mysql B+Tree
1、B-Tree
叫B树,记得不是B减,像iphone12-pro,不会是减pro

2、B+Tree(B+-Tree)
B加树

有数据冗余,叶子节点存储所有的数据
3、官方对Innodb的部分说明

4、提出疑问
创建一个表

然后无规律的插入数据并查询

结果会变成 好像是根据a字段升序排序了

为什么会这样?稍后说明
5、page?
我们先假设查询select * from t1 where a=7;,就会先从磁盘读取第一条数据放到内存中,然后cpu判断该条数据a是否等于7,不等于就要继续读取下一条,这样会发生7次磁盘IO。
mysql为了提升速度,使用了page,通过show global status like 'Innodb_page_size';查看一页的大小为16KB

所以存储引擎每次取都会至少取一页的数据,也就一次磁盘IO就把数据读取到内存中,然后CPU取第一条进行判断,再取第二条进行判断。

在数据插入的时候就已经进行了排序

6、为什么插入的时候要排序
加快读取。当查询a=3的时候,第二条4已经比3大了,证明数据不存在,不会再遍历该页的数据

所以建议主键是自增id。
上面这个只是一个小优势,当查询a=300000的话,那还是需要遍历这页所有数据的一个长链表,性能差,需要用到页目录。
7、页目录
类似新华字典,要查某个汉字,根据他的拼音,得到在那一页开始,然后再查询。

页目录存的是主键,这样查找速度就快很多了。
但如果页目录太多的时候,还是需要先判断30000是否小于1,是否小于4,是否小于10....最后才得出它应该在最后一页

还可以用二分查找法提升查找在那一页的速度。
8、
假设一页存四条数据就满了,后续数据就会存到下一页。
(其实是双向链表)

在非自增id的时候,例如第一页存的是1,2,4,8,这时要插入5,就需要把5挤进第一页,8退到第二页,这样速度就会很慢。所以主键自增是很有必要的
9、
当存了8条数据,第一页1234,第二页5678,这时要查a=6,就会先读第一页到内存中,然后查找a=6没有数据,再根据next指针在磁盘找到第二页读到内存,再找a=6的数据。两次磁盘IO,更多页就会更多的IO(a=600000,变成了页的长链表)效率会很低
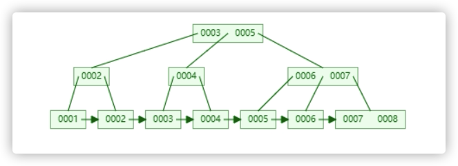
10、
同样的思想,为页目录再做一个管理目录,存每页的最小主键值

这样就能更快定位到那一页了。现在这个图就和B+Tree相同了
11、
现在为了方便查看,假设一页两条数据

B+Tree最主要的是主键,主键索引。
如果这时查b=7,就无法用主键索引了

浙公网安备 33010602011771号