计算机组成原理——计算篇
计算机组成原理——计算篇
进制运算的基础
定义:
- 进位制是一种计数方式,又称进位计数法或位值计数法
- 用有限种数字符号来表示无限的数值
- 进位制的基数或底数:使用的数字符号的数目(二进制:01,十进制:0-9)
常用的进制
- 二进制: 用0、1表示的
- 二十进制: 玛雅文明的玛雅数字、因努伊特的因努伊特数字
- 六十进制: 实践、坐标、角度等量化数据
- 十六进制: [0-9]和A、B、C、D、E、F
为什么计算机经常使用8进制&16进制
- 计算机喜欢二进制,但二进制表达太长了
- 使用大进制位可以解决这个问题
- 八进制和十六进制可以满足2^n次方的要求
1024不同进制表达方式
- 二进制:0b10000000000
- 八进制:0o2000
- 十六进制:0x400
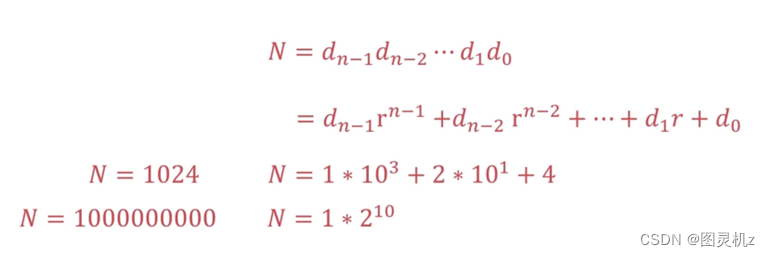
二进制运算的基础
- 正整数N,基数为r
- 二进制转十进制(整数
- 十进制转二进制(整数
- 二进制转十进制(小数
- 十进制转二进制(小数
有符号数与无符号数
问题:前面学习的都是正数的二进制表达方式,那么负数怎么办呢?
答:在十进制中一般用正负号(+/-)表达正负数,我们可以联想一下计算机也可以用0和1来表示这两种状态,如:
+237=011101101
-237=111101101
怎么判断他是数字位还是符号位?
原码表示法:
- 使用0表示正数,1表示负数
- 规定符号位位于数值第一位
- 表达简单明了,是人类最容易理解的表示法
- 使用两个字节,16位的数字做一个例子如图:
原码表示法一些问题
- 0有两种表示方式:00、10
- 原码进行运算非常复杂,特别是两个操作数符号不同的时候
- 判断两个操作数的绝对值大小
- 使用绝对值大的数减去绝对值小的数
- 对于符号值,以绝对值大的为准
此时我们需要找到另外一种表达方法来简化这样的操作
- 希望找到不同符号操作数更简单的运算方法
- 希望找到使用正数代替负数的方法
- 使用加法代替减法操作,从而消除减法
二进制的补码表示法
补码的定义:补码是用来解决负数在计算机中的表示问题的。正数的补码就是其本身;负数的补码是在其原码的基础上,符号位不变,其余各位取反,最后+1,即在反码的基础上+1。
计算方法:
(x是需要计算的二进制,n是二进制的位数)
例题:
补充:
计算机里都是以补码形式存储数据。
补码的0只有一种表示方式:0,0000。
二进制的反码表示法
反码的定义:反码是用来辅助原码转换成补码的。正数的反码就是其本身;负数的反码是在其原码的基础上, 符号位不变,其余各个位取反。
计算方法:
(x是需要计算的二进制,n是二进制的位数)
例题:
原码、补码、反码之间的关系
小数的二进制补码、反码表示法
计算方法:
例题:
定点数与浮点数
定点数:
- 概念:小数点固定在某个位置的数称之为定点数
- 定点数的表示方法:
- 纯小数:符号位 | 小数点 | 数值位
- 纯整数:符号位 | 数值位 | 小数点
浮点数:
- 概念:浮点数是指小数点位置可以浮动的数据
- 原理:浮点数它相当于一个定点数加上一个阶码,阶码表示将这个定点数的小数点移动若干位。由于可以用阶码移动小数点,因此称为浮点数。
- 浮点数的表示格式:N = S * r^j (S:尾数,r:基数,j:阶码)
阶码符号位 | 阶码数值位 | 尾数符号位 | 尾数数值位(尾数必须使用纯小数)
4.浮点数的表示范围:假设阶码数值取m位,尾数数值取n位
- 阶码能够表示的最大值和最小值:2^m-1、-(2^m-1)
- 阶码表示范围: [-(2^m-1),2^m-1]
- 尾数能够表示的最大值和最小值: 1-2^-n、2^-n
- 尾数表示范围:[2^-n,1-2^-n]、[-(1-2^-n),-(2^-n)]
- 单精度浮点数:使用4字节、32位来表达浮点数(float)
- 双精度浮点数:使用8字节、64位来表达浮点数(double)
5. 浮点数的规格化
- 尾数规定使用纯小数
- 尾数最高位必须是1
6. 例子:
定点数与浮点数对比
- 当定点数与浮点数的位数相同时,浮点数表示范围更大
- 当浮点数尾数为规格化时,浮点数精度更高
- 浮点数运算包含阶码和尾数,浮点数运算更为复杂
- 浮点数在数的表示范围、精度、溢出处理、编程等方面均优于定点数
- 浮点数在数的运算规则、运算速度、硬件方面不如定点数
定点数的加减法运算
定点数的加法运算
计算方法:
(n指的就是比特位数)
例题:
最后一个例题出现了问题:发生了溢出,运算结果无效。溢出是不能解决的,只有规避,所以我们说平时在写代码的时候,如果涉及数值处理的话,一定要特别注意溢出,从程序上避免溢出的计算,否则会导致结果不正确。
怎么判断溢出呢?(双符号位判断法)
使用双符号位进行计算:
定点数的减法运算
例题:
浮点数的加减法运算
浮点数加减法运算过程:对阶→尾数求和→尾数规格化→舍入→溢出判断
设x,y来进行加减法运算:
- 对阶:对阶的目的是使得两个浮点数阶码一致,使得尾数可以进行运算
- 浮点数尾数运算简单
- 浮点数位数实际小数位与阶码有关
- 阶码按小阶看齐大阶的原则
操作:小阶转换跟大阶一致,尾数进行相应的右移
- 尾数求和
- 使用补码进行运算
- 减法运算转换为加法运算:A-B=A+(-B)
3.尾数规格化(左规):如果不满足此格式,需要进行左移,同时阶码相应变化,以满足规格化
- 对补码进行规格化需要判断两种情况:S>0和S<0
尾数规格化(右规):
- 一般情况下都是左移
- 双符号位不一致下需要右移(定点运算的溢出情况)
- 右移的话需要进行舍入操作
4.舍入 - “0舍1入”法(二进制中的四舍五入法)
例:
(最后一位是0的话不需要进行加1,舍入后记得阶码要加1)
0舍1入法可能会发生溢出,如:
此时需要进行两次或两次以上的舍入操作
5.溢出判断
- 定点运算双符号位不一致位溢出
- 浮点运算尾数双符号位不一致不算溢出,因为尾数双符号位可以进行右规
- 浮点运算主要通过阶码的双符号位判断是否溢出。如果尾数规格化后,阶码双符号位不一致,则认为是溢出
综合例题:
浮点数的加减运算流程
浮点数的乘除法运算
乘法的计算方法
除法的计算方法
计算流程
例子




















































浙公网安备 33010602011771号