信号与系统学习笔记(二)线性时不变系统的时域分析
线性时不变系统的时域分析
信号的时域分析
在本节,我们将研究如何运用时域基本信号单元,经过线性组合,来构成任意的信号。
信号分解的基本思想
如果我们能将信号分解成若干的基本信号的线性组合,那么只要得到了LTI系统对基本信号的响应,便可以利用线性与时不变性(时移、伸缩、累加),将系统对任意激励的响应表示成系统对基本信号的响应的线性组合形式。分而治之的思想在其中得以体现。
那么,究竟选择怎么样的基本信号,成为了信号分解的关键问题。对于基本信号的选择标准,主要有以下三点:
- 本身应该尽可能的简单
- 其线性组合能够可以表示一类广泛的信号
- LTI系统对这种信号的响应要易于求得
对于连续信号\(x_i(t)\),一般有三种基本信号的分解方式可以选择\(\def\d{\mathrm{d}}\)
对于离散信号\(x_i(n)\),也有不少分解方式
在本章中,我们探讨的是时域上的信号分解,利用冲激信号\(\delta(t)\)的特性,来进行一般信号的表达。
信号的冲激信号分解
- 连续时间信号
设一面积为\(1\)的矩形窄脉冲\(\frac{1}{\tau}G_\tau(t)\),由第一章对冲激函数的定义可知,矩形窄脉冲的极限情况就是冲激信号。任意波形的连续时间信号\(x(t)\)可以纵向分割成许多相邻的矩形脉冲,如下图所示:

依据上图(b)的分解方式,设在\(\tau\)时刻被分解的矩形脉冲高度为\(x(\tau)\),宽度为\(\tau\),用阶梯曲线近似表示\(x(t)\)的表达式为
或者可以写成累加的形式
随着\(\tau\)不断减小,阶梯曲线越来越趋近曲线\(x(t)\)。当\(\tau\to0\)时,则
这时,\(\tau\to \d \tau\),离散变量\(k\tau\to\)连续变量\(\tau\),\(\lim_{\tau\to0}\frac{1}{\tau}G_\tau(t-k\tau)=\delta(t-\tau)\),离散的求和变成连续的积分
即任何连续时间信号\(x(t)\)都可以被分解成时移、 加权的单位冲激信号 \(\delta(t)\) 的线性组合。
- 离散时间信号
类似于任意连续时间信号\(x(t)\)都可以分解成无数个出现时间不同、强度不同的单位冲激信号\(\delta(t)\)的线性组合,任意离散时间信号\(x(n)\)也可以分解为无数个出现时刻不同、幅值或强度不同的单位冲激序列\(\delta(n)\)的线性组合,即
即任何离散时间信号\(x(n)\)都可以分解成时移、加权的单位冲激序列\(\delta(n)\)的线性组合。
信号的阶跃信号分解
- 连续脉冲信号
某些脉冲信号用奇异函数来表示会特别方便。例如门函数可以分解为两个阶跃信号的和,即
- 一般连续时间信号
按照下图的横向分解方式,可以用图中的折线近似表示任意连续时间信号\(x(t)\),则\(x(t)\)的近似表达式为
或者写成累加的形式
因为
取\(\tau\to0\),考虑到\(\lim\limits_{\tau\to0}\frac{x(k\tau)-x(k\tau-\tau)}{\tau}=\frac{\d x(\tau)}{\d\tau}\),则有
即任何连续时间信号\(x(t)\)都可以被分解成时移、 加权的单位阶跃信号\(\mathrm{u}(t)\) 的线性组合。

卷积积分与卷积和
关于卷积和可以先看看这个视频——【官方双语】那么……什么是卷积?
卷积并不是一个很反直觉的运算方式,其实竖式乘法计算也算一种卷积(?)
卷积积分
- 定义
设函数\(x_1(t)\)与\(x_2(t)\)的积分可以的呆第三个具有相同变量的函数\(x(t)\)
此积分称为卷积积分,式中\(x_1(t)*x_2(t)\)是两个函数相卷积的简写符号。
卷积计算可以使用两种方法:解析法和图解法。图解法一般由以下五步构成:
- 换元:将\(x_1(t)\)和\(x_2(t)\)的自变量\(t\)换为\(\tau\)
- 反折:将其中一个函数反折,如\(x_2(\tau)\)变为\(x_2(-\tau)\)
- 时移:让反折后的函数\(x_2(-\tau)\)向右时移\(t\),得到\(x_2(t-\tau)\)
- 相乘:将\(x_2(t-\tau)\)与x_1(t)$相乘
- 积分:计算\(x_1(t)\cdot x_2(t-\tau)\)的积分,得到\(t\)时刻曲线\(x_1(t)\cdot x_2(t-\tau)\)与横轴所百威的面积
我们也可以直观地感觉到,如果第一个信号的定义域范围为\((t_{11},t_{12})\),第二个信号定义域范围为\((t_{21},t_{22})\),那么卷积后的信号定义域范围应该是\((t_{11}+t_{21},t_{12}+t_{22})\)
- 性质
-
代数性质:卷积积分是一种线性运算,遵从交换律、分配律和结合律等运算法则
-
交换律:设有\(x_1(t)\)与\(x_2(t)\)两个函数,则
\[x_1(t)*x_2(t)=x_2(t)*x_1(t) \]这意味着两个卷积信号的位置可以发生改变,最后的结果不变。
-
分配律(并联):类似于乘法运算,卷积计算对加法具有分配律。设有\(x_1(t)\)、\(x_2(t)\)与\(x_3(t)\)三个函数,则
\[x_1(t)*[x_2(t)+x_3(t)]=x_1(t)*x_2(t)+x_1(t)*x_3(t) \] -
结合律(级联):设有\(x_1(t)\)、\(x_2(t)\)与\(x_3(t)\)三个函数,则
\[x_1(t)*[x_2(t)*x_3(t)]=[x_1(t)*x_2(t)]*x_3(t) \]在证明上式的时候,要进行积分次序的变换。先看\(x_2(t)\)与\(x_3(t)\)的卷积,此时的积分变量为\(\tau\)有
\[x_2(t)*x_3(t)=\int_{-\infty}^{\infty}x_2(\tau)x_3(t-\tau)\d \tau \]然后,\(x_1(t)\)再与上式卷积,如果此时的积分变量为\(\lambda\),由卷积定义可得
\[x_1(t)*[x_2(t)*x_3(t)]=\int_{-\infty}^{\infty}x_1(\lambda)[x_3(t-\lambda-\tau)\d \tau]\d \lambda \]在上式等号右边,相对于变量\(\tau\)来说,\(\lambda\)只是一个常数。引入新的积分变量\(\rho=\tau+\lambda\),则\(\d \tau = \d \rho\),代入上式右边的方括号内的积分式中得到
\[x_1(t)*[x_2(t)*x_3(t)]=\int_{-\infty}^{\infty}x_1(\lambda)[\int_{-\infty}^{\infty}x_2(\rho-\lambda)x_3(t-\rho)\d \rho]\d \lambda \]变换积分次序,并根据卷积定义得
\[x_1(t)*[x_2(t)*x_3(t)]=\int_{-\infty}^{\infty}[\int_{-\infty}^{\infty}x_1(\lambda)x_2(\rho-\lambda)\d \lambda]x_3(t-\rho)\d \rho=[x_1(t)*x_2(t)]*x_3(t) \] -
-
微分与积分性质
- 微分性质:卷积结果的微分等于两个参与卷积信号之一的微分与另一个信号的卷积,即
\[\frac{\d [x_1(t)*x_2(t)]}{\d t}=\frac{\d x_1(t)}{\d t}*x_2(t)=x_1(t)*\frac{\d x_2(t)}{\d t} \]这一关系可以用卷积的定义直接证明。同样,上式关系还可以推广到高阶微分
\[x^{(m)}(t)=x_1^{(m)}(t)*x_2(t)=x_1(t)*x_2^{(m)}(t) \]其中,\((m)\)表示函数的\(m\)阶导数,\(m\)为正整数。
- 积分性质:卷积结果的积分等于两个参与卷积信号之一的积分与另一个信号的卷积,即
\[\int_{-\infty}^{t}x_1(\tau)*x_2(\tau)\d\tau=x_1(t)*\int_{-\infty}^{t}x_2(\tau)\d\tau=\int_{-\infty}^{t}x_1(\tau)\d\tau*x_2(t) \]这一关系也可以用卷积的定义直接证明,同样可以推广到多重积分
\[x^{(-m)}(t)=x_1^{(-m)}(t)*x_2(t)=x_1(t)*x_2^{(-m)}(t) \]其中,\((-m)\)表示函数的\(m\)重积分,\(m\)为正整数。
- 微分-积分性质(有使用条件):
\[\frac{\d x_1(t)}{\d t}*\int_{-\infty}^tx_2(\tau)\d\tau=\int_{-\infty}^{t}x_1(\tau)\d\tau*\frac{\d x_2(t)}{\d t}=x_1(t)*x_2(t) \]这一个性质为卷积计算提供了一个新的方法,使得卷积计算更加方便。
设\(y(t)=x(t)*h(t)\),那么卷积积分的微分-积分性质可以归结为一般表达式:
\[y^{(m+n)}(t)=x^{(m)}(t)*h^{(n)}(t)\quad(m,n为整数) \]如果按照上面的式子求解,所有的\(f(t)=x(t)+C\)与\(h^{(-1)}(t)\)卷积的结果均相同,这显然是错误的。微分-积分性质有应用条件的限制:
\[若\quad y(t)=x^{\prime}(t)*h^{(-1)}(t) \]\[则要\quad x(-\infty)=0\,或\int_{-\infty}^{\infty}h(t)\d t=0 \]\[若\quad y(t)=x^{(-1)}(t)*h^{\prime}(t) \]\[则要\quad h(-\infty)=0\,或\int_{-\infty}^{\infty}x(t)\d t=0 \]这个条件不是时时刻刻都能满足的。因此,想要利用微分-积分性质,一般都需要通过\(\pm\)常数的形式,构造出待求导函数\(x(-\infty)=0\).
另外,如果一个信号与常数卷积,有以下公式
\[C*x(t)=C\int_{-\infty}^\infty x(\tau)\d \tau \] -
与奇异信号的卷积
- 信号\(x(t)\)与单位冲激信号\(\delta(t)\)的卷积
\[x(t)*\delta(t)=x(t) \]证明:
\[x(t)*\delta(t)=\int_{-\infty}^{\infty}x(\tau)\delta(t-\tau)\d \tau=\int_{-\infty}^{\infty}x(t)\delta(\tau-t)\d \tau\\ =x(t)\int_{-\infty}^{\infty}\delta(\tau-t)\d \tau=x(t) \]结合微分性质,还可以得到以下式子
\[x(t)*\delta^{\prime}(t)=x^{\prime}(t) \]这表明,在卷积积分运算中,冲激偶相当于一个微分器。还有一般的形式
\[x(t)*\delta^{(m)}(t)=x^{(m)}(t)\\ x(t)*\delta(t-t_0)=x(t-t_0) \]在卷积积分运算中,\(\delta(t-t_0)\)相当于一个延迟器。
- 信号\(x(t)\)与单位阶跃信号\(\mathrm{u}(t)\)的卷积
\[x(t)*\mathrm{u}(t)=\int_{-\infty}^{t}x(\tau)\d\tau=x^{(-1)}(t) \]即 \(x(t)\)与\(\mathrm{u}(t)\)的卷积等于\(x(t)\)的积分,换言之,在卷积运算中,\(\mathrm{u}(t)\)等效于一个积分器。
- 延时性质:设\(x(t)=x_1(t)*x_2(t)\),那么
\[x_1(t-t_1)*x_2(t-t_2)=x(t-t_1-t_2) \]即两个信号延时后的卷积,等于两个信号卷积后的延时,延时量为两个信号各自的延时量之和。
卷积的性质可以归纳为:
- 卷积结果所得到的函数比参与卷积的两个函数中的任意一个函数都平滑,即高低起伏被削弱或消除,意味着信号的细节、精细结构被模糊或消除,这一性质称为卷积运算的平滑效应。
- 卷积结果所得函数的宽度等于参与卷积的各函数的宽度之和,这一性质称为卷积的展宽效应。
- 多个函数的卷积结果比任意一个被卷的个别函数还要平滑得多。当卷积的函数较多的时候(大于十个),卷积结果趋于高斯函数
- 特殊情况下,有些函数之间的卷积既无展宽效应,也无平滑效应,如
- 解析法对于易求积分的函数较有效,如指数函数、多项式函数等;图解法特别适合求某时刻点上的卷积值。
下图是书本上的一些常用函数卷积积分

根据我的做题经验,下面这些也会常用一点
卷积和
- 定义
设有两个序列\(x_1(n)\)与\(x_2(n)\),满足如下形式的累加和
称上式为序列\(x_1(n)\)与\(x_2(n)\)的卷积和。这种依据定义求解卷积和的方法亦称为解析法。
- 性质
和卷积积分类似,卷积和也满足类似的性质
-
代数性质
- 交换律:
\[x(n)*h(n)=h(n)*x(n) \]- 分配律:
\[x(n)*[h_1(n)+h_2(n)]=x(n)*h_1(n)+x(n)*h_2(n) \]- 结合律:
\[[x(n)*h_1(n)]*h_2(n)=x(n)*[h_1(n)*h_2(n)] \] -
与冲激函数和阶跃函数的积分
- 函数\(x(n)\)与单位冲激序列\(\delta(n)\)的卷积
\[x(n)*\delta(n)=x(n) \]- 函数\(x(n)\)与单位阶跃序列\(\mathrm{u}(n)\)的卷积
\[x(n)*\mathrm{u}(n)=\sum_{m=-\infty}^{\infty}x(m) \]即\(x(n)\)与\(\mathrm{u}(n)\)的卷积等于\(x(n)\)的累加。
- 延时性质:设\(x(n)=x_1(n)*x_2(n)\),有
\[x_1(n-n_1)*x_2(n-n_2)=x(n-n_1-n_2) \]即两个信号延时后的卷积等于两个信号卷积后的延时,延时量等于两个信号各自的延时量之和。
对于有限项的离散序列做卷积,我们还有一种特别的方法:不进位乘法。可以通过以下示例来习得这种方法:




下图是书本上的一些常用序列卷积和

连续线性时不变系统的时域分析
LTI系统的数学模型
任何元件或系统实际上都是很复杂的,难以进行精确、全面地描述。为了分析问题,我们会将该元件或系统进行简化,简化后的元件或系统称为物理模型。而物理模型的数学描述被称为数学模型,即数学模型是指描述系统输入、输出以及内部各变量之间动态关系的数学表达式。从实际系统中抽象出系统数学模型的过程被称为数学建模。(实际模型\(\to\)物理模型\(\to\)数学模型)
为了实现数学建模,一般进行以下四个步骤:
- 根据系统工作的因果关系,确定输入量、输出量以及中间变量;
- 根据系统工作所依据的物理定律,列出原始方程;
- 消去中间变量,写出表示系统输入输出关系的方程;
- 方程标准化。
这门课程多以基本电路系统为例,进行讨论。
在基本电路系统中,有一系列理想元件,比如:
- 电阻
- 电容
- 电感
以及两个基尔霍夫定律
- 基尔霍夫电流定律KCL:流入(出)节点的电流的代数和为零;
- 基尔霍夫电压定律KVL:回路中所有电压(降)的代数和为零
换路定理
- 动态元件具有储能作用,因此在电路的结构或者元件的参数发生变化和换路的时候,电容的端电压和电感的端电流是不能突然改变的。也就是说,在换路的瞬间,可以把电容看作开路(使用条件:换路时流经电容的电流为有限制),把电感看作短路(使用条件:换路时电感上的电压为有限值)。
准备工作完毕,我们来看下面这个基本的电路

由电路结构及KVL定律得
设\(u_s(t)=x(t)\),\(u_C(t)=y(t)\),带入上式整理得
方程标准化有以下四点规范
- \(x(t)\)在等号右边;
- \(y(t)\)在等号左边;
- 求导阶数降序排列;
- \(y(t)\)最高阶系数为1.
将上式方程标准化为
还有不少的示例可以看出,这样的物理模型具有相同的数学模型,都是线性常系数微分方程。
推广到一般情况,对于单输入-单输出线性系统,其激励与响应之间的关系总可以表示为一个高阶线性微分方程:
如果系统是时不变的,那么方程系数\((a_i,b_j)\)均为常数,方程为\(n\)阶常系数线性微分方程。其中
连续线性时不变系统的经典解法
对于一般LTI连续系统的数学模型,也可以写成以下形式
该微分方程的全解(又叫全响应)分为两部分,一是与该方程相应的齐次方程的齐次解,记作\(y_h(t)\);另一个是满足非齐次方程的特解,极为\(y_p(t)\)
- 齐次解
齐次解满足上式等号右边的激励及其各阶导数均等于零的齐次方程,即
设特征根为\(\lambda_i(i=1,2,\cdots,n)\),特征方程为
齐次解的形式由特征根来决定,如特征根\(\lambda_1,\lambda_2,\cdots,\lambda_n\)是互不相等的单根(包括单实根和共轭复根),则齐次解单形式为
其中,\(A_i(i=1,2,\cdots,n)\)为待定系数。\(\lambda_1,\lambda_2,\cdots,\lambda_n\)也叫做系统的自然频率或固有频率。
在有重根的情况下,齐次解的形式将有所不同,对于某一个有\(r\)阶的重根\(\lambda_l\),在齐次解中应有如下形式
这边要特别强调一下,齐次解与激励型号的形式无关,它只依赖于系统的特征。因此,齐次解称为系统的自由响应,不过待定系数\(A_i(i=1,2,\cdots,n)\)与激励信号有关。
- 特解
特解就是非齐次方程的解,是指满足输入条件的方程的一个解,特解的形式由激励的形式来确定,因此特解又称为受迫响应或强迫响应。一些典型激励函数对应的特解形式见下表

- 全解
微分方程的全解等于齐次解与特解之和,或全响应等于自由响应与受迫响应之和,即
假设激励信号在\(t=0\)时刻加入,即\(x(t)=x(t)\mathrm{u}(t)\).在激励接入之前的瞬时\((t=0_-)\)系统的状态称为初始状态(或\(0_-\)状态),即\(t=0\)时刻前系统的一切记忆在初始状态中,与激励无关。\(0_+\)条件(或初始条件)是指在激励接入之后的瞬时\((t=0_+)\)系统的状态,这时输入信号起作用,改变了系统的状态与输出。
一般情况下,系统微分方程的全解满足的时间区间为\(0_+<t<\infty\),因而确定解的边界条件为\(y^{(k)}(0_+)\),而不是\(y^{(k)}(0_-)\).
注意:用经典解法时不需要加上\(\mathrm{u}(t)\),因为\(u(t)\)是输入的时间条件,即给定了特解的时间约束条件。
对于稳定系统而言,系统的全响应还可以分为暂态响应与稳态响应两个部分:暂态响应在\(t\to\infty\)时衰减为零;稳态响应则为常数或等幅震荡形式,常用\(y_w(t)\)来表示。
零输入响应和零状态响应
经典解法方便从物理方面说明各响应分量之间的关系,但是往往需要根据系统的初始状态(\(0_-\)状态)和输入信号确定系统的\(0_+\)条件,计算极为繁琐;此外,如果系统的激励信号较为复杂,特解的形式也不容易确定,使经典解法求解变得极为困难。在近代系统分析中,引入了更为广泛的分解形式,即把全响应分为零输入响应和零状态响应,基于卷积计算的分析方法便无需计算系统的\(0_+\)条件,可以直接通过卷积计算求得系统的零状态响应,使得分析过程直接而方便。线性系统的全响应可以分解为零输入响应与零状态响应之和,即
依旧假设激励型号于\(t=0\)时刻加入。
- 零输入响应
系统的零输入响应\(y_{zi}(t)\)是指外加激励为零时,只由初始状态(初始时刻系统储能)作用于系统所产生的响应。在零输入条件下,因满足
即化为齐次方程。零输入响应具有齐次解相似的形式,但是零输入响应的待定系数由初始状态确定,而齐次解的待定系数由初始状态与外加激励共同确定。换言之,初始状态为零时,零输入响应为零,齐次解并不为零。零输入响应只是齐次解的一部分。
- 冲激响应与阶跃响应
在讨论系统的零状态响应之前,首先要定义一下系统的单位冲激响应(简称冲激响应),和单位阶跃响应(简称阶跃响应),分别记作\(h(t)\)与\(g(t)\)。
单位冲激响应是指激励信号为单位冲激信号\(\delta(t)\)时系统的零状态响应,即零初始状态条件下,将输入信号换成\(\delta(t)\)所记录的输出,就是冲激响应\(h(t)\).即
单位阶跃响应是指激励信号为单位阶跃信号\(\mathrm{u}(t)\)时系统的零状态响应,记为\(g(t)\),则
依据线性时不变系统的微分、积分特性可知,冲激响应与阶跃响应互为导数与积分。
冲激响应和阶跃响应完全由系统的自身特性决定。下面只讨论一下冲激响应的求法,利用冲激函数匹配原则。
对于下式所表示的线性系统微分方程的一般形式
设初始状态为零,当系统的激励信号\(x(t)=\delta(t)\)时,响应\(y(t)\)极为系统的冲激响应\(h(t)\),即
我们先从最简单的一阶微分方程冲激响应解的形式来进行分析,微分方程如下
依据冲激函数的定义可知,当\(t>0\)时,\(\delta(t)=0\),上式会变成一个齐次方程,所以冲激响应\(h(t)\)应具有其次解的形式。对于上式,特征根\(\lambda=-a_0\),则冲激响应应具有\(A_he^{-a_0t}\)的形式,其中\(A_h\)为待定系数。
利用阶跃信号与冲激信号的微积分关系可知,如果\(h(t)\)中含有\(\mathrm{u}(t)\)项,则\(h^\prime(t)\)中必定含有\(\delta(t)\)项,\(h^{\prime\prime}(t)\)中必定含有\(\delta^\prime(t)\)项\(\cdots\,\cdots\)以此类推。由于等号右边含有冲激函数\(\delta(t)\)项,依据冲激函数匹配准则,等号左边\(h(t)\)的最高阶导数\(h^\prime(t)\)也应含有冲激函数\(\delta(t)\)项,第二项\(h(t)\)中应含有\(\mathrm{u}(t)\)项,我们可以设冲激响应\(h(t)\)为
为了保持系统对应的微分方程式恒等,方程两端所具有的冲激信号及其导函数必须相等,也就是对应次数前面的系数要相互匹配,这样就可以确定待定系数\(A_h\).
冲激响应的形式与零输入响应的形式有些相似,这并非偶然。这是因为,冲激响应所对应的系统是冲激信号作为激励信号时的零状态响应,冲激信号只在\(t=0\)时存在,系统在这一瞬间输入了若干能量,储存在系统的储能元件里,所以响应就由上述储能的状态唯一确定。只是在零输入响应中,各项待定系数由初始状态确定;而在冲激响应中,各项系数可以将解代回原方程,通过比较方程两端的对应项系数确定。
再分析衍生的一阶微分方程冲激响应解的形式
同样一句冲激函数的定义可知,当\(t>0\)时,等式右边冲激函数及其导数均为零,变为一个齐次方程所以冲激响应具有齐次解的形式。又依据冲激函数匹配准则,由于等式右边包含\(\delta^\prime(t)\),故等式左边\(h(t)\)的最高阶导数\(h^\prime(t)\)中应含有\(\delta^\prime(t)\)项,所以\(h(t)\)中应含有\(\delta(t)\)项,可以设冲激响应为
比较对应项的系数,即可解除待定系数。
对于如下一阶微分方程
可以如法炮制,其冲激响应解的形式可以表示为
如此可推广到更高阶的系统。综上所述,我们可以根据给出微分方程式两边的微分阶次\(m\)和\(n\)的相对大小,直接写出系统冲激响应解\(h(t)\)的形式。
设下述方程式的特征根为\(\lambda_1,\lambda_2,\cdots,\lambda_n\)为互不相等的单根
- 如果\(n>m\),则冲激响应解\(h(t)\)的形式为
- 如果\(m\geq n\),记\(m=n+k\),其中\(k\)为正整数,则系统冲激响应解\(h(t)\)的形式为
式中的待定系数\(A_{hi}\,(i=1,2,\cdots,n)、B_j\,(j=1,2,\cdots,k)\)根据冲激函数匹配准则确定。
- 零状态响应
系统的零状态响应是指初始状态为零时,由外加激励作用于系统所产生的响应。求解零状态响应的方法除经典解法外,还有卷积解法。卷积运算的原理就是把复杂信号分析简单化,将线性系统输入的连续时间信号分解为冲激信号的和,利用线性时不变响应,可以求得线性系统对任意激励信号的零状态响应。
有了前面知识的学习,我们已知道,任意连续时间信号\(x(t)\)都可以被分解为时移加权的单位冲激信号\(\delta(t)\)的线性组合,结合卷积的性质有
信号通过系统的零状态响应为
又因为
根据系统的时不变性,有
由系统的线性特性,有
即线性时不变系统的零状态响应等于激励信号与单位冲激响应的卷积积分。
这意味着对于线性时不变系统,只要求出\(h(t)\),就可根据系统的线性与时不变性质得到任意激励信号\(x(t)\)作用下系统的零状态响应\(y_{zs}(t)\).
- 全响应不同分解方法之间的关系
可以用这道书本例题学习一下


系统的零输入响应时自由响应的一部分,零输入响应和零状态响应中的齐次解部分合起来构成总的自由响应。受迫响应中随时间增长而衰减消失的部分也是暂态响应的一部分,随时间增长仍然存在并区域稳定的部分则是稳态响应。
下面这个图可以总结以上关系
离散线性时不变系统的时域分析
离散线性系统的数学模型
在许多实际问题中,尤其是经济管理方面,变量时定义在整数集上的序列形式,比如银行的定期存、贷款是按照设定的时间等间隔计息。描述个离散变量之间关系的数学模型称作离散型模型,分析求解这种模型就可以得到各离散型变量的运行规律。
根据课堂与生活经验可知,虽然线性时不变;离散系统的内容各不相同,但描述离散时间系统的数学模型是差分方程,其一般形式如下
\(N\)阶后项差分方程:
或\(N\)阶前项差分方程:
求解线性常系数差分方程的时域分析方法有迭代法、经典解法和零状态响应的卷积解法。
迭代法
故名思义,就是通过递推表达式,一步步求解出任意项的数值解,看完下面这道例题就能学会

差分方程总可以用迭代法来求解,思路清晰,方法简便,特别易于编程,但这种方法一般不容易得到差分方程完整的闭式解,我们多用迭代法来求解系统所需要的边界条件。
离散线性时不变系统的经典解法
如果离散线性时不变系统的激励为\(x(n)\),响应为\(y(n)\),则描述离散线性时不变系统的数学模型就是如下形式的\(N\)阶常系数线性差分方程。差分方程的时域经典解法与微分方程的时域经典解法类似,步骤如下:
- 写出与该方程相对应的特征方程,求出特征根,并写出齐次解的通式;
- 根据原方程右端激励函数的形式,写出特解的通式,然后将解带入原方程求出待定系数,确定特解;
- 写出原方程全解的一般形式(即齐次解+特解);
- 带入全解的边界条件,确定齐次解的待定系数值
- 齐次解
齐次解就是输入为零时差分方程的解,差分方程对应的齐次方程形式为
设特征根为\(\lambda_i(i=1,2,\cdots,N)\),特征方程为
或
特征方程为\(N\)次一元方程。
首先分析一阶差分方程齐次解的形式,下式是简单的一阶差分齐次方程
也可以写成
也就是说,序列\(y(n)\)是一个公比为\(-a_1\)的等比数列,齐次解\(y_h(n)\)有如下形式
其中,\(A\)为待定系数,由边界条件决定,公比\(-a_1\)是该一阶系统式的特征根。即齐次解的形式依是由齐次方程的特征根确定。
如果特征根为互不相等,则齐次解的形式为
其中,\(A_1,A_2,\cdots,A_N\)是由边界条件决定的待定系数;\(\lambda_1,\lambda_2,\cdots,\lambda_N\)是特征方程的各不相同的单根,\(\lambda_1,\lambda_2,\cdots,\lambda_N\)又叫作系统的自然频率或固有频率。
在特征根有重根的情况下,齐次解的形式将有所不同。对于某个有\(r\)阶重根\(\lambda_l\),对应的齐次解应包含
齐次解与激励信号的形式无关,但系数\(A_1,A_2,\cdots,A_n\)与激励信号有关。
- 特解
特解是指满足输入条件的差分方程的任意一个解,并不唯一。通常假设输出是与输入相同的一般函数形式,将假设的特解代回原差分方程,求得特解函数式中的待定系数即可求出特解。典型激励函数对应的特解形式如下表所示

- 全解
全解等于齐次解加上任意一个特解,即
其中齐次解由方程确定,含待定系数;特解由方程和输入信号完全确定;最后利用给定的边界条件确定齐次解中的待定系数,便可得到差分方程的全解。
注意,如果激励信号在\(n=0\)时加入,则边界条件是指\(y(0),y(1),\cdots,y(N-1)\),也可以由\(y(-1),y(-2),\cdots,y(-N)\)迭代获取。全解只对\(n\geq 0\)有效。
具体过程可以参考以下例题


用经典解法求解时,可以将全解分成两个部分,一部分由特解组成,这部分解的形式取决于激励的形式,称作受迫响应;另一部分解的形式由差分方程的特征根决定,称作自由响应。
要注意的是,求齐次解的待定系数时,一定要用加入激励后全解的边界条件。
零输入响应和零状态响应
与连续系统的时域分析类似,线性时不变系统的全响应除了可以分为自由响应和受迫响应外,还可以分解为零输入响应和零状态响应。
- 零输入响应
零输入响应是指激励为零时仅由初始状态引起的响应,用\(y_{zi}(n)\)表示。激励\(x(n)=0\)时,数学模型式的\(N\)阶常系数线性差分方程变成齐次方程,显然零输入响应的形式与齐次解的形式相似。
需要注意的是,求零输入响应的系数时,应代入零输入的边界条件,也就是代入激励加入之前系统初始状态的一组数据。
离散系统初始状态的时刻,可以通过下面这道例题的方法来判断


零输入响应时系统无外加激励时的响应,其形式完全由系统结构(特征根)决定。虽然自由响应与零输入响应都是齐次解的形式,但它们的系数并不相同,零输入响应的待定系数仅由系统的初始状态决定,而齐次解的待定系数是由初始状态和激励共同决定的。换言之,初始状态为零时,零输入响应为零,但齐次解并不为零。零输入响应只是齐次解的一部分。
- 冲激响应与阶跃响应
在对连续系统进行分析时,为求零状态响应引入了单位冲激响应\(h(t)\)的概念,然后用\(y_{zss}(t)=x(t)*h(t)\)的卷积方法获取零状态响应。
单位冲激响应\(h(n)\)是指激励信号为单位冲激序列\(\delta(n)\)时系统的零状态响应;单位阶跃响应是指激励信号为单位阶跃序列\(\mathrm{u}(n)\)时系统的零状态响应,用\(g(n)\)表示。依据线性时不变系统的特性可知,冲激响应和阶跃响应互为差分和累加的关系。以下只讨论冲激响应的求法。
如果差分方程的阶数\(N=0\),我们可以得到
其冲激响应为
由于\(h(n)\)是有限长序列,称其为有限冲激响应(FIR)滤波器。
如果差分方程的阶数\(N\neq0\),其冲激响应为
先探究最简单的一阶差分系统的单位冲激响应
因为零状态响应在\(h(-1)=0\),由迭代法可递推得到
由于\(h(n)\)是无限长序列,称其为无限冲激响应(IIR)滤波器。
一般\(N\)阶系统冲激响应的求解过程:假设冲激响应方程式右端只有单一冲激激励,求出单一冲激激励时系统的冲激响应,用\(h_0(n)\)表示;然后根据系统的线性、时不变性求解系统的冲激响应\(h(n)\),化简如下
由于\(n>0\)时,\(\delta(n)=0\),进一步化简成为齐次方程,所以\(h_0(n)\)形如齐次解,即在无重根的情况下
其中\(A_{hi}\)为待定系数,需要\(N\)个边界条件来确定,当\(n=0\)时
得\(h_0(0)=1\),考虑到冲激响应是冲激序列\(\delta(n)\)作用于系统的零状态响应,可以得到\(N\)个边界条件.......
博主自己还没有学明白这一块,容我再看看,逃(
系统的模拟与特性、FT引言
模拟框图
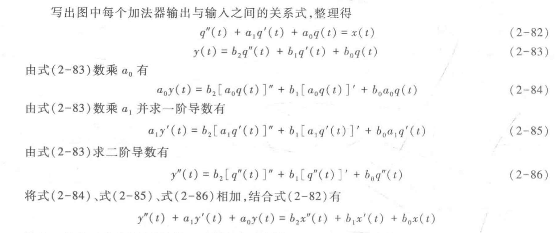
下图是一些常见的基本运算单元,通过适当的组合与连接,就可以得到复杂的系统模拟框图。

我们通常假设已经得到了最终求导后的量,再用积分器来得到各阶信号。这样表达是因为积分器更加稳定。
当出现两个及以上的累加器的时候,需要引入中间变量。一般游离在积分器附近,可以根据与积分器的距离,推断出中间变量的阶数。
实际上只用做一两道例题就能大概掌握这种表达形式了,这边挑一道课本习题

博主是凭借感觉直接记过的,\(x(t)\)对面的中间变量系数就是\(y(t)\)的,反之也是。如果实在没把握推导一下也行,逐个消除多余的项

本征函数
如果一个函数送入一个系统,输出响应仍然保持着原来的形式,只是幅值产生变化,或者相位产生延迟,即此时输出函数与输入函数直接相差复常数倍,这样的函数就是本征函数,对应复常数倍又称为本征值。

对于一般连续LTI系统,当激励为复指数信号\(x(t)=e^{s_0t}\,(s_0=\sigma_0+j\omega_0,-\infty<t<\infty)\)时,系统的零状态响应为
即
复指数信号\(x(t)=e^{s_0t}\,(s_0=\sigma_0+j\omega_0,-\infty<t<\infty)\)是连续LTI系统的本征函数。
当\(s\)是一般复数时,其加权的复常数\(H(s)\)称为系统的转移函数,或系统函数,而且加权复常数或本征值\(H(s)\)与系统冲激响应的关系是
\(H(t)\)与\(h(t)\)之间的关系便是我们之后要学习的域变换——拉普拉斯变换。
如果复变量\(s_0\)中的\(\sigma_0=0\)时,激励为\(x(t)=e^{j\omega_0 t}(-\infty<t<\infty)\)的信号作用于连续LTI系统,系统的零状态响应为
即
虚指数信号\(x(t)=e^{j\omega_0 t}(-\infty<t<\infty)\)也是连续LTI系统的本征函数。当\(\omega\)是一般角频率时,其加权的复常数\(H(\omega)\)称为系统的转移函数、系统函数,或者频率响应,而且\(H(\omega)\)与系统冲激响应的关系是
这就是之后马上要学习的域变换——傅立叶变换。
对于离散LTI系统,当激励信号为复指数信号\(x(n)=z_0^n\,(-\infty,\infty)\)时,系统的零状态响应为
即
复指数序列\(x(n)=z_0^n\,(-\infty<n<\infty)\)是离散LTI系统的本征函数。
当\(z=|z|e^{j\Omega}\)是一般复数时,其加权的复常数\(H(z)\)称为系统的转移函数,或者说系统函数。
\(H(n)\)与\(h(n)\)之间的关系就是之后也要学习的第三种域变换——\(z\)变换。
如果复变量\(z_0\)的模量\(|z_0|=1\)时,激励为\(x(n)=z_0^{n}=e^{j\Omega_0(n-m)}\,(-\infty<n<\infty)\)的虚指数信号作用于离散LTI系统,系统的零状态响应为
即
这也就是我们要学习的另外一种域变换——离散时间傅立叶变换。
系统特性
这一段没什么好说明的暂时,先写上纲要。
- 交换律性质
- 分配律性质:设\(h(\cdot)=h_1(\cdot)+h_2(\cdot)\),则有
若干子系统并联时,总系统的系统特性等于各个子系统系统特性之和。
- 结合律性质:设\(h(\cdot)=h_1(\cdot)*h_2(\cdot)\),则有
时域中,若干子系统级联连接时,总系统的系统特性等于各个子系统系统特性的卷积。
以下是一些常见的系统特性
- 即时性/无记忆:输出仅取决于当前时刻的输入值
- 因果性:响应不会超前与激励出现
- 稳定性:输入有界,输出也有界
- 可逆性:存在逆系统\(h_1(\cdot)\),与原系统级联后的输出时原系统的输入

浙公网安备 33010602011771号