[21.03]做题记录
[NOI Online #3 提高组] 优秀子序列
这是子集卷积exp的模板题吧。。。。 可以详见我的博客 this
CF98E Help Shrek and Donkey
纳什均衡的应用。 首先纳什均衡就是每个人都有一个是自己的期望收益最小值最大的点;
有定理:在一个零和博弈中, 一定存在一个这样的纳什均衡点
这个题也是显然的纳什均衡博弈题。
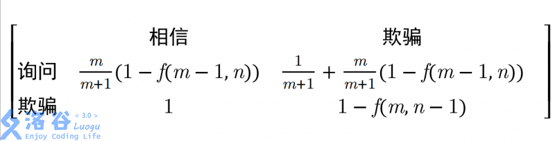
首先, 对于一个人我们有三种不同的操作
- 直接翻牌
- 询问一张自己没有的牌
- 询问一张自己有的牌(达到迷惑对手的目的)
然后对于后面两种操作, 后手都有对应的认为(认为是真的还是假的)
列出期望的表格之后

发现不可能在 \(n, m \neq 0\) 的时候翻排, 因为那样只有 \(1/ (m + 1)\) 的收益。
然后列方程求纳什均衡点就可以了
[NOI2012] 骑行川藏
拉格朗日乘子法模板题。 大致思想是当多元函数取到极值的时候一定是对每一个元素求偏导算出来都是0
但是对于有条件的极值怎么办呢? 我们定义一个新的变量, 将原来的函数写作
\[f(a, b, c, d, \delta) = f(a, b, c, d) + \ \delta \ \times \ \phi(a, b, c, d)
\]
其中phi是条件。 这样子求偏导就可以了
[HNOI2016]大数
直接把每个数表示成为两个后缀之间, 直接用莫队做就可以了, 注意要特判Mod等于2或5
[HNOI2016]网络
有一个比较暴力的做法, 现在提一下比较妙的做法
就是考虑二分, 如果所有的大于mid的修改都经过了x这个点, 那么x的答案一定小于mid, 这样就可以整体二分了
CF585F Digits of Number Pi
集训队作业混子题
首先我们可以发现只需要考虑长度等于 \(d / 2\) 的子串, 范围不大, 我们直接考虑去把s的每一个长度为 \(d / 2\) 的子串都插入到AC自动机上, 然后直接去做数位DP就可以解决了
AT5200 [AGC038C] LCMs
直接画一下式子, 狄利克雷前缀和就做完了

浙公网安备 33010602011771号