博弈论学习笔记
博弈论
好久以前不记得在那本初赛资料上看到第一章就是博弈论,看了一页纸,(那时候还不知道有多难,就只是感性地用数学去理解),感觉不难,就没搞了。
考了好几次博弈论的题,发现毛都不会,又老听旁边 \(Mital\) 和 \(Skounputer\) 讲什么 \(SG\) 函数,心态爆炸,于是还是决定自己学一下。
蒟蒻决定先把几个经典的例子学会了,再去考虑有没有什么可以合并总结的吧。
参考:
https://www.cnblogs.com/zwfymqz/p/8460196.html
https://www.cnblogs.com/Mathics/p/3948482.html
https://www.luogu.org/blog/skounputer/bo-yi-lun-xiao-jie
https://www.luogu.org/blog/155767/shuo-lun-xiao-jie
一、巴什博弈
(当年我看的就是这个,贼简单,所以就没往后学了QAQ)
模型:给定一堆 \(n\) 个石头,两个人博弈,依次取 \([~1,m~]\) 个石头,若不能取了,则当前操作者输。问是否必胜?
模拟讨论:
\(\quad(1)\)如果当前有 \(1\) ~ \(m\) 个石子,那么显然先手一定能一次性全部取完,先手必胜。
\(\quad\)于是我们考虑什么时候起先手不一定必赢呢?
\(\quad(2)\)如果当前正好有 \(m+1\) 个石子,因为先手至少取一个但又不能完全取完,所以会留下 \(1\) ~ \(m\) 个石子给后手处理,后手显然是可以一次性取完的,所以先手必败。
\(\quad(3)\)如果我们再多几个石子 \((~\le m~)\) ,那么显然先手可以把石子数取到 \(m+1\) 的状态,即状态 \(2\) ,由于此时的先手,即整场的后手在状态 \(2\) 下必败,所以先手必胜。
结论:
\(\quad\)发现了吗?只要 \(n\) 不为 \(m+1\) 的倍数,那么每次先手只要把石子数取到 \(m+1\) 的倍数,就能使下一个操作者即后手必败,即自己必胜。
\(\quad\)这里,我们把 \(m+1\) 称为必败态。那么我们可以发现,对于一个当前状态,如果他已经是必败态了,那么当前操作者必输;如果下一步可以使状态转移到必败态,那么下一个操作者必败,则当前操作者必胜。
\(\quad\)要注意的是,无论是必败态还是必胜态,他都仅仅是一个状态,表示当前操作者胜负的状态,而与操作者是谁无关。
\(\quad\)很显然我们又可以发现,对于每一个石子个数即每一个状态,我们可以唯一的知道他是必胜态还是必败态,即他要么是必败态要么是必胜态,不会有不一定这一种状态。那么我们应该怎么得到它是什么状态呢?
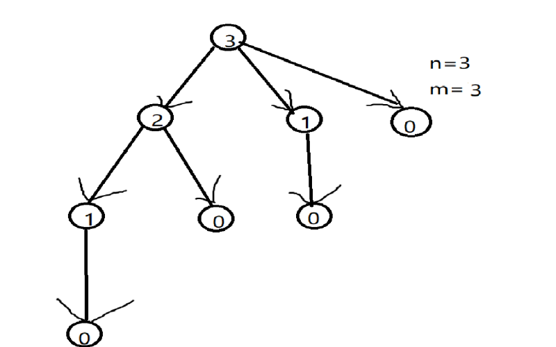
\(\quad\)这里我们可以使用一棵树来表示对于当前的 \(n\) 的所有的操作。
\(\quad\)这是 \(n=3,m=2\) 的情况下的操作树。

\(\quad\)显然,我们发现有许多的状态使重复的,于是我们可以把树精简为一张有向无环图。如下:

\(\quad\)我们从 \(0\) 开始向上递归。
\(\quad\)因为 \(0\) 是必败态(先手已经没有可取的了,直接输),所以能够转换到他的状态 \(1,2\) 是必胜态(因为 \(1,2\) 的下一步可以直接转到必败态 \(0\) ,所以下一个操作者必败,即当前操作者必胜),而 \(3\) 也是必胜态,(他能转换到必败态 \(0\) ,因为所有操作者都非常聪明,所以先手一定会选择这一个方案,所以当前操作者必胜)。
\(\quad\)由上,我们又可以发现,如果一个状态可以转移到必败态,那么他一定是必胜态,无论他还可不可以转移到别的必胜态;如果一个状态所能转移到的状态全都是必胜态,即没有必败态,那么他一定是必败态。
综上,我们得到了只有一个操作空间(即只有一堆石头)时的做法。但是有的时候我们有很多个操作空间(即有很多堆石子),届时我们该怎么办呢?
二、Nim游戏
模型:有n堆石子,可以从任意一堆中拿若干个石子(不能不拿),没法拿的人失败。问谁会胜利?
模拟讨论
\(\quad\)我们按照套路,从简单的情况入手。
\(\quad\)当只有一堆石子的时候,先手可以全部拿走,先手必胜,为必胜态。。
\(\quad\)当有两堆石子且石子个数相同的时候,先手不论拿多少,后手都可以从另一堆中拿同样多的石子,那么无论如何第一堆的最后一个是先手拿的,则下一状态为后手操作下的必胜态,先手必败,为必败态;否则(两堆石子数不同),那么先手可以把石子数取到两堆相同,下一状态则为后手操作下的必败态(两堆石子数相同),先手必胜。
\(\quad\)当有三堆的时候呢?
\(\quad\)当有n堆的时候呢?
\(\quad\)这样玩下去确实是很繁琐,不过前辈们总结出了一条非常厉害的规律!
定理:
当 \(n\) 堆石子的个数的异或和等于 \(0\) 的时候,先手必败,否则先手必胜。
为什么呢?
证明如下:
设每堆石头个数分别为 \(a_1,a_2...a_n\) ,异或符号为 \(\oplus\) 。
如果 \(a_1 \oplus a_2 \oplus ... \oplus a_n=0\) ,那么无论先手怎么取,后手只要取掉一部分石头来维持异或和为 \(0\) 。最后只剩一个堆有石头的时候,异或和不为零为这一堆的石子个数,那么此时就是后手的回合,他可以一波取完,所以异或和为 \(0\) 的状态为当前操作者的必败态。
我们设石头堆数量异或和为 \(S(~S!=0~)\) ,那么 \(a_1 \oplus a_2 \oplus ... \oplus a_n=S\) 。
设 \(S\) 的二进制最高位为第 \(k\) 位,那么一定存在至少一个 \(a_i\) 的第 \(k\) 位为 \(1\) ,否则异或和的最高为不可能为 \(1\) 。
所以我们把等式左右同时异或上 \(S\) ,则等式左边为 \(0\) ,所以当前状态为当前操作者即后手的必败态;
而这个异或的操作,由于 \(a_i\) 和 \(S\) 的最高位都是 \(1\) ,那么异或后最高位结果就是 \(0\) ,显然是比原数要小,所以我们可以视为第 \(i\) 个石头堆被取走了一些石头使他变成了 \(a_i \oplus S\) 个石头。
综上,如果所有石头堆的异或和为 \(0\) ,那么为先手的必败态;否则为先手的必胜态。
引申:nimk游戏
模型:n堆石子,每次从不超过k堆中取任意多个石子,最后不能取的人失败。
三、SG函数与SG定理
\(这个很重要!!!\)
SG函数
定义: \(SG(~x~)=mex(~v1,v2,...vm~)\)
其中 \(v\) 表示当前 \(x\) 可以转移到的状态的 \(SG\) 值, \(mex\) 表示在这个集合中没出现的最小自然数。
其中,如果 \(SG(~x~)==0\) ,表示他可以转移到必败态,即他的下一个状态可以是必败态,则状态 \(x\) 为必胜态。否则反之。
SG定理
内容:对于一个问题,如果存在很多个操作空间,其 \(SG\) 值分别为 \(SG_1,SG_2...SG_n\) 。
如果 \(SG_1 \oplus SG_2 \oplus ... \oplus SG_n==0\) ,则先手必输。
你一定会惊呼:这不就是 \(nim\) 游戏吗?
重看 \(num\) 游戏,你会发现其中每堆石子的 \(SG\) 值都恰好为这堆石子的数量,且每堆石子之间都是相互独立的。
所以\(nim\)游戏可以当作对 \(SG\) 定理的一个很好的证明。
SG的本质
看到这里,有些读者可能要问了:我们为什么要用 \(mex\) 来定义 \(SG\) 函数呢?对于 \(nim\) 游戏来说 \(SG\) 的值就是石子个数,那么其他的博弈问题呢? \(SG\) 函数还有用吗?为什么呢?
首先解决第一个问题:为什么要用 \(mex\) 来定义 \(SG\) 函数呢?
由定义我们可知,只要有任意一种操作能使下一步为下一步操作者的必败态,那么这个状态即为当前操作者的必胜态,由于必败态为 \(0\) ,所以我们取 \(mex\) 的时候只要能够通往 \(0\) \(SG\)就一定是 \(0\)。
这里给出的 \(SG\) 的本质是 SG的本质应该是将n维Nim游戏映射到1维Nim游戏
讲的很玄乎,其实意思就是说把多个操作空间的博弈问题转化为一个。
再通俗的解释一下,就是说我们可以发现 \(SG\) 函数把每个操作空间转化为了一个一维的值,于是问题转化为了 \(n\) 个 \(SG\) 值得相关问题,这就是一个一维的问题了,然后异或起来就得出了最终结果。
综上,对于单个操作空间的博弈游戏,我们有三种处理方式:模拟找规律、神仙脑补以及操作图;对于多个操作空间的博弈游戏,我们使用 \(SG\) 函数把他转化为一维问题,通过异或来解决(一般情况下)(注:这个异或操作的 \(nb\) 一点的名字叫做 \(Bouton's~Theorem\) )。

浙公网安备 33010602011771号