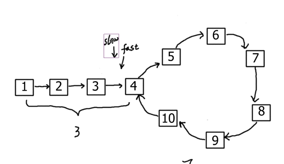
判断环形链表

用四步追赶上慢指针 从入环的那一刻起, 7-3=4


然后把快指针挪到开头索引,然后快慢指针依次向前走一步 ,然后在4这个点相遇


慢指针走过的路径是L,快指针走过的减慢指针的路径也L,环形链表的路径为D,快指针追赶满指针的路径为D-L

慢指针从4走D-L步,然后相遇 ,慢指针走多少步到环的其实位置呢,D-(D-L)步 ,慢指针走L步到这,快指针也是L走到4 ,所以两个会在环的起始相遇

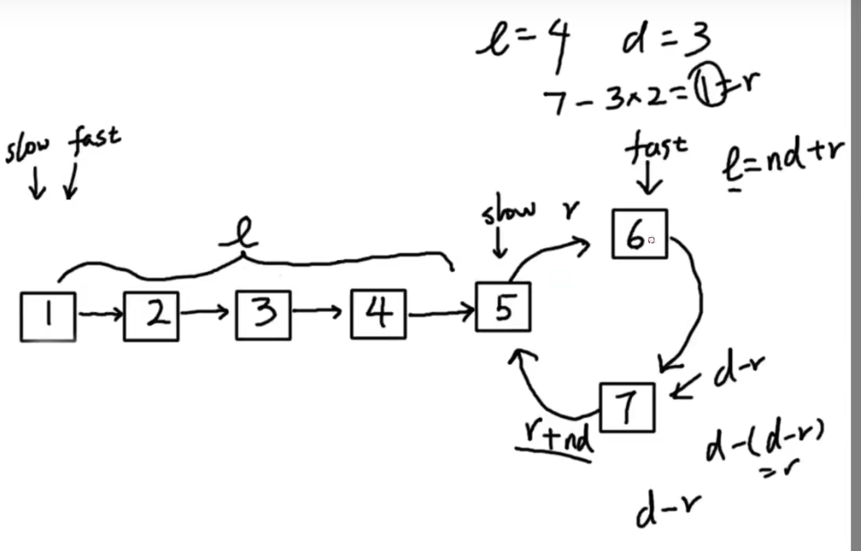
L=ND+R 快指针从头开始也是L 所以又是L=L 慢指针在环形链表里面走R+ND步遇到快指针


浙公网安备 33010602011771号