3D曲面重建之移动最小二乘法
点击上方“3D视觉工坊”,选择“星标”
干货第一时间送达
本文我们思考这样一个问题:如何在一组逐点值的给定域上估计该域的一般函数?
这种估计对于给定域上PDE数值的求解,根据扫描数据进行表面重建,或者理解采集到数据的数据结构都有所帮助。下面介绍几种常见的最小二乘法:
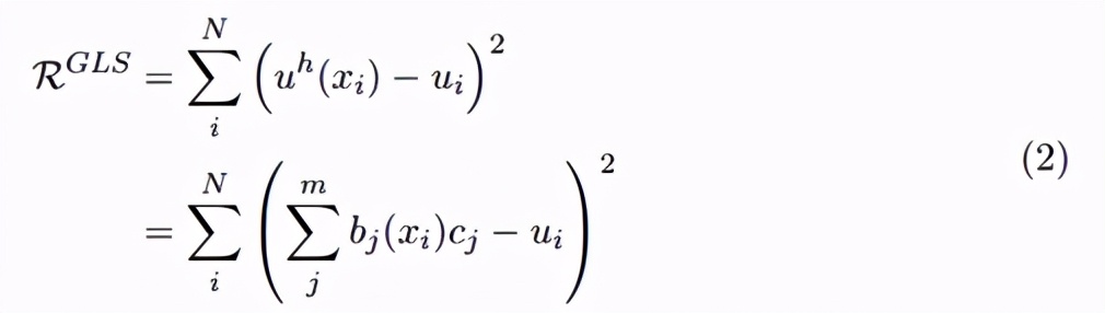
一、全局最小二乘估计
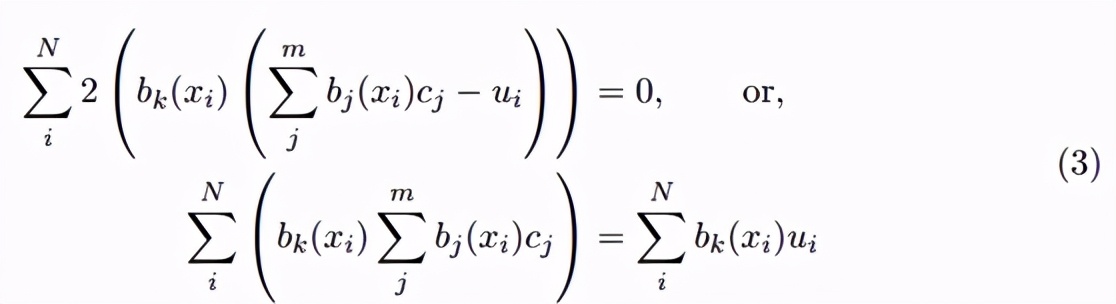
为了解决多项式拟合中的未知系数,我们构建如下的目标函数:
然后我们可以写个归一化方程为:
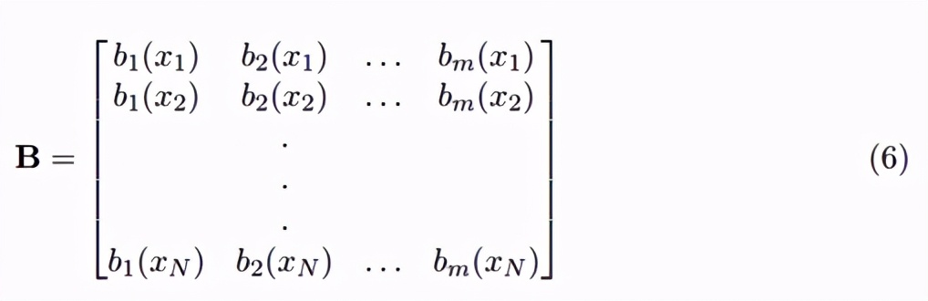
用矩阵的形式表示为:
这个矩阵方程也可以直接用于计算系数向量 :
或者在大型系统中使用迭代的方法。
图1 全局最小二乘(实曲线)
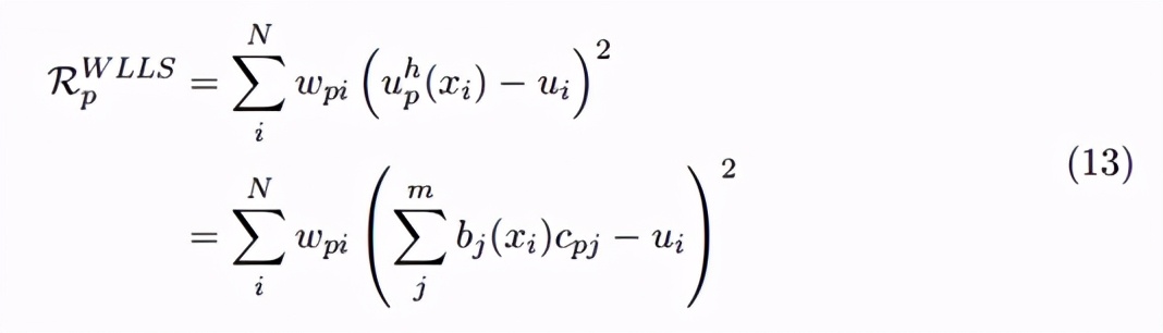
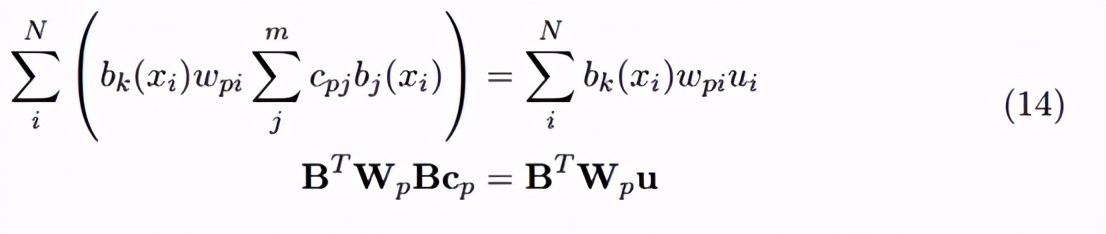
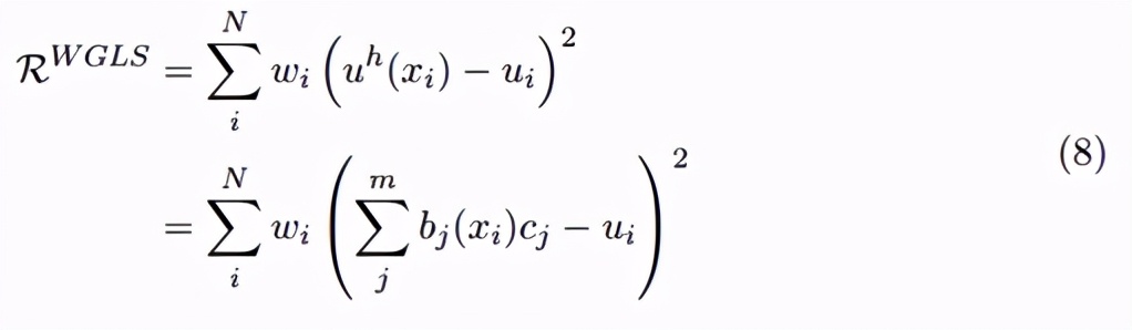
二、全局加权最小二乘拟合
我们可以为每个数据值分配一个权重用于最小二乘拟合中,这样我们将目标函数最小化为:
归一化方程的解为:
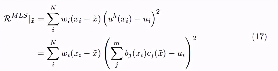
三、加权局部最小二乘
在全局最小二乘拟合中,我们假设整个域中都可以用一个单一的多项式精确地描述数据所代表的函数。但是,对于大型、复杂的数据集,这将要求我们拟合出一个不理想的高阶多项式,即便如此,这也不能捕获数据的所有特征。所以,为了替代全局解决方案,我们尝试通过对每个数据点 及其邻域拟合出一个低阶多项式来获得更好的解决方案。因此,有 个最小二乘拟合的值 ,每个值都是点 的近似值并且每个点的系数向量 都不同。
注意:不同于其它讨论的方法,这不是一种公认的方法并且也不常见。它仅仅是为了我们更好的理解下一部分将要介绍的移动最小二乘法。
用通用的方法就可解决。
图2 加权局部最小二乘拟合
四、移动最小二乘法
总结
英文原文下载:在公众号「3D视觉工坊」,后台回复「移动最小二乘法」,即可直接下载。
本文仅做学术分享,如有侵权,请联系删文。
下载1
在「3D视觉工坊」公众号后台回复:3D视觉,即可下载 3D视觉相关资料干货,涉及相机标定、三维重建、立体视觉、SLAM、深度学习、点云后处理、多视图几何等方向。
下载2
在「3D视觉工坊」公众号后台回复:3D视觉github资源汇总,即可下载包括结构光、标定源码、缺陷检测源码、深度估计与深度补全源码、点云处理相关源码、立体匹配源码、单目、双目3D检测、基于点云的3D检测、6D姿态估计源码汇总等。
下载3
在「3D视觉工坊」公众号后台回复:相机标定,即可下载独家相机标定学习课件与视频网址;后台回复:立体匹配,即可下载独家立体匹配学习课件与视频网址。
重磅!3DCVer-学术论文写作投稿 交流群已成立扫码添加小助手微信,可申请加入3D视觉工坊-学术论文写作与投稿 微信交流群,旨在交流顶会、顶刊、SCI、EI等写作与投稿事宜。
同时也可申请加入我们的细分方向交流群,目前主要有3D视觉、CV&深度学习、SLAM、三维重建、点云后处理、自动驾驶、CV入门、三维测量、VR/AR、3D人脸识别、医疗影像、缺陷检测、行人重识别、目标跟踪、视觉产品落地、视觉竞赛、车牌识别、硬件选型、学术交流、求职交流、ORB-SLAM系列源码交流、深度估计等微信群。一定要备注:研究方向+学校/公司+昵称,例如:”3D视觉 + 上海交大 + 静静“。请按照格式备注,可快速被通过且邀请进群。原创投稿也请联系。▲长按加微信群或投稿▲长按关注公众号
3D视觉从入门到精通知识星球:针对3D视觉领域的知识点汇总、入门进阶学习路线、最新paper分享、疑问解答四个方面进行深耕,更有各类大厂的算法工程人员进行技术指导。与此同时,星球将联合知名企业发布3D视觉相关算法开发岗位以及项目对接信息,打造成集技术与就业为一体的铁杆粉丝聚集区,近2000星球成员为创造更好的AI世界共同进步,知识星球入口:
学习3D视觉核心技术,扫描查看介绍,3天内无条件退款 圈里有高质量教程资料、可答疑解惑、助你高效解决问题觉得有用,麻烦给个赞和在看~

浙公网安备 33010602011771号