测试
数据结构 学习数据的存储与组织方法
数组、链表、栈、队列、树、图
用程序代码把现实情况的问题信息化
三方面:逻辑结构、物理结构、数据的运算
补一下C语言
关键字不能作为标识符
数据类型
- 基本类型
- 构造类型
- 指针
- 空类型
基本数据类型 - xxxxxxxxxx CREATE VIEW tot_credits(year,num_credits) AS SELECT year,sum(credits)FROM takesJOIN course ON takes.course_id = course.course_idWHERE takes.grade IS NOT NULL AND takes.grade = 'F'GROUP BY takes.course_idsql
- 浮点型(实型)
- 字符型
输入和输出在库#include <stdio.h>
算法的时间、空间复杂度
字面意思orz
线性表linearList
具有相同数据类型的数据元素组成的有限序列,表示形式为
\(L = (a_1,a_2,\cdots,a_i,a_{i+1},\cdots,a_n)\)
注意,位序\(i\)从1开始,数组下标从0开始
操作:
empty():空true,否则返回falsesize():返回线性表的大小(表元素的个数)get(index):返回线性表中索引为index的元素indexOf(x):返回线性表中第一次出现x的索引;如果不存在,返回-1erase(index):删除索引为index的元素,索引大于index的元素其索引全部减1insert(index,x):把x插入线性表中索引为index的位置上,再将index及其之后的元素索引全部加1output():从左往右输出表元素
顺序表(数组)
用顺序存储的方式来实现线性表
- 优点:可随机存取,存储密度高
- 缺点:要求大片的连续空间,且改变容量不方便
顺序表的插入
- 判断\(i\)的范围是否有效,存储空间是否已满
- 将第\(i\)个元素及其以后的元素全部后移一位
- 插入新元素\(j\)
- 线性表长度加\(1\)
时间复杂度\(O(n)\)
顺序表的删除
- 判断\(i\)的范围是否有效
- 将被删除的元素赋值给顺序表之外的空间\(e\)
- 将第\(i\)个位置后的元素全部前移\(1\)位
- 线性表长度减\(1\)
时间复杂度\(O(n)\)
顺序表的查找
(1)按位查找
所有数据元素都是连续存放的,且大小全部相等。只需知道起始地址和数据大小,便可即时找到任意一个。
时间复杂度\(O(1)\),这就是“随机存取”的特性
(2)按值查找,找到第一个元素值喂\(e\)的元素,并返回其位序
时间复杂度\(O(n)\)
链表
用链式存储的方式来实现线性表
- 优点:不要求大片的连续空间,改变容量也很方便
- 缺点:不可随机存取,要耗费一定空间存放指针
单链表的插入
(1)按位序插入
I 带头结点,在第\(i\)个位置插入指定元素\(e\),先判断插入语句是否合法,不允许\(i = 0\)
- 找到第\(i - 1\)个节点
- 将第\(i - 1\)这个节点的指针连接上\(e\)所在的这个新节点
- 将\(e\)所在的新节点的指针连接上第\(i\)个节点
时间复杂度\(O(n)\)
II 不带头节点,则插入、删除第\(1\)个元素需要更改头节点指针\(L\),写起来更麻烦
指定节点的插入
指定节点的后插操作都可以用循环找到并实现,那么怎么进行前插操作呢,见下图,连接新节点,让数据“跑路”



简直就是偷天换日啊,时间复杂度\(O(1)\)
单链表的删除
- 找到第\(i-1\)个节点
- 将这个节点的指针指向第\(i+1\)个节点
- 释放第\(i\)个节点
时间复杂度\(O(n)\)
同样的,如果不带头节点要删除第\(1\)给元素,还要进行特殊操作,很麻烦,所以还是带上头节点把www
指定节点的删除
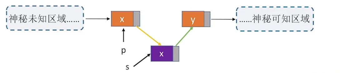
同样的问题发生了,删除指定节点\(p\),还需要修改其前驱节点的next指针,对于前面未知且神秘的区域来说,该如何找到前驱节点呢
类比前插操作的实现,先将下一个节点\(q\)的元素复制进指定节点\(p\)


这样就实现了指定节点\(p\)的删除
单链表的查找
循环链表和头节点
在链表的前面加一个头节点,再将链表的尾节点与头节点相连,这样单项链表就成为了一个循环链表
经常对表头、表尾操作时,非常方便
双向链表
在后继指针的基础上,再添加前驱指针,就成为了一个双向链表
静态链表
静态链表分配一整片连续的内存空间,各个节点集中安置
顺序表(数组)与链表的对比
- 逻辑结构:都属于线性表,都是线性结构
- 存储结构:
顺序表:顺序存储,只需要知道起始地址,就可以立即找到第\(i\)个位置,支持随机存储,存储密度高;但大片连续空间分配不是很方便,且改变容量也比较麻烦
链表:离散的小空间分配方便,改变容量方便;但不可以随机存储,且存储密度低 - 基本操作:创销、增删改查
顺序表:预分配大片的连续空间;Length=0,静态回收、动态回收;插入/删除所有后继元素前移O(n);按位查找O(1),按值查找无序O(n),如果元素有序O
(log n),滴滴跳表
链表:申明头指针(和头节点);依次删除节点;插入/删除只需修改指针;查找永远O(n)


栈stack
逻辑结构、物理结构(存储结构)、数据的运算
栈是一种只允许一端进行插入或删除的线性表(整齐的一堆),后进先出(LIFO),叠碗盘子,烤串!

基本操作:
empty():空true,否则返回falsesize():返回栈中的元素个数top():返回栈顶元素pop():删除栈顶元素push(x):将元素x压入栈顶
考题:进栈、出栈顺序,卡特兰(Catalan)数\(\frac{1}{n+1}C_{2n}^{n}\)
记得分配一个栈顶指针!如下图top(),top== -1

插入/删除时,top也要+1 / -1
队列queue
队列是一种只允许在一端进行插入,在另一端进行删除的线性表,先进先出(FIFO),排队,食堂打饭!

基本操作:
empty():空true,否则返回falsesize():返回队列中的元素个数front():返回队列头元素back():返回队列尾元素pop():删除队列首元素push(x):把元素x加入队尾


双端队列


树tree
树的概念

再次强调:除了根节点之外(它没有前驱),任何一个节点都有且仅有一个前驱!
补充一下子树的概念:

有点像文件夹,子标题,思维导图,俄罗斯套娃(
- 基本术语
节点之间的关系描述术语来源于家谱,截了一张图

对于“你”来说,父亲、爷爷都是祖先节点;对于“爷爷”来说,下面全部节点都是子孙节点;对于“你”来说,直接前驱“父亲”就是双亲节点(父节点);对于“父亲”节点来说,直接后继“你”和“F”就是孩子节点;“二叔”、“三叔”是“父亲”的兄弟节点;“G”"H"“I”“J”就是“你”的堂兄弟节点(这个不怎么用)
实在学不会可以听这首歌:
下面再来看几个非常非常重要的概念:

有序树和无序树的概念,只要弄明白此排名有无分先后即可:

最后介绍一下森林,森林是由\(m(m \geq 0)\)棵互不相交的树组成的集合,如果把一棵树用作对一户人家的家谱的数据描述,那么就可以用森林来进行对全中国所有人家的家谱的数据描述
注意,允许有一棵树都没有的森林,也就是空森林的存在
树的性质
-
节点数 = 总度数 + 1
加一是因为根节点哦,其他的节点头上都有一根线相连 -
度数为\(m\)的树 vs \(m\)叉树

-
度数为\(m\)的树第\(i\)层至多有\(m^{i-1}\)个节点\((i \geq 1)\)
emmmm,比较明显的数学推理(? -
高度为\(h\)的\(m\)叉树至多有\(\frac{m^h - 1}{m - 1}\)个节点
由性质3推导出来的,使用等比数列求和 -
至于最少有多少个节点嘛
如果是高度为\(h\)的\(m\)叉树,那就是一条完全线性结构,至少有\(h\)个节点;如果是高度为\(h\)、度为\(m\)的树,那就要满足至少有一层含有\(m\)个节点,其他的同理
高度为4、度为3的树,最少节点数:\(4-1+3 = 6\);高度为4的三叉树,最少节点数为:4

-
具有\(n\)个节点的\(m\)叉树的最小高度应为:\([log_m (n(m-1)+1)]\)
尽可能往宽里面长,结合之前的性质3,以及树的性质,推导过程:

二叉树
二叉树是一种由\(n(n \geq 0)\)个节点组成的有限集合,一般可以分为两类:
- \(n = 0\)空二叉树
- 由一个根节点和两个互不相交的左子树和右子树组成,其中左子树右子树它们又分别都是一颗二叉树
这不还是一种递归定义嘛
有两个特点: - 每个节点至多只有两棵子树
- 二叉树是有序树,左右不可以颠倒!
二叉树的五种状态:

下面介绍几个特别的二叉树类型:
满二叉树 & 完全二叉树

可以理解为,完全二叉树是满二叉树的一种子集,去掉了最大的若干个元素
对于完全二叉树来说,如果一个节点有孩子,那么这个孩子一定是左孩子,不然就不是完全二叉树
二叉树描述
数组描述
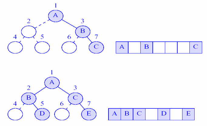
完全二叉树:按照二又树对元素的编号方法,将二叉树的元素存储在数组中。

而二叉树就可以看作是部分元素缺失的完全二叉树,在对应索引位置上留空。

所以,一个有n个元素的二叉树需要的存储空间:\(n \to 2^n + 1\),当出现右斜,二叉树存储空间达到最大。
链表描述

二叉树遍历方法
- 前序遍历:访问根元素;前序遍历左子树;前序遍历右子树
- 中序遍历:中序遍历左子树;访问根元素;中序遍历右子树
- 后序遍历:后序遍历左子树;后序遍历右子树;访问根元素


二叉排序树

大小顺序:左中右,在这种结构下,能很迅速找到指定关键字
也是一个很有意思的递归定义
- 广度优先遍历 临时数据结构 :队列
- 深度优先遍历 临时数据结构 :栈
优先级队列
堆排序
搜索树
比调表和散列表有更好或类似的效果
尤其擅长顺序访问或按排名访问
- 二叉搜索树:可能为空的二叉树,可以不是完全二叉树
非空的二叉搜索树满足:
- 每个元素都有唯一关键字
- 根节点左子树的关键字一定小于根节点的关键字
- 根节点右子树的关键字一定大于根节点的关键字(与堆?不同)
- 根节点的左右子树都是二叉搜索树
- 索引二叉树:在每个节点添加一个“LeftSize”
操作
insert : O(height)
erase : 三种情况
- p是树叶
- p只有一个非空子树
- p有两个非空子树
图
图(Graph)结构是一种非线性的数据结构
图在实际生活中有很多例子,比如交通运输网,地铁网络,社交网络,计算机中的状态执行(自动机)等等都可以抽象成图结构。图结构比树结构复杂的非线性结构。
图结构由两部分构成:
- 顶点:图中的数据元素
- 边:连接各个顶点的线
下面主要介绍一下简单图,两种基本结构,分别为无向图与有向图
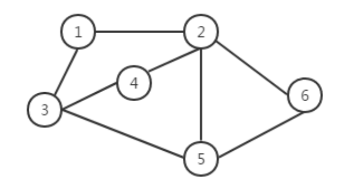
无向图

一般形式如上图所示,无向图最大的特点,便是边不具有方向性。顶点3(V3)与顶点5(V5)之间的边,既可以用(V3,V5)表示,也可以表示为(V5,V3)


矩阵表示
权重 有无向 节点相连
链表表示
应用
路径问题
路径、简单路径

浙公网安备 33010602011771号