(2)求解数学表达式的值
问题描述
从键盘输入x的值,根据公式计算并输出x和y的值

直接输出y的值,保留小数点后两位,不需要额外信息.
(3)新版个人所得税计算
问题描述:
请编写一个程序,根据用户输入计算个人所得税。
1. 用户输入是个人薪金扣险所得。
(1)约定用户输入为以人民币元为单位的零或者正数。不要增加额外的提示信息。
(2)如果用户输入了负数,提示“请输入正数!”。其他错误输入可以不予处理。
2. 计算应缴纳的税金(保留小数点后一位)。
我国的个人所得税采用“超额累进税率”计算方法,简化公式如下:
缴税 = (个人薪金扣险所得 – 个税免征额)* 税率
其中,个税免征额为5000元,税率根据应纳税额数量而不同,如下表所示:


【实验记录与分析】(请在填写实验记录与分析结果)
(1)设计一个货币转换程序

注意不要漏输冒号,漏输冒号造成程序无法运行
求解数学表达式的值

分支结构,需要注意缩进
(3)新版个人所得税计算

输入时容易漏输冒号。
【思考题】
尝试用IDLE 运行你的程序,如果用户输入不符合输入格式时,程序会运行出现什么情况?


你认为如何从哪几方面修改程序让计算机与人的交互更加友好?
浙公网安备 33010602011771号