编译原理第三次作业
3.3.5
(1) 正则表达式:define) other -> {bcdfghjklmnpqrstvwxyz}
answer:other* a(other|a)* e(other|e)* i(other|i)* o(other|o)* u(other|u)*
NFA: (由python代码生成,除了这个下面的DFA是基于开源工具绘制的)

from graphviz import Digraph
def create_nfa():
nfa = Digraph(format="png", node_attr={"shape": "circle"}, edge_attr={"label": "ε"})
nfa.attr(rankdir="LR") # 水平布局
nfa.attr(size="64,64")
nfa.attr(ranksep="2")
nfa.attr(nodesep="1")
nfa.attr(fontsize="12")
# 定义状态
states = ["start", "q0", "q1", "q2", "q3", "q4", "q5", "final"]
for state in states:
nfa.node(state)
# 定义其他字符集合
other = "bcdfghjklmnpqrstvwxyz"
# 初始状态到q0的ε转移
nfa.edge("start", "q0", label="ε")
# q0: other* -> ε转移
nfa.edge("q0", "q0", label=f"{other}|ε")
# q0 -> q1: a(other|a)*
nfa.edge("q0", "q1", label="a")
nfa.edge("q1", "q1", label=f"{other}|a")
# q1 -> q2: e(other|e)*
nfa.edge("q1", "q2", label="e")
nfa.edge("q2", "q2", label=f"{other}|e")
# q2 -> q3: i(other|i)*
nfa.edge("q2", "q3", label="i")
nfa.edge("q3", "q3", label=f"{other}|i")
# q3 -> q4: o(other|o)*
nfa.edge("q3", "q4", label="o")
nfa.edge("q4", "q4", label=f"{other}|o")
# q4 -> q5: u(other|u)*
nfa.edge("q4", "q5", label="u")
nfa.edge("q5", "q5", label=f"{other}|u")
# q5 -> final: ε转移
nfa.edge("q5", "final", label="ε")
return nfa
nfa = create_nfa()
nfa.render("nfa_diagram", view=True)
NFA转DFA表格:
| l | la | le | li | lo | lu | lother | |
|---|---|---|---|---|---|---|---|
| q0 | q1 | q0 | |||||
| q1 | q1 | q2 | q1 | ||||
| q2 | q2 | q3 | q2 | ||||
| q3 | q3 | q4 | q3 | ||||
| q4 | q4 | q5 | q4 | ||||
| q5 | q5 | q5 |
(6)
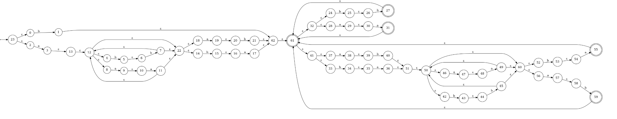
正则表达式:
(b|a (bb|aa)* (ba|ab)) (bb|aa|(ba|ab) (bb|aa)* (ba|ab)) *
NFA:

NFA转DFA表格:
| l | la | lb | |
|---|---|---|---|
| 23 0 2 | 23 0 2 3 13 12 22 4 8 | 23 0 2 1 62 | |
| ... | ... | ... |
(8)
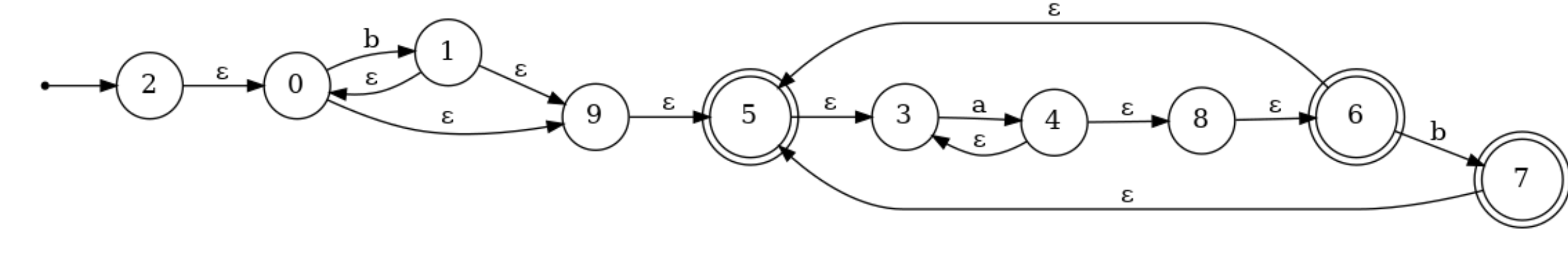
正则表达式:
b* (a+b?)*
NFA:

NFA转DFA表格:
| l | la | lb | |
|---|---|---|---|
| 2 0 9 5 3 | 2 0 9 5 3 4 8 6 | 2 0 9 5 3 1 | |
| 2 0 9 5 3 4 8 6 | 2 0 9 5 3 4 8 6 | 2 0 9 5 3 4 8 6 7 1 | |
| 2 0 9 5 3 1 | 2 0 9 5 3 4 8 6 1 | 2 0 9 5 3 1 | |
| 2 0 9 5 3 4 8 6 1 | 2 0 9 5 3 4 8 6 1 7 |
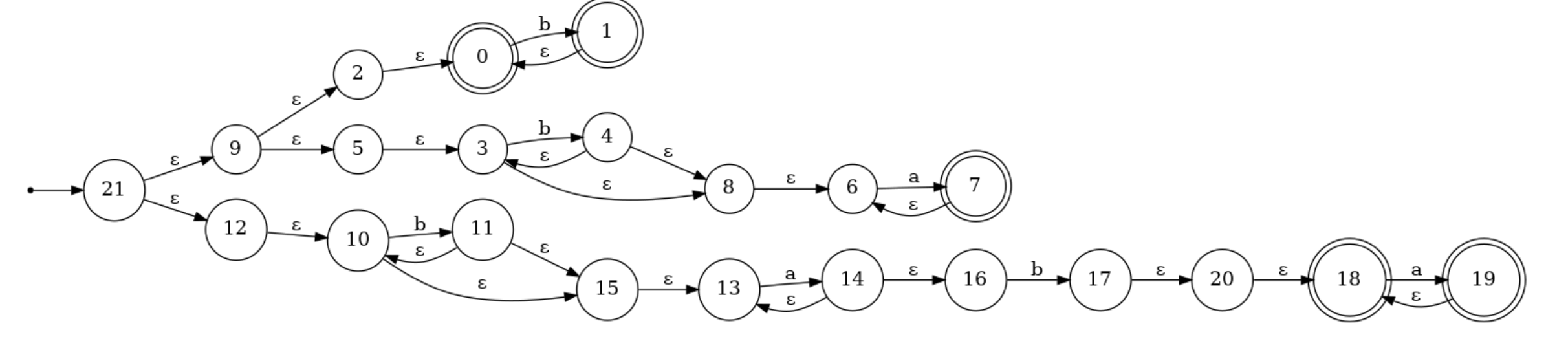
(9)
正则表达式:
b* | b* a + | b* a + b a*
NFA:

NFA转DFA表格:
| l | la | lb | |
|---|---|---|---|
| 21 9 12 2 5 0 3 10 8 6 15 13 | 21 9 12 2 5 0 3 10 8 6 15 13 1 11 | ||
| 21 9 12 2 5 0 3 10 8 6 15 13 1 11 | 21 9 12 2 5 0 3 10 8 6 15 13 1 11 7 14 16 | 21 9 12 2 5 0 3 10 8 6 15 13 1 11 | |
| 21 9 12 2 5 0 3 10 8 6 15 13 1 11 7 14 16 | 21 9 12 2 5 0 3 10 8 6 15 13 1 11 7 14 16 | 21 9 12 2 5 0 3 10 8 6 15 13 1 11 7 14 16 17 20 18 | |
| 21 9 12 2 5 0 3 10 8 6 15 13 1 11 7 14 16 17 20 18 | 21 9 12 2 5 0 3 10 8 6 15 13 1 11 7 14 16 17 20 18 19 | 21 9 12 2 5 0 3 10 8 6 15 13 1 11 7 14 16 17 20 18 |

浙公网安备 33010602011771号