数据分析第三周作业
# 对数据的分布分析 import pandas as pd import matplotlib.pyplot as plt datafile= 'C:/Users/admin/Desktop/新建文件夹/air_data.csv' # 航空原始数据,第一行为属性标签 # 读取原始数据,指定UTF-8编码(需要用文本编辑器将数据装换为UTF-8编码) data = pd.read_csv(datafile, encoding = 'utf-8') # 客户信息类别 # 提取会员入会年份 from datetime import datetime ffp = data['FFP_DATE'].apply(lambda x:datetime.strptime(x,'%Y/%m/%d')) ffp_year = ffp.map(lambda x : x.year) # 绘制各年份会员入会人数直方图 fig = plt.figure(figsize = (8 ,5)) # 设置画布大小 plt.rcParams['font.sans-serif'] = 'SimHei' # 设置中文显示 plt.rcParams['axes.unicode_minus'] = False plt.hist(ffp_year, bins='auto', color='#0504aa') plt.xlabel('年份') plt.ylabel('入会人数') plt.title('各年份会员入会人数 3055郑佰强') plt.show() plt.close # 提取会员不同性别人数 male = pd.value_counts(data['GENDER'])['男'] female = pd.value_counts(data['GENDER'])['女'] # 绘制会员性别比例饼图 fig = plt.figure(figsize = (7 ,4)) # 设置画布大小 plt.pie([ male, female], labels=['男','女'], colors=['lightskyblue', 'lightcoral'], autopct='%1.1f%%') plt.title('会员性别比例 3055郑佰强') plt.show() plt.close # 提取不同级别会员的人数 lv_four = pd.value_counts(data['FFP_TIER'])[4] lv_five = pd.value_counts(data['FFP_TIER'])[5] lv_six = pd.value_counts(data['FFP_TIER'])[6] # 绘制会员各级别人数条形图 fig = plt.figure(figsize = (8 ,5)) # 设置画布大小 plt.bar(x=range(3), height=[lv_four,lv_five,lv_six], width=0.4, alpha=0.8, color='skyblue') plt.xticks([index for index in range(3)], ['4','5','6']) plt.xlabel('会员等级') plt.ylabel('会员人数') plt.title('会员各级别人数 3055郑佰强') plt.show() plt.close() # 提取会员年龄 age = data['AGE'].dropna() age = age.astype('int64') # 绘制会员年龄分布箱型图 fig = plt.figure(figsize = (5 ,10)) plt.boxplot(age, patch_artist=True, labels = ['会员年龄'], # 设置x轴标题 boxprops = {'facecolor':'lightblue'}) # 设置填充颜色 plt.title('会员年龄分布箱线图 3055郑佰强') # 显示y坐标轴的底线 plt.grid(axis='y') plt.show() plt.close



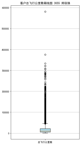
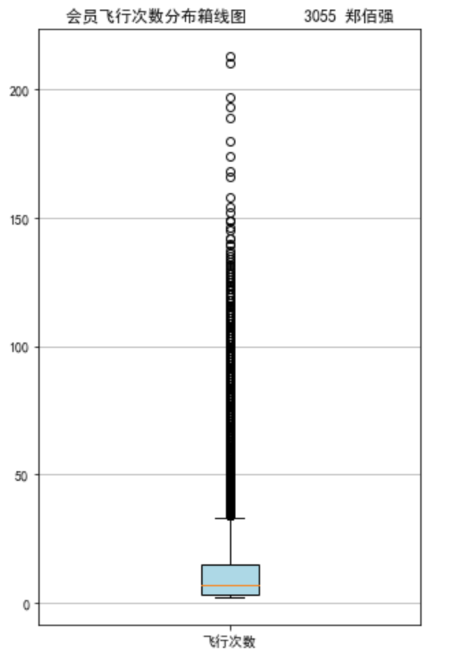
# 乘机信息类别 lte = data['LAST_TO_END'] fc = data['FLIGHT_COUNT'] sks = data['SEG_KM_SUM'] # 绘制最后乘机至结束时长箱线图 fig = plt.figure(figsize = (5 ,8)) plt.boxplot(lte, patch_artist=True, labels = ['时长'], # 设置x轴标题 boxprops = {'facecolor':'lightblue'}) # 设置填充颜色 plt.title('会员最后乘机至结束时长分布箱线图 3055 郑佰强') # 显示y坐标轴的底线 plt.grid(axis='y') plt.show() plt.close # 绘制客户飞行次数箱线图 fig = plt.figure(figsize = (5 ,8)) plt.boxplot(fc, patch_artist=True, labels = ['飞行次数'], # 设置x轴标题 boxprops = {'facecolor':'lightblue'}) # 设置填充颜色 plt.title('会员飞行次数分布箱线图 3055 郑佰强') # 显示y坐标轴的底线 plt.grid(axis='y') plt.show() plt.close # 绘制客户总飞行公里数箱线图 fig = plt.figure(figsize = (5 ,10)) plt.boxplot(sks, patch_artist=True, labels = ['总飞行公里数'], # 设置x轴标题 boxprops = {'facecolor':'lightblue'}) # 设置填充颜色 plt.title('客户总飞行公里数箱线图 3055 郑佰强') # 显示y坐标轴的底线 plt.grid(axis='y') plt.show() plt.close

ec = data['EXCHANGE_COUNT'] # 绘制会员兑换积分次数直方图 fig = plt.figure(figsize = (8 ,5)) # 设置画布大小 plt.hist(ec, bins=5, color='#0504aa') plt.xlabel('兑换次数') plt.ylabel('会员人数') plt.title('会员兑换积分次数分布直方图 3055郑佰强') plt.show() plt.close # 提取会员总累计积分 ps = data['Points_Sum'] # 绘制会员总累计积分箱线图 fig = plt.figure(figsize = (5 ,8)) plt.boxplot(ps, patch_artist=True, labels = ['总累计积分'], # 设置x轴标题 boxprops = {'facecolor':'lightblue'}) # 设置填充颜色 plt.title('客户总累计积分箱线图 3055郑佰强') # 显示y坐标轴的底线 plt.grid(axis='y') plt.show() plt.close


import numpy as np import random import matplotlib.pyplot as plt def distance(point1, point2): # 计算距离(欧几里得距离) return np.sqrt(np.sum((point1 - point2) ** 2)) def k_means(data, k, max_iter=10000): centers = {} # 初始聚类中心 # 初始化,随机选k个样本作为初始聚类中心。 random.sample(): 随机不重复抽取k个值 n_data = data.shape[0] # 样本个数 for idx, i in enumerate(random.sample(range(n_data), k)): # idx取值范围[0, k-1],代表第几个聚类中心; data[i]为随机选取的样本作为聚类中心 centers[idx] = data[i] # 开始迭代 for i in range(max_iter): # 迭代次数 print("开始第{}次迭代".format(i+1)) clusters = {} # 聚类结果,聚类中心的索引idx -> [样本集合] for j in range(k): # 初始化为空列表 clusters[j] = [] for sample in data: # 遍历每个样本 distances = [] # 计算该样本到每个聚类中心的距离 (只会有k个元素) for c in centers: # 遍历每个聚类中心 # 添加该样本点到聚类中心的距离 distances.append(distance(sample, centers[c])) idx = np.argmin(distances) # 最小距离的索引 clusters[idx].append(sample) # 将该样本添加到第idx个聚类中心 pre_centers = centers.copy() # 记录之前的聚类中心点 for c in clusters.keys(): # 重新计算中心点(计算该聚类中心的所有样本的均值) centers[c] = np.mean(clusters[c], axis=0) is_convergent = True for c in centers: if distance(pre_centers[c], centers[c]) > 1e-8: # 中心点是否变化 is_convergent = False break if is_convergent == True: # 如果新旧聚类中心不变,则迭代停止 break return centers, clusters def predict(p_data, centers): # 预测新样本点所在的类 # 计算p_data 到每个聚类中心的距离,然后返回距离最小所在的聚类。 distances = [distance(p_data, centers[c]) for c in centers] return np.argmin(distances)
x=np.random.randint(0, high=10, size=(200,2)) centers,clusters=k_means(x,3)

print(centers) clusters

for center in centers: plt.scatter(centers[center][0],centers[center][1],marker='*',s=150) colors=['r','b','y','m','c','g'] for c in clusters: for point in clusters[c]: plt.scatter(point[0],point[1],c=colors[c])

import numpy as np import pandas as pd datafile = 'D:/桌面文件/python图表/air_data.csv' # 航空原始数据路径 cleanedfile = 'D:/桌面文件/python图表/data_cleaned.csv' # 数据清洗后保存的文件路径 # 读取数据 airline_data = pd.read_csv(datafile,encoding = 'utf-8') print('原始数据的形状为:',airline_data.shape) # 去除票价为空的记录 airline_notnull = airline_data.loc[airline_data['SUM_YR_1'].notnull() & airline_data['SUM_YR_2'].notnull(),:] print('删除缺失记录后数据的形状为:',airline_notnull.shape) # 只保留票价非零的,或者平均折扣率不为0且总飞行公里数大于0的记录。 index1 = airline_notnull['SUM_YR_1'] != 0 index2 = airline_notnull['SUM_YR_2'] != 0 index3 = (airline_notnull['SEG_KM_SUM']> 0) & (airline_notnull['avg_discount'] != 0) index4 = airline_notnull['AGE'] > 100 # 去除年龄大于100的记录 airline = airline_notnull[(index1 | index2) & index3 & ~index4] print('数据清洗后数据的形状为:',airline.shape) airline.to_csv(cleanedfile) # 保存清洗后的数据

import pandas as pd import numpy as np # 读取数据清洗后的数据 cleanedfile = 'D:/桌面文件/python图表/data_cleaned.csv' # 数据清洗后保存的文件路径 airline = pd.read_csv(cleanedfile, encoding = 'utf-8') # 选取需求属性 airline_selection = airline[['FFP_DATE','LOAD_TIME','LAST_TO_END', 'FLIGHT_COUNT','SEG_KM_SUM','avg_discount']] print(' 3055郑佰强') print('筛选的属性前5行为:\n',airline_selection.head()) # 代码7-8 # 构造属性L L = pd.to_datetime(airline_selection['LOAD_TIME']) - \ pd.to_datetime(airline_selection['FFP_DATE']) L = L.astype('str').str.split().str[0] L = L.astype('int')/30 # 合并属性 airline_features = pd.concat([L,airline_selection.iloc[:,2:]],axis = 1) airline_features.columns = ['L','R','F','M','C'] print('构建的LRFMC属性前5行为:\n',airline_features.head()) # 数据标准化 from sklearn.preprocessing import StandardScaler data = StandardScaler().fit_transform(airline_features) np.savez('D:/桌面文件/python图表/airline_scale.npz',data) print('标准化后LRFMC五个属性为:\n',data[:5,:])

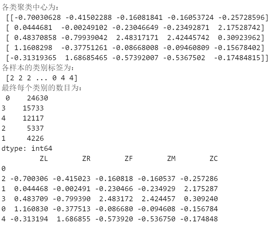
import pandas as pd import numpy as np from sklearn.cluster import KMeans # 导入kmeans算法 # 读取标准化后的数据 airline_scale = np.load('D:/桌面文件/python图表/airline_scale.npz')['arr_0'] k = 5 # 确定聚类中心数 # 构建模型,随机种子设为123 kmeans_model = KMeans(n_clusters = k,random_state=123) fit_kmeans = kmeans_model.fit(airline_scale) # 模型训练 # 查看聚类结果 kmeans_cc = kmeans_model.cluster_centers_ # 聚类中心 print('各类聚类中心为:\n',kmeans_cc) kmeans_labels = kmeans_model.labels_ # 样本的类别标签 print('各样本的类别标签为:\n',kmeans_labels) r1 = pd.Series(kmeans_model.labels_).value_counts() # 统计不同类别样本的数目 print('最终每个类别的数目为:\n',r1) # 输出聚类分群的结果 cluster_center = pd.DataFrame(kmeans_model.cluster_centers_,\ columns = ['ZL','ZR','ZF','ZM','ZC']) # 将聚类中心放在数据框中 cluster_center.index = pd.DataFrame(kmeans_model.labels_ ).\ drop_duplicates().iloc[:,0] # 将样本类别作为数据框索引 print(cluster_center) # 代码7-10 %matplotlib inline import matplotlib.pyplot as plt # 客户分群雷达图 labels = ['ZL','ZR','ZF','ZM','ZC'] legen = ['客户群' + str(i + 1) for i in cluster_center.index] # 客户群命名,作为雷达图的图例 lstype = ['-','--',(0, (3, 5, 1, 5, 1, 5)),':','-.'] kinds = list(cluster_center.iloc[:, 0]) # 由于雷达图要保证数据闭合,因此再添加L列,并转换为 np.ndarray cluster_center = pd.concat([cluster_center, cluster_center[['ZL']]], axis=1) centers = np.array(cluster_center.iloc[:, 0:]) # 分割圆周长,并让其闭合 n = len(labels) angle = np.linspace(0, 2 * np.pi, n, endpoint=False) angle = np.concatenate((angle, [angle[0]])) labels = np.concatenate((labels, [labels[0]])) # 绘图 fig = plt.figure(figsize = (8,6)) ax = fig.add_subplot(111, polar=True) # 以极坐标的形式绘制图形 plt.rcParams['font.sans-serif'] = ['SimHei'] # 用来正常显示中文标签 plt.rcParams['axes.unicode_minus'] = False # 用来正常显示负号 # 画线 for i in range(len(kinds)): ax.plot(angle, centers[i], linestyle=lstype[i], linewidth=2, label=kinds[i]) # 添加属性标签 ax.set_thetagrids(angle * 180 / np.pi, labels) plt.title('客户特征分析雷达图 3055郑佰强') plt.legend(legen) plt.show() plt.close


# 提取属性并合并为新数据集 data_corr = data[['FFP_TIER','FLIGHT_COUNT','LAST_TO_END', 'SEG_KM_SUM','EXCHANGE_COUNT','Points_Sum']] age1 = data['AGE'].fillna(0) data_corr['AGE'] = age1.astype('int64') data_corr['ffp_year'] = ffp_year # 计算相关性矩阵 dt_corr = data_corr.corr(method = 'pearson') print('相关性矩阵为:\n',dt_corr) # 绘制热力图 import seaborn as sns plt.subplots(figsize=(10, 10)) # 设置画面大小 sns.heatmap(dt_corr, annot=True, vmax=1, square=True, cmap='Blues') plt.title('热力图 ') plt.show() plt.close


import pandas as pd datafile= 'D:/桌面文件/python图表/air_data.csv' # 航空原始数据,第一行为属性标签 resultfile = 'D:/桌面文件/python图表/explore.csv' # 数据探索结果表 # 读取原始数据,指定UTF-8编码(需要用文本编辑器将数据装换为UTF-8编码) data = pd.read_csv(datafile, encoding = 'utf-8') # 包括对数据的基本描述,percentiles参数是指定计算多少的分位数表(如1/4分位数、中位数等) explore = data.describe(percentiles = [], include = 'all').T # T是转置,转置后更方便查阅 explore['null'] = len(data)-explore['count'] # describe()函数自动计算非空值数,需要手动计算空值数 explore = explore[['null', 'max', 'min']] explore.columns = ['空值数', '最大值', '最小值'] # 表头重命名 ''' 这里只选取部分探索结果。 describe()函数自动计算的字段有count(非空值数)、unique(唯一值数)、top(频数最高者)、 freq(最高频数)、mean(平均值)、std(方差)、min(最小值)、50%(中位数)、max(最大值) ''' explore.to_csv(resultfile) # 导出结果

浙公网安备 33010602011771号