Bundle Adjustment原理及应用(附实战代码)
作者:晚餐男孩
来源:微信公众号|3D视觉工坊(系投稿)
3D视觉精品文章汇总:https://github.com/qxiaofan/awesome-3D-Vision-Papers/
虽然现在的轮子很多,但我们在使用过程中会碰到很多问题,而我们经常不知道从哪里下手,说明轮子不是你造的你不熟悉。因此我们不仅要重复造轮子,还要好好造,深入造,才能用好轮子,把轮子转化成自身的力量。同样的道理适用于这篇文章。虽然网上BA的资料无穷无尽,但我们还是要好好深入理解其原理,并且一定要通过实践才能懂得其中原理。在“第一届SLAM论坛”中沈劭劼老师的发言中,他提到团队的成员都要手写BA,既然大佬都这么做,我们就照做吧。这篇文章是我手写BA的笔记,主要从原理推导入手,把公式都写一遍,然后通过g2o、ceres和eigen三种方式来编程实现,以便加深对BA的理解。
本文所有例子代码地址:在公众号「3D视觉工坊」,后台回复「Bundle Adjustment」,即可直接下载。
一、前言
Bundle Adjustment中文译作光束平差法、捆集调整等,是指从视觉重建中提炼出最优的3D模型和相机参数(内参和外参)。从每个特征点反射出来的几束光线(bundles of light rays),在我们把相机姿态和特征点的位置做出最优的调整(adjustment)之后,最后收束到光心的这个过程,简称BA。
二、原理
三、必备知识
1.SO(3)的对数映射 Exponential Map
2.向量外积
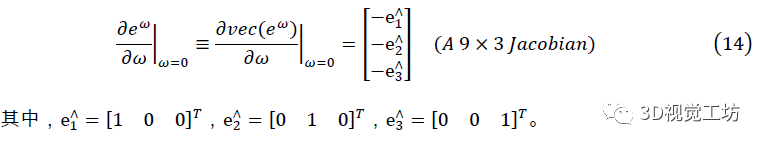
3.SO(3)的Jacobian
根据公式(12),SO3的对数映射的导数是:
4.SE(3)的对数映射 Exponential Map
5.SE(3)的Jacobian
7.Pose-Pose的Jacobian
那么,在位姿求导的公式(23)中,位姿用4*4矩阵来表达。但当它用向量展开之后,最后一行是被忽略的。位姿变成12个向量。虽然这表明一个6自由度的实体过度参数化了,但通过这样的表达,很多重要的步骤变成线性的了,使得我们可以更加有效地获取精确的导数。我们用T代替p,则公式(23)表示成:
其结果可表示成:
把f设为F,根据上式则有:
记住公式(26),待会要用来计算左乘模型的Jacobian矩阵。
9.Pose-Point的Jacobian
该问题则转换成重投影误差函数对位姿的求导,利用公式(33)和(31),结果为:
四、推导
1.针孔相机的投影函数
假设针孔相机的内参矩阵是K,则有:
2.三维坐标点p重投影函数的偏导数
函数对位姿的偏导数最终表达式已求得。
至此,函数的偏导数已求取完毕,分别是公式(40)和(42)。
五、g2o应用
六、ceres应用
这部分在ceres文件夹里面。之前ceres用的不多,总结一下其使用步骤:
- 构建cost fuction,即代价函数。
- 通过代价函数构建待求解的优化问题。
- 配置求解器参数并求解问题。
针对公式(43)提出的问题,定义一个类,里面包含有观测值和估计值,最重要的是误差计算(ceres里面常用重载运算符来实现),然后利用该类生成代价函数,最终求解问题。
这里要说一下,ceres例子用的是AutoDiffCostFunction,即自动计算导数,所以不用自己去求导。其他的看代码就清楚了。
七、Eigen应用
这部分在eigen文件夹里面。只用Eigen就比较痛苦了,数据结构、Jacobian、高斯牛顿等都要自己一步步理解和实现,也踩了一些坑,最后还是完成了,不过过多展开,具体看代码好了,有几点强调:
- 所有的实现都只优化了pose,没有优化point;
- 高斯牛顿的步骤要记牢,根据理论的步骤一步步来,不要贪心;
- Jacobian和deltase3的纬度和对应关系要搞清,否则会晕,导致中途放弃;
- 求解出来的deltase3的旋转和平移顺序要注意,否则会导致错误的结果。
八、总结
总体来说,g2o比较经典,容易让人理解,但有一定工程量,性能也不如ceres。Ceres实现起来最方便,不用过多关注细节,可快速开发。手写工程量就很大,性能最差,但可以让人上手,加深对BA的理解。本文所有例子代码参见文中开头下载地址,代码中的refs文件夹有关于非线性优化库的性能指标的一些论文,感兴趣的可自行查阅。
备注:作者也是我们「3D视觉从入门到精通」特邀嘉宾:一个超干货的3D视觉学习社区
本文仅做学术分享,如有侵权,请联系删文。
3D视觉工坊-ORB-SLAM源码学习交流群
已建立3D视觉工坊-ORB-SLAM源码学习微信交流群!想要进学习交流群的同学,可以直接加微信号:CV_LAB 。加的时候备注一下:ORB-SLAM+学校+昵称,即可。然后就可以拉你进群了。
强烈推荐大家关注3D视觉工坊知乎和3D视觉工坊微信公众号,可以快速了解到最新优质的3D视觉论文。
虽然现在的轮子很多,但我们在使用过程中会碰到很多问题,而我们经常不知道从哪里下手,说明轮子不是你造的你不熟悉。因此我们不仅要重复造轮子,还要好好造,深入造,才能用好轮子,把轮子转化成自身的力量。同样的道理适用于这篇文章。虽然网上BA的资料无穷无尽,但我们还是要好好深入理解其原理,并且一定要通过实践才能懂得其中原理。在“第一届SLAM论坛”中沈劭劼老师的发言中,他提到团队的成员都要手写BA,既然大佬都这么做,我们就照做吧。这篇文章是我手写BA的笔记,主要从原理推导入手,把公式都写一遍,然后通过g2o、ceres和eigen三种方式来编程实现,以便加深对BA的理解。
本文所有例子代码地址:在公众号「3D视觉工坊」,后台回复「Bundle Adjustment」,即可直接下载。
一、前言
Bundle Adjustment中文译作光束平差法、捆集调整等,是指从视觉重建中提炼出最优的3D模型和相机参数(内参和外参)。从每个特征点反射出来的几束光线(bundles of light rays),在我们把相机姿态和特征点的位置做出最优的调整(adjustment)之后,最后收束到光心的这个过程,简称BA。
二、原理
三、必备知识
1.SO(3)的对数映射 Exponential Map
2.向量外积
3.SO(3)的Jacobian
根据公式(12),SO3的对数映射的导数是:
4.SE(3)的对数映射 Exponential Map
5.SE(3)的Jacobian
7.Pose-Pose的Jacobian
那么,在位姿求导的公式(23)中,位姿用4*4矩阵来表达。但当它用向量展开之后,最后一行是被忽略的。位姿变成12个向量。虽然这表明一个6自由度的实体过度参数化了,但通过这样的表达,很多重要的步骤变成线性的了,使得我们可以更加有效地获取精确的导数。我们用T代替p,则公式(23)表示成:
其结果可表示成:
把f设为F,根据上式则有:
记住公式(26),待会要用来计算左乘模型的Jacobian矩阵。
9.Pose-Point的Jacobian
该问题则转换成重投影误差函数对位姿的求导,利用公式(33)和(31),结果为:
四、推导
1.针孔相机的投影函数
假设针孔相机的内参矩阵是K,则有:
2.三维坐标点p重投影函数的偏导数
函数对位姿的偏导数最终表达式已求得。
至此,函数的偏导数已求取完毕,分别是公式(40)和(42)。
五、g2o应用
六、ceres应用
这部分在ceres文件夹里面。之前ceres用的不多,总结一下其使用步骤:
- 构建cost fuction,即代价函数。
- 通过代价函数构建待求解的优化问题。
- 配置求解器参数并求解问题。
针对公式(43)提出的问题,定义一个类,里面包含有观测值和估计值,最重要的是误差计算(ceres里面常用重载运算符来实现),然后利用该类生成代价函数,最终求解问题。
这里要说一下,ceres例子用的是AutoDiffCostFunction,即自动计算导数,所以不用自己去求导。其他的看代码就清楚了。
七、Eigen应用
这部分在eigen文件夹里面。只用Eigen就比较痛苦了,数据结构、Jacobian、高斯牛顿等都要自己一步步理解和实现,也踩了一些坑,最后还是完成了,不过过多展开,具体看代码好了,有几点强调:
- 所有的实现都只优化了pose,没有优化point;
- 高斯牛顿的步骤要记牢,根据理论的步骤一步步来,不要贪心;
- Jacobian和deltase3的纬度和对应关系要搞清,否则会晕,导致中途放弃;
- 求解出来的deltase3的旋转和平移顺序要注意,否则会导致错误的结果。
八、总结
总体来说,g2o比较经典,容易让人理解,但有一定工程量,性能也不如ceres。Ceres实现起来最方便,不用过多关注细节,可快速开发。手写工程量就很大,性能最差,但可以让人上手,加深对BA的理解。本文所有例子代码参见文中开头下载地址,代码中的refs文件夹有关于非线性优化库的性能指标的一些论文,感兴趣的可自行查阅。
备注:作者也是我们「3D视觉从入门到精通」特邀嘉宾:一个超干货的3D视觉学习社区
本文仅做学术分享,如有侵权,请联系删文。
3D视觉工坊-ORB-SLAM源码学习交流群
已建立3D视觉工坊-ORB-SLAM源码学习微信交流群!想要进学习交流群的同学,可以直接加微信号:CV_LAB 。加的时候备注一下:ORB-SLAM+学校+昵称,即可。然后就可以拉你进群了。
强烈推荐大家关注3D视觉工坊知乎和3D视觉工坊微信公众号,可以快速了解到最新优质的3D视觉论文。

浙公网安备 33010602011771号