21th Feb
【1】 二叉树的一些性质
https://www.jianshu.com/p/bce7efe8d45e
【2】 等比数列求和公式

2^0 + 2^1 + 2^2 + 2^3 +...+ 2^n = 2^(n+1) - 1 ;
【3】
36节有序表
https://www.mashibing.com/study?courseNo=339§ionNo=41462&systemId=21&activeIndex=0
左旋后 搜索二叉树性质不变;
左旋原因,感觉 右树太大了;

===》对应的 右旋
头结点 往哪边倒 就是什么旋
avl,sb树(Size balance tree),红黑树==》 不管你是哪种 时间复杂度的量级都一样 LgN;
LL---》做右旋


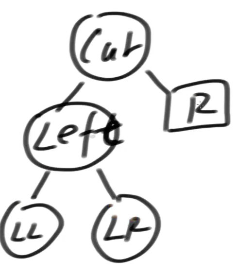
LR (根节点的 左树 比 右树 高 ; 再 具体看是 ---》 左树中的 右孩子树 过高导致的)===> 让孙子

LR 型 调整策略 --目的---》想尽办法让C 去到 A的位置
---【1】 先在B节点 对B 来左旋

【3】 【1】 【2】
LR --> LL --> 再去调 LL 递归
实例:
难调的一种

同理:rr型 做一步 左旋
RL --> 变成 RR型 (异常高的左子树 的 根节点 做一次)---》再左旋一次
即是LL型违规·又是LR型违规;---》【仍旧 按照 LL 型 来调整】

按照LL型调整后

如果 按照LR型 调整时---》(可能会出现问题)
按LL 是通的, 因为 C节点 的 左右子树 没有被拆分===》不会 引入 新的 不平衡问题
但是 如果按照 LR调整下【里面 s的高度 为 5 】 ---》主要是因为重新 挂接 子树 到 新节点, 导致的 一次调整 不

重新举例:LL 和 LR型 同时存在 ===》按照 LL调整 重新举例

===》 按照 LR型 去调整 又出问题


LL、LR共同成立 以LL为准;
RL,RR 共同成立 以RR为准
【4】
顺便说了一下 数据库是如何基于有序表去建立索引的;
本来数据 在物理介质 上 是顺序存储;
但是 因为 遍历查找 太慢了;
可以 通过一些有 顺序的 字段 ,《可以比较大小》 ,通过这样 一种顺序 建立有序表
【5】搜索二叉树

【6】 avl 树
|左树高度 - 右树高度| < 2
查找;
添加;===》每次添加完后, 平衡性 从当前根节点 每一个 都要重新调一遍
删除----》删除中间节点 【3】最难的情况【当前节点 左右 都有 孩子】:当前节点 的 右树 最 左节点 来代替;
当前节点 的 左树 最 右节点 来代替;
【1】删除叶子节点 没有左右--》平衡性 上面每一个 节点都查
【2】删除节点 只有右孩子 ---》 用右孩子 代替当前节点
如何平衡: 左旋,右旋
四种类型 破坏 AVL的平衡性;
【7】 右旋两段代码
private AVLNode<K, V> rightRotate( AVLNode<K, V> cur ) {
AVLNode<K, V> left = cur.l;
cur.l = left.r;
left.r = cur;
cur.h = Math.max((cur.l != null ? cur.l.h : 0), (cur.r != null ? cur.r.h : 0)) + 1;
left.h = Math.max((left.l != null ? left.l.h : 0), (left.r != null ? left.r.h : 0)) + 1;
return left;
}


【8】 有序表 是个接口---》可以当成是一个技术标准,是个规范
AVL 树 本质就是 某颗 搜索二叉树 加上平衡性

浙公网安备 33010602011771号