摄影测量(计算机视觉)中的三角化方法
作者:李城
点击上方“3D视觉工坊”,选择“星标”
干货第一时间送达
提到三角化大家都十分熟悉,在CV 领域中,由像点计算物点的过程称为三角化,但在摄影测量领域,其称作为前方交会。值得注意的是单张影像是无法恢复像点的三维坐标,至少需要两张影像才能得到像素点的真实坐标(这里已知两张影像的pose信息)
三角化有很多方法,这里介绍两帧三角化、多帧三角化、迭代三角化、选权迭代多帧三角化(并附上本人代码)。
1、两帧三角化
在opencv 中函数triangulatePoints就可根据两帧的pose 和内参恢复三维点坐标,cv中的三角化是两帧且是没有权的。
其函数参数如下:
void cv::triangulatePoints ( InputArray projMatr1, //P1 1 3*4
InputArray projMatr2, //P2 3*4
InputArray projPoints1, //pixel coordinates
InputArray projPoints2, // pixel coordinates
OutputArray points4D // 3D coordinates
)
2、多帧三角化
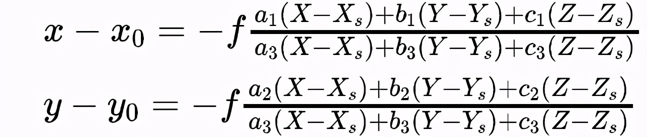
三角化严密解推导过程:
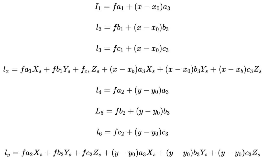
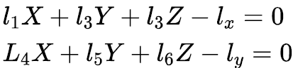
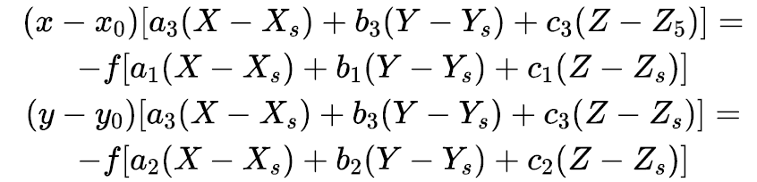
由共线条件方程得到三角化严密解法,将分母移到左边,得到
整理可得:
l1X+l3Y+l3Z−lx=0L4X+l5Y+l6Z−ly=0
其中:
从上可以知道,一个像点可以列2个方程,对于n个同名像点就可以列2n个方程(AX=B,超定方程按照最小二乘求解),即是多帧三角化,代码如下:
def pixelToCam(pts,K):
'''
:param pts: pixel coordinates
:param K: camera params
:return: camera coordinates
'''
camPts=np.zeros((1,2))
camPts[0,0]=(pts[0,0]-K[0,2])/K[0,0]
camPts[0,1]=(pts[0,1]-K[1,2])/K[1,1]
return camPts
def getEquation(camPts,R,t):
'''
build equation ,one pixel point get 2 equations
:param camPts: camera coordinates
:param R: image pose-rotation ,world to camera
:param t: image pose -translation,is camera center(t=-R.T*tvec)
:return: equation coefficient
'''
A=np.zeros((2,3))
b=np.zeros((2,1))
A[0,0]=R[0,0]-camPts[0,0]*R[2,0]
A[0,1]=R[0,1]-camPts[0,0]*R[2,1]
A[0,2]=R[0,2]-camPts[0,0]*R[2,2]
b[0,0]=t[0,0]*A[0,0]+t[0,1]*A[0,1]+t[0,2]*A[0,2]
A[1,0]=R[1,0]-camPts[0,1]*R[2,0]
A[1,1]=R[1,1]-camPts[0,1]*R[2,1]
A[1,2]=R[1,2]-camPts[0,1]*R[2,2]
b[1,0]=t[0,0]*A[1,0]+t[0,1]*A[1,1]+t[0,2]*A[1,2]
return A,b
3 、迭代三角化
其做法就是在方程系数加入因子,不断调整系数的因子,本人代码如下:
def IterativeLinearLSTri(u1,P1,u2,P2):
wi,wi1=1,1 #不断需要更新的因子
X=np.zeros((4,1))
for i in range(10): #迭代10次
X_=linear_ls_triangulation(u1,P1,u2,P2) # 线性求解两帧的像素点的三维坐标
X[1,0]=X_[0,1]
X[2,0]=X_[0,2]
X[3,0]=1
p2x=np.dot(P1[2,:].reshape(1,4),X)[0,0]
p2x1=np.dot(P2[2,:].reshape(1,4),X)[0,0]
if abs(wi-p2x) <=0.001 and abs(wi1-p2x1)<=0.001 :
break
wi=p2x
wi1=p2x1
A = np.array([(u1[0]*P1[2, 0] - P1[0, 0])/wi, (u1[0]*P1[2, 1] - P1[0, 1])/wi,
(u1[0]*P1[2, 2] - P1[0, 2])/wi, (u1[1]*P1[2, 0] - P1[1, 0])/wi,
(u1[1]*P1[2, 1] - P1[1, 1])/wi, (u1[1]*P1[2, 2] - P1[1, 2])/wi,
(u2[0]*P2[2, 0] - P2[0, 0])/wi1, (u2[0]*P2[2, 1] - P2[0, 1])/wi1,
(u2[0]*P2[2, 2] - P2[0, 2])/wi1, (u2[1]*P2[2, 0] - P2[1, 0])/wi1,
(u2[1]*P2[2, 1] - P2[1, 1])/wi1,
(u2[1]*P2[2, 2] - P2[1, 2])/wi1]).reshape(4, 3)
B = np.array([-(u1[0]*P1[2, 3] - P1[0, 3])/wi,
-(u1[1]*P1[2, 3] - P1[1, 3])/wi,
-(u2[0]*P2[2, 3] - P2[0, 3])/wi1,
-(u2[1]*P2[2, 3] - P2[1, 3])/wi1]).reshape(4, 1)
ret, X_ = cv2.solve(A, B, flags=cv2.DECOMP_SVD)
X[0,0]=X_[0,0]
X[1,0]=X_[1,0]
X[2,0]=X_[2,0]
X[3,0]=1
return X
4、选权迭代多帧三角化
首先解释选权迭代(IGG算法),上世纪 80 年代,首创从验后方差估计导出粗差定位的选权迭代法,命名为“李德仁方法”。在实际测量工作中客观条件的限制,很难完全避免粗差的存在或做到完全同等精度量测.在平差过程中,通常引入权作为比较观测值之间相对精度高低的指标,并为精度较高的观测数据赋予较高的权重,这样就可规避有害信息的干扰。例如,我们在image matching 的匹配的时候,会用到ransac(同样是稳健估计算法) 剔除outlier,但是当你的同名点是在多帧上且只有一个的时候(比如多帧红绿灯的位置测量),ransac 就不能再使用,这个时候使用IGG 算法可以有效的规避误点带来影响,论文参考-多像空间前方交会的抗差总体最小二乘估计,本人将论文的算法进行了复现,代码如下:
def IterationInsection(pts,K,R,t):
# cam_xyz is inital value
# 这里假设像点x,y是等权的
k0=1.5
k1=2.5 # K1=2
weight=np.identity(len(pts)*2)
cam_xyz=mutiTriangle(pts,K,R,t)
cam_xyz_pre=cam_xyz
iteration=0
while 1:
d=np.zeros((len(pts),1))
for i in range(len(R)):
pro,J = cv2.projectPoints(cam_xyz.reshape(1, 1, 3), R[i], t[i], K, np.array([]))
pro=pro.reshape(1,2)
deltax=pro[0,0]-pts[i][0,0]
deltay=pro[0,1]-pts[i][0,1]
d[i,0]=np.sqrt(deltax**2+deltay**2)
weight_temp=np.diag(weight)[::2].reshape(-1,1)
delta=np.sqrt(np.sum(weight_temp*d**2)/(len(pts)-2))
w=np.zeros((len(pts),1))
for i in range(len(pts)):
u=d[i]
if abs(u)<k0*delta:
w[i]=1
elif abs(u)<k1*delta and abs(u)>=k0*delta:
w[i]=delta/u
elif abs(u)>=k1*delta:
w[i]=0
weight_temp=w
weight_p=[val for val in weight_temp.reshape(-1,) for i in range(2)]
weight_p=np.diag(weight_p)
cam_xyz_curr=weight_mutiTriangle(pts,K,R,t,weight_p)
dx=cam_xyz_curr[0,0]-cam_xyz_pre[0,0]
dy=cam_xyz_curr[1,0]-cam_xyz_pre[1,0]
dz=cam_xyz_curr[2,0]-cam_xyz_pre[2,0]
# print(dx,dy,dz)
if np.sqrt(dx**2+dy**2+dz**2)<0.01:
break
else:
cam_xyz=cam_xyz_curr
cam_xyz_pre=cam_xyz_curr
weight=weight_p
iteration+=1
# print("d{0}".format(d))
print("iteration is {0}\n".format(iteration))
print("IGG....{0},{1},{2}".format(cam_xyz[0,0],cam_xyz[1,0],cam_xyz[2,0]))
return cam_xyz,weight
其中mutiTriangle 函数和weight_mutiTriangle函数如下:
def mutiTriangle(pts,K,R,t):
if len(pts)>=4: #这里是假设至少track 4帧
equa_A=[]
equa_b=[]
for i in range(len(pts)):
camPts=pixelToCam(pts[i],K)
t1=np.dot(np.linalg.inv(R[i]),-t[i]).reshape(1,3)
A1,b1=getEquation(camPts,R[i],t1)
equa_A.append(A1)
equa_b.append(b1)
AA=np.vstack(equa_A)
bb=np.vstack(equa_b)
P_ls=np.dot(np.linalg.inv(AA.T@AA),AA.T@bb)
return P_ls
else:
print("tracker pixel point less 3,can not insection........")
return None
def weight_mutiTriangle(pts,K,R,t,weight):
if len(pts)>=4:
equa_A=[]
equa_b=[]
for i in range(len(pts)):
camPts=pixelToCam(pts[i],K)
t1=np.dot(np.linalg.inv(R[i]),-t[i]).reshape(1,3)
A1,b1=getEquation(camPts,R[i],t1)
equa_A.append(A1)
equa_b.append(b1)
AA=np.vstack(equa_A)
bb=np.vstack(equa_b)
P_ls=np.dot(np.linalg.pinv(AA.T@weight@AA),AA.T@weight@bb)
return P_ls
else:
print("tracker pixel point less 4,can not insection........")
return None
参考文献:
1、多像空间前方交会的抗差总体最小二乘估计[J].李忠美.测绘学报
本文仅做学术分享,如有侵权,请联系删文。
下载1
在「3D视觉工坊」公众号后台回复:3D视觉,即可下载 3D视觉相关资料干货,涉及相机标定、三维重建、立体视觉、SLAM、深度学习、点云后处理、多视图几何等方向。
下载2
在「3D视觉工坊」公众号后台回复:3D视觉github资源汇总,即可下载包括结构光、标定源码、缺陷检测源码、深度估计与深度补全源码、点云处理相关源码、立体匹配源码、单目、双目3D检测、基于点云的3D检测、6D姿态估计源码汇总等。
下载3
在「3D视觉工坊」公众号后台回复:相机标定,即可下载独家相机标定学习课件与视频网址;后台回复:立体匹配,即可下载独家立体匹配学习课件与视频网址。
重磅!3DCVer-学术论文写作投稿 交流群已成立扫码添加小助手微信,可申请加入3D视觉工坊-学术论文写作与投稿 微信交流群,旨在交流顶会、顶刊、SCI、EI等写作与投稿事宜。
同时也可申请加入我们的细分方向交流群,目前主要有3D视觉、CV&深度学习、SLAM、三维重建、点云后处理、自动驾驶、CV入门、三维测量、VR/AR、3D人脸识别、医疗影像、缺陷检测、行人重识别、目标跟踪、视觉产品落地、视觉竞赛、车牌识别、硬件选型、学术交流、求职交流、ORB-SLAM系列源码交流、深度估计等微信群。一定要备注:研究方向+学校/公司+昵称,例如:”3D视觉 + 上海交大 + 静静“。请按照格式备注,可快速被通过且邀请进群。原创投稿也请联系。▲长按加微信群或投稿▲长按关注公众号
3D视觉从入门到精通知识星球:针对3D视觉领域的知识点汇总、入门进阶学习路线、最新paper分享、疑问解答四个方面进行深耕,更有各类大厂的算法工程人员进行技术指导。与此同时,星球将联合知名企业发布3D视觉相关算法开发岗位以及项目对接信息,打造成集技术与就业为一体的铁杆粉丝聚集区,近2000星球成员为创造更好的AI世界共同进步,知识星球入口:
学习3D视觉核心技术,扫描查看介绍,3天内无条件退款 圈里有高质量教程资料、可答疑解惑、助你高效解决问题觉得有用,麻烦给个赞和在看~

浙公网安备 33010602011771号