卡特兰数
一 简单介绍:
卡特兰数是一个数列,其前几项为(从第零项开始) : 1, 1, 2, 5, 14, 42, 132, 429, 1430, 4862, 16796, 58786, 208012, 742900, 2674440, 9694845, 35357670, 129644790, 477638700, 1767263190, 6564120420, 24466267020, 91482563640, 343059613650, 1289904147324, 4861946401452, …
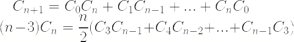
卡特兰数满足如下递推关系:

其中Cn表示数列的第n项。根据上述第一个式子我们可以推出:

第二个推导式用于编程实现卡特兰数。
二、应用
2.1进出栈问题
【问题描述】
1, 2, 3, 4依次进栈,则可能的一种进出栈顺序为:
1in->2in->2out->3in->4in->4out->3out->1out,所以出栈顺序为:2431,那么请问按照1, 2, 3, 4,…, n依次进栈,出栈顺序种数h(n)为多少?
【问题分析】
对n个数,假设数k最后一个出栈,k有n种可能,即每一个数都有可能最后出栈,我们算出每一种可能各有多少种情况,最后相加即可。
因为k最后一个出栈,而进栈顺序又是从小到大来的,所以k前面的k-1个数在k进栈以前就已经全部出栈了,我们把前面k-1个数看出一个整体,那么全面k-1个数的出栈情况实际上就有h(k-1)种。
在k进栈之后,比k大的n-k个数才能进栈,但是它们又比k早出栈,把这n-k个数同样看成一个整体,共有h(n-k)种可能。 二者综合一下,当数k最后出栈时,一共有h(k-1)h(n-k)种可能,k从1取到n,再把每种可能相加即得到最终答案:

简而言之就是数k把这段序列分成了两部分:比k大的部分和比k小的部分。因为中间有k隔着,而它们又必须按照从小到大的次序进栈,所以这两部分进出栈是相互不影响的。
很明显可以看出,该表达式就是卡特兰数的递推式。
2.2排队方式
【问题描述】
n个人手拿5元,n个人手拿10元,他们去排队买东西,东西价值5元,老板没有零钱(老板必须用收取的5元钞票给支付10元的顾客找零钱),请问一共有多少种排队方式?
【问题分析】
将持5元者到达视作将5元入栈,持10元者到达视作使栈中某5元出栈, 实际上也就转换成了进出栈问题,答案也为h(n)。
2.3二叉树生成问题
【问题描述】
有n个结点,请问总共能构成多少种不同的二叉树?
【问题分析】
假设采用中序遍历,根节点第k个被访问,则根的左子树共有k-1个结点,右子树共有n-k个结点,k同样可以取1-n,这就与进出栈问题分析思路一致了,所以一共h(n)种。
2.4凸多边形三角形划分
【问题描述】
一个凸的n边形,用直线连接它的两个顶点使之分成多个三角形,每条直线不能相交,问一共多少种方案?
比如凸六边形的划分情况为:

h(6)=14。
【问题分析】
我们将凸多边形顶点从p1一直编号到pn,以p1pn这条边为基准,任选一个数k(2<=k<=n-1),将p1,pk以及pn三点连接,构成了一个三角形。该三角形把该凸边形划分成了两个凸边形,一边顶点为1 ~ k-1,另一边为k+1 ~ n,于是又回到了进出栈问题,所以答案依旧为:h(n)。
2.5括号匹配问题
【问题描述】
由1对括号,可以组成一种合法括号序列:()。
由2对括号,可以组成两种合法括号序列:()()、(())。
由n对括号组成的合法括号序列一共有多少种?
【问题分析】
考虑n对括号时的任意一种配对方案,最后一个右括号有唯一的与之匹配的左括号,于是有唯一的表示A(B),其中A和B也是合法的括号匹配序列。
假设S(n)为n对括号的正确配对数目,那么有递推关系S(n)=S(0)S(n-1)+S(1)S(n-2) +…+S(n-1)S(0),显然S(n)是卡特兰数。
2.6满二叉树个数
【问题描述】
n+1个叶子的满二叉树个数为多少?
【问题分析】
不再分析,答案为h(n)。
2.7圆划分问题
【问题描述】
在圆上选2n个点,讲这些点成对连接起来,保证所有直线不相交,问一共多少种可能?
【问题分析】
答案为h(n)。
2.8填充问题
【问题描述】
n个长方形填充一个高度为n的阶梯状图像方法数为多少?
【问题分析】
答案为h(n)。
代码展示:

最常用的公式
#include<bits/stdc++.h> typedef long long ll; using namespace std; const int maxn = 20; int n; ll f1[maxn], f2[maxn]; ll f[maxn * 2][maxn]; //公式1: int solve1() { f1[0] = f1[1] = 1; cin >> n; for(int i = 2; i <= n; i++) { for(int j = 0; j < i; j++) { f1[i] += (f1[j] * f1[i-j-1]); //f(n)=f(0)f(n-1)+f(1)f(n-2)+...+f(n-1)f(0) } } printf("%lld\n",f1[n]); return 0; } //公式2: int solve2() { f2[0] = f2[1] = 1; cin >> n; for(int i = 2; i <= n; i++) { f2[i] += f2[i - 1] * (4 * i - 2) / (i + 1); //f(n)=f(n-1)*(4*n-2)/(n+1) } printf("%lld\n", f2[n]); return 0; } //公式3: int solve3() { cin >> n; for(int i = 1; i <= 2 * n; i++) { f[i][0] = f[i][i] = 1; for(int j = 1; j < i; j++) { f[i][j] = f[i - 1][j] + f[i - 1][j - 1]; //f(n)=c(2n,n)/(n+1) } } printf("%lld",f[2 * n][n] / (n + 1)); return 0; } int main() { solve1(); solve2(); solve3(); return 0; }

浙公网安备 33010602011771号