通俗易懂的Harris 角点检测
作者:追求卓越583
点击上方“计算机视觉工坊”,选择“星标”
干货第一时间送达
Harris 角点检测 认为 特征点具有局部差异性。
如何描述“特征点具有局部差异性”:
以每一个点为中心,取一个窗口,窗口大小为5*5或7*7像素大小。
这个窗口描述了这个特征点周围的环境。
如果这个特征点具有局部差异性,那么以这个特征点为中心,把窗口向360度任意一个方向移动,窗口的变化比较大,则这个特征点的周围环境变化比较大。
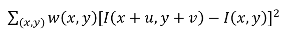
数学公式:
其中:
- (x,y):表示像素的位置。
- :表示窗口内的每个像素。
- w(x,y):表示 这个位置的权重。
若w=1,则说明窗口中所有的像素贡献是一样的。
若w设置为以这个特征点为中心的高斯,
高斯权重,说明距离这个特征点越近,权重越大;越往周围发散,权重越小。
I(x,y):表示(x,y)这个位置的像素值。如果是灰度图,I就是灰度值,如果是彩色图,I就是RGB值。
u和v表示窗口移动的方向。
I(x+u,y+v) - I(x,y):表示对应像素的灰度差异。
:在整个窗口内,即在局部环境内求这个像素灰度差异的加权和。
对 I(x+u,y+v) - I(x,y)进行一阶泰勒展开,得到
在(x,y)处的灰度值,再加上u方向和v方向的偏导数。
整理后,结果为:
u和v表示窗口移动的方向, H表示Harris矩阵,主要由图像梯度表示。
对Harris矩阵进行特征分解:
得到两个特征值,矩阵的这两个特征值反映了:两个相互垂直的方向上的变化情况。
一个是变化最快的方向,一个是变化最慢的方向。
前面设置了u和v,这是两个向量,表示窗口移动的方向。以(x,y)这个点为中心,进行360度的旋转。
特征值对应的特征向量,确定了变化最快的方向和变化最慢的方向。其他方向的变化情况,介于这两者之间。
通过对Harris矩阵的分析,得到如下结论:
只有当Harris矩阵的两个特征值都非常大的时候,特征点才能和周围环境区别比较大,是我们想要的特征点。
现在检测特征的任务就变成了,计算Harris矩阵,并判断其两个特征值的大小。
Harris角点准则
实际中,并不对Harris矩阵进行分解求其特征值,因为计算量太大。而是使用Harris角点准则。
C = Harris矩阵的行列式值 – k(Harris矩阵的迹)2
Harris矩阵的行列式值:Harris矩阵特征值的乘积
Harris矩阵的迹:Harris矩阵特征值的和
-
k的值越小,检测子越敏感。k的值越小,能检测到的特征点越多。
-
只有当和同时取得最大值时, 才能取得较大值。
-
避免了特征值分解,提高检测计算效率。
本文仅做学术分享,如有侵权,请联系删文。
下载1在「计算机视觉工坊」公众号后台回复:深度学习,即可下载深度学习算法、3D深度学习、深度学习框架、目标检测、GAN等相关内容近30本pdf书籍。
下载2在「计算机视觉工坊」公众号后台回复:计算机视觉,即可下载计算机视觉相关17本pdf书籍,包含计算机视觉算法、Python视觉实战、Opencv3.0学习等。
下载3在「计算机视觉工坊」公众号后台回复:SLAM,即可下载独家SLAM相关视频课程,包含视觉SLAM、激光SLAM精品课程。
重磅!计算机视觉工坊-学习交流群已成立
扫码添加小助手微信,可申请加入3D视觉工坊-学术论文写作与投稿 微信交流群,旨在交流顶会、顶刊、SCI、EI等写作与投稿事宜。
同时也可申请加入我们的细分方向交流群,目前主要有3D视觉、CV&深度学习、SLAM、三维重建、点云后处理、自动驾驶、CV入门、三维测量、VR/AR、3D人脸识别、医疗影像、缺陷检测、行人重识别、目标跟踪、视觉产品落地、视觉竞赛、车牌识别、硬件选型、学术交流、求职交流等微信群,请扫描下面微信号加群,备注:”研究方向+学校/公司+昵称“,例如:”3D视觉 + 上海交大 + 静静“。请按照格式备注,否则不予通过。添加成功后会根据研究方向邀请进去相关微信群。原创投稿也请联系。
▲长按加微信群或投稿
▲长按关注公众号

浙公网安备 33010602011771号