平淡无奇的数论笔记
目录
前言
有时候会把最基本的定义忘掉……
当且仅当存在一个正整数c使得a × c = b,则正整数a是正整数b的因子。
C99规定,对非负整数取模的结果为非负整数,否则为负整数。
贝祖定理
取整问题
double->int:
x ≤ y x < ⌊ y ⌋ + 1 x \le y \qquad x < \lfloor y \rfloor +1 x≤yx<⌊y⌋+1
x > y x ≥ ⌊ y ⌋ + 1 x > y \qquad x \ge \lfloor y \rfloor +1 x>yx≥⌊y⌋+1
a c ≤ b ⟺ a ≤ ⌊ b c ⌋ ac\leq b\iff a\leq \lfloor \frac b c\rfloor ac≤b⟺a≤⌊cb⌋
a c ≥ b ⟺ a ≥ ⌈ b c ⌉ ac\geq b \iff a \geq \lceil \frac b c \rceil ac≥b⟺a≥⌈cb⌉
a c < b ⟺ a < ⌈ b c ⌉ ac< b\iff a< \lceil \frac b c\rceil ac<b⟺a<⌈cb⌉
a c > b ⟺ a > ⌊ b c ⌋ ac> b \iff a > \lfloor \frac b c \rfloor ac>b⟺a>⌊cb⌋
i f a ≤ x < b l e n ( x ) = ⌊ b ⌋ − ⌊ a ⌋ if\quad a\le x < b \qquad len(x)=\lfloor b \rfloor-\lfloor a \rfloor ifa≤x<blen(x)=⌊b⌋−⌊a⌋
上整->下整
⌈ y x ⌉ = ⌊ y − 1 x ⌋ + 1 o r c e i l ( y x ) = y − 1 x + 1 \lceil \frac{y}{x} \rceil = \lfloor \frac{y-1}{x} \rfloor +1 \qquad or \qquad ceil(\frac{y}{x}) = \frac{y-1}{x} +1 ⌈xy⌉=⌊xy−1⌋+1orceil(xy)=xy−1+1
左零右开区间奇偶数个数
i f 0 ≤ x < b c o u n t ( x , 奇 数 ) = ⌊ b 2 ⌋ o r x > > 1 c o u n t ( x , 偶 数 ) = ⌊ b + 1 2 ⌋ o r x + 1 > > 1 if\quad 0\le x < b \\count(x,奇数)= \lfloor \frac{b}{2} \rfloor \quad or \quad x>>1 \\count(x,偶数)= \lfloor \frac{b+1}{2} \rfloor \quad or \quad x+1>>1 if0≤x<bcount(x,奇数)=⌊2b⌋orx>>1count(x,偶数)=⌊2b+1⌋orx+1>>1
(写公式真累)
(拓展)欧几里得
(
a
,
b
)
=
d
(
d
∣
a
,
d
∣
b
)
(a,b)=d\quad (d|a,d|b)
(a,b)=d(d∣a,d∣b)
b
∣
a
b|a
b∣a,则
(
a
,
b
)
=
b
×
1
+
a
×
0
(a,b)=b\times 1+a\times 0
(a,b)=b×1+a×0
否则令
a
=
b
×
d
+
r
(
r
!
=
0
)
a=b\times d+r(r!=0)
a=b×d+r(r!=0)
r
=
a
−
b
×
d
r=a-b\times d
r=a−b×d
(
a
,
b
)
∣
a
,
(
a
,
b
)
∣
b
(a,b)|a,(a,b)|b
(a,b)∣a,(a,b)∣b
(
a
,
b
)
∣
r
(a,b)|r
(a,b)∣r
欧几里得:
(
a
,
b
)
=
(
b
,
r
)
(a,b)=(b,r)
(a,b)=(b,r)
令
d
=
⌊
a
/
b
⌋
,
r
=
a
%
b
d=\lfloor a/b\rfloor,r=a\%b
d=⌊a/b⌋,r=a%b
(
a
,
b
)
=
(
b
,
a
%
b
)
(a,b)=(b,a\%b)
(a,b)=(b,a%b)
b
∣
a
b|a
b∣a,则
(
a
,
b
)
=
b
×
1
+
a
×
0
(a,b)=b\times 1+a\times 0
(a,b)=b×1+a×0
a
%
b
=
a
−
b
×
⌊
a
/
b
⌋
a\%b=a-b\times \lfloor a/b\rfloor
a%b=a−b×⌊a/b⌋
拓展欧几里得:
(
a
,
b
)
=
(
a
−
⌊
a
/
b
⌋
×
b
)
×
1
+
b
×
0
(a,b)=(a-\lfloor a/b\rfloor \times b)\times1+b\times0
(a,b)=(a−⌊a/b⌋×b)×1+b×0
(不太严谨)
逆元
拓展欧几里得法
ax≡1(mod b)(ax+by=1)
a
×
x
+
b
×
y
=
1
a\times x+b\times y=1
a×x+b×y=1
存在逆元的条件:
(
a
,
b
)
∣
1
⟺
(
a
,
b
)
=
1
(a,b)|1 \iff (a,b)=1
(a,b)∣1⟺(a,b)=1
线性逆元
1
−
1
≡
1
(
m
o
d
p
)
1^{-1}\equiv1(mod\quad p)
1−1≡1(modp)(p为质数)
p
=
d
×
i
+
r
(
d
=
⌊
p
i
⌋
,
r
=
p
%
i
)
p=d\times i+r(d=\lfloor \frac p i\rfloor,r=p\%i)
p=d×i+r(d=⌊ip⌋,r=p%i)
p
≡
0
(
m
o
d
p
)
p\equiv0(mod\quad p)
p≡0(modp)
d
×
i
+
r
≡
0
(
m
o
d
p
)
d\times i+r \equiv 0(mod \quad p)
d×i+r≡0(modp)
d
×
r
−
1
+
i
−
1
≡
0
(
m
o
d
p
)
d\times r^{-1}+i^{-1} \equiv 0 (mod \quad p)
d×r−1+i−1≡0(modp)(两边乘
r
−
1
i
−
1
r^{-1}i^{-1}
r−1i−1)
i
−
1
≡
−
d
×
r
−
1
(
m
o
d
p
)
i^{-1} \equiv -d\times r^{-1} (mod \quad p)
i−1≡−d×r−1(modp)
i
−
1
≡
−
⌊
p
i
⌋
×
(
p
%
i
)
−
1
(
m
o
d
p
)
i^{-1} \equiv -\lfloor \frac p i\rfloor\times (p\%i)^{-1} (mod \quad p)
i−1≡−⌊ip⌋×(p%i)−1(modp)
(注意最小正整数
(
i
n
v
%
p
+
p
)
%
p
(inv\%p+p)\%p
(inv%p+p)%p)
(拓展)中国剩余定理
x
≡
a
1
(
m
o
d
m
1
)
x\equiv a_1(mod\quad m_1)
x≡a1(modm1)
x
≡
a
2
(
m
o
d
m
2
)
x\equiv a_2(mod\quad m_2)
x≡a2(modm2)
x
≡
a
k
(
m
o
d
m
k
)
x\equiv a_k(mod\quad m_k)
x≡ak(modmk)
x
=
a
1
+
k
1
×
m
1
=
a
2
+
k
2
×
m
2
x=a_1+k_1\times m_1=a_2+k_2\times m_2
x=a1+k1×m1=a2+k2×m2
k
1
×
m
1
−
k
2
×
m
2
=
a
2
−
a
1
k_1\times m_1-k_2\times m_2=a_2-a_1
k1×m1−k2×m2=a2−a1
当仅当
(
m
1
,
m
2
)
∣
a
2
−
a
1
(m_1,m_2)|a_2-a_1
(m1,m2)∣a2−a1
k
1
=
k
0
+
m
2
/
(
m
1
,
m
2
)
×
k
k_1=k_0+ m_2/(m_1,m_2)\times k
k1=k0+m2/(m1,m2)×k
x
=
a
1
+
(
k
0
×
m
1
+
m
2
×
m
1
/
(
m
1
,
m
2
)
×
k
)
x=a_1+(k_0\times m_1+m_2\times m_1/(m_1,m_2)\times k)
x=a1+(k0×m1+m2×m1/(m1,m2)×k)
=
(
a
1
−
k
0
×
m
1
)
−
[
m
1
,
m
2
]
×
k
(
k
0
=
x
0
(
a
2
−
a
1
)
/
(
m
1
,
m
2
)
,
即
k
1
的
一
个
解
)
=(a_1-k_0\times m_1)-[m_1,m_2]\times k(k_0=x0(a_2-a_1)/(m_1,m_2),即k_1的一个解)
=(a1−k0×m1)−[m1,m2]×k(k0=x0(a2−a1)/(m1,m2),即k1的一个解)
=
x
0
−
[
m
1
,
m
2
]
×
k
(
x
0
由
k
1
计
算
)
=x_0-[m_1,m_2]\times k(x_0由k_1计算)
=x0−[m1,m2]×k(x0由k1计算)
(方程数减1)
.
中国剩余定理(模互质):
x
≡
∑
i
=
1
k
M
i
′
M
i
a
i
(
m
o
d
M
)
x\equiv \sum _{i=1}^k M_i'M_ia_i(mod\quad M)
x≡∑i=1kMi′Miai(modM)
M
=
m
1
m
2
m
k
,
M
i
=
M
/
m
i
,
M
i
′
M
i
≡
1
(
m
o
d
m
i
)
M=m_1m_2m_k,M_i=M/m_i,M_i'M_i\equiv 1(mod \quad m_i)
M=m1m2mk,Mi=M/mi,Mi′Mi≡1(modmi)(按方程定义模拟即可理解)
关于GCD
- GCD递推式:GCD(a,b)=GCD(a,a%b)
- GCD(a,a-b)=GCD(a,b)
证:GCD(a,b-a)=GCD(a,(b-a)%a)=GCD(a,(b-a+a)%a)=GCD(a,b%a)=GCD(a,b)
应用:CF1110C Meaningless Operations
(拓展)欧拉定理
如果
(
a
,
m
)
=
1
(a,m)=1
(a,m)=1,那么
a
φ
(
m
)
≡
1
(
m
o
d
b
)
a^{\varphi(m)}\equiv1(mod\quad b)
aφ(m)≡1(modb)
a
c
≡
a
c
%
φ
(
m
)
+
φ
(
m
)
(
m
o
d
m
)
,
i
f
c
≥
φ
(
m
)
a^c\equiv a^{c\%\varphi(m)+\varphi(m)}(mod\quad m),if \quad c\geq \varphi(m)
ac≡ac%φ(m)+φ(m)(modm),ifc≥φ(m)
欧拉函数
计算
φ ( n ) = ( p 1 − 1 ) p 1 a 1 − 1 × ( p 2 − 1 ) p 2 a 2 − 1 × ( p k − 1 ) p k a k − 1 \varphi(n)=(p_1-1)p_1^{a_1-1}\times (p_2-1)p_2^{a_2-1}\times (p_k-1)p_k^{a_k-1} φ(n)=(p1−1)p1a1−1×(p2−1)p2a2−1×(pk−1)pkak−1
φ ( n ) − > φ ( n m ) \varphi(n)->\varphi(nm) φ(n)−>φ(nm)
m为质数
n
∣
m
时
,
φ
(
n
m
)
=
φ
(
n
)
×
m
n\mid m时,\varphi(nm)=\varphi(n)\times m
n∣m时,φ(nm)=φ(n)×m
n
∤
m
时
,
φ
(
n
m
)
=
φ
(
n
)
×
(
m
−
1
)
n\nmid m时,\varphi(nm)=\varphi(n)\times (m-1)
n∤m时,φ(nm)=φ(n)×(m−1)
n,m互质
φ ( n m ) = φ ( n ) × φ ( m ) \varphi(nm)=\varphi(n)\times \varphi(m) φ(nm)=φ(n)×φ(m)
其他情况
分解因子(大概)
组合数学
r
r
r次上升幂:
n
×
(
n
+
1
)
×
(
n
+
r
−
1
)
n\times (n+1)\times(n+r-1)
n×(n+1)×(n+r−1)
r
r
r次下降幂:
n
×
(
n
−
1
)
×
(
n
−
r
+
1
)
n\times (n-1)\times(n-r+1)
n×(n−1)×(n−r+1)
C
n
m
=
n
的
m
次
下
降
幂
m
!
=
n
!
(
n
−
r
)
!
m
!
C_n^m=\frac{n的m次下降幂}{m!}=\frac{n!}{(n-r)!m!}
Cnm=m!n的m次下降幂=(n−r)!m!n!
C
n
m
=
C
n
−
1
m
−
1
+
C
n
−
1
m
C_n^m=C_{n-1}^{m-1}+C_{n-1}^m
Cnm=Cn−1m−1+Cn−1m
C
n
m
=
n
m
C
n
−
1
m
−
1
C_n^m=\frac{n}{m}C_{n-1}^{m-1}
Cnm=mnCn−1m−1
C
n
m
=
n
−
m
+
1
m
C
n
m
−
1
C_n^m=\frac{n-m+1}{m}C_n^{m-1}
Cnm=mn−m+1Cnm−1
算术基本定理(唯一分解定理)
唯一分解形式正因数个数为
(
a
1
+
1
)
(
a
2
+
1
)
(
a
n
+
1
)
(a_1+1)(a_2+1)(a_n+1)
(a1+1)(a2+1)(an+1)
p
i
p_i
pi的取法有
0
0
0~
a
i
a_i
ai(
a
i
+
1
a_i+1
ai+1种)
全体正因数之和为
所有质因数序列排列组合
例题
设
x
=
p
0
a
0
p
1
a
1
p
2
a
2
⋯
p
n
a
n
设x=p_0^{a_0}p_1^{a_1}p_2^{a_2}\cdots p_{n}^{a_n}
设x=p0a0p1a1p2a2⋯pnan
排
列
组
合
=
(
∑
j
=
0
n
a
j
)
!
∏
i
=
0
n
(
a
i
!
)
排列组合=\frac{(\sum_{j=0}^n a_j)!}{\prod_{i=0}^n(a_i!)}
排列组合=∏i=0n(ai!)(∑j=0naj)!
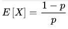
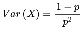
几何分布
记每次试验中事件A发生的概率为p,试验进行到事件A出现时停止,此时所进行的试验次数为X,其分布列为:
譬如,某产品的不合格率为0.05,则首次查到不合格品的检查次数X ~ GE(0.05) 。
(1)为得到1次成功而进行n次伯努利试验,n的概率分布,取值范围为1,2,3,…;
这种情况的期望和方差如下:


(2)m = n-1次失败,第n次成功,m的概率分布,取值范围为0,1,2,3,…。
这种情况的期望和方差如下:


比如,假设不停地掷骰子,直到得到1。投掷次数是随机分布的,取值范围是无穷集合{ 1, 2, 3, … },并且是一个p= 1/6的几何分布。
不相交路径
设
(
a
,
b
)
(a,b)
(a,b)为
a
a
a到
b
b
b的路径条数
则
(
a
1
或
a
2
或
a
n
,
b
1
或
b
2
或
b
n
)
(a_1或a_2或a_n,b_1或b_2或b_n)
(a1或a2或an,b1或b2或bn)的不相交路径条数为
∣
a
1
×
b
1
a
1
×
b
2
a
1
×
b
n
a
2
×
b
1
a
2
×
b
2
a
2
×
b
n
a
n
×
b
1
a
n
×
b
2
a
n
×
b
n
∣
\left| \begin{array}{cccc} a_1\times b_1 & a_1\times b_2 & a_1\times b_n \\ a_2\times b_1 & a_2\times b_2 & a_2\times b_n\\ a_n\times b_1 & a_n\times b_2 & a_n\times b_n \end{array} \right|
∣∣∣∣∣∣a1×b1a2×b1an×b1a1×b2a2×b2an×b2a1×bna2×bnan×bn∣∣∣∣∣∣
本文来自博客园,作者:夏午Sharve,转载请注明原文链接:https://www.cnblogs.com/XiaWuSharve/p/15515488.html

浙公网安备 33010602011771号