泰勒公式和麦克劳林公式
泰勒公式
- 就是一个用多项式函数逼近任意函数的公式。注意,这nb就nb在能逼近任意函数
这个式子长这样:
\[ f(x)=f(x_0)+f'(x_0)(x-x_o)+\frac{f''(x_0)}{2!}(x-x_o)^2+···+\frac{f^n(x_0)}{n!}(x-x_o)^n (+R_n(x))
\]
其中,\(R_n(x)\)我们把他叫做拉格朗日余项。而且,\(R_n(x)\)表达式如下:
\[ R_n(x) = \frac{f^{(n+1)}(\xi)}{(n+1)!}(x-x_0)^{(n+1)}
\]
\[ \xi \epsilon(x,x_0)
\]
接下来,我们来看麦克劳林公式:
麦克劳林公式
麦克劳林公式其实就是泰勒公式在\(x_0=0\)的时候的一个特殊情况
其表达式如下:
\[ f(x)=f(0)+f'(0)x+\frac{f''(0)}{2!}x^2+···+\frac{f^n(0)}{n!}x^n+o(x^n)
\]
其中,\(o(x^n)\)被我们叫做皮亚诺余项。其表达式为:
\[ o(x^n)=\frac{f^{(n+1)}}{(n+1)!}x^{n+1}
\]
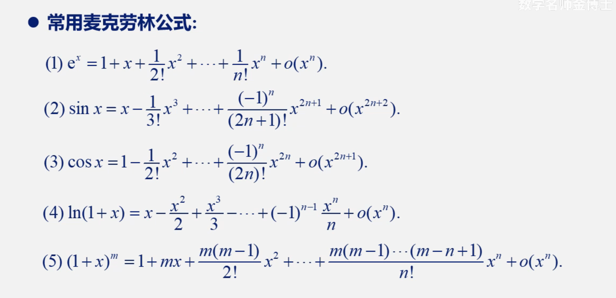
下面是一些需要背诵的常用公式:

当然也有简化版的:


浙公网安备 33010602011771号