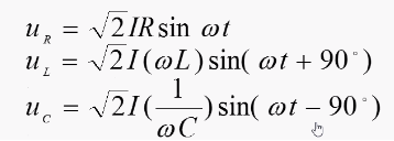
Rlc串联电压相量是什么关系,输入阻抗
1.电压相量关系

①电感的电压领先电阻90°,电阻两端的电压领先电容90°则电感电压领先电容电压180°

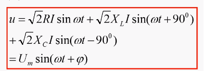
②同频率正弦量的加法还是同频率的正弦量

③串联电路电流相等,电压不等,计算电压就等于三个元件电压相量的和,选取相同的量作参考相量(此处是串联电路,所以采用电流当参考相量)UL-UC为什么是减是因为Uc的相位是负的,三个相量构成直角三角形,斜边为总电压,根据勾股定理求总电压的值

④绿色的角是总电压与总电流的相位差,也是总电压与电阻的相位差

1.电压相量关系

①电感的电压领先电阻90°,电阻两端的电压领先电容90°则电感电压领先电容电压180°

②同频率正弦量的加法还是同频率的正弦量

③串联电路电流相等,电压不等,计算电压就等于三个元件电压相量的和,选取相同的量作参考相量(此处是串联电路,所以采用电流当参考相量)UL-UC为什么是减是因为Uc的相位是负的,三个相量构成直角三角形,斜边为总电压,根据勾股定理求总电压的值

④绿色的角是总电压与总电流的相位差,也是总电压与电阻的相位差
