软考--计算机组成与体系结构1
计算机组成与体系结构
一、 数据的表示
1、几进制~十进制
R进制:10100.01=1*R4+0*R3+1*R2+0*R1+0*R0+0*R-1+1*R-2
2、十进制~几进制

3、二进制~八进制 ; 二进制~十六进制

4、原码
1) 转成二进制数
2) 不足8位数前面补0
3) 第一位为符号位(正数为0,负数为1)
4) 原码不可以直接在机器中来运算的
5、反码
1) 正数反码与原码相同
2) 负数符号位(第一位)不变,原码的其他取反
6、补码
1) 正数补码与原码相同
2) 负数补码是反码+1
7、移码
1) 补码首位取反
2)移码跟补码码相同

8、数值的范围

9、浮点数计算(科学计算法)
对阶:低向高,向右
阶码:范围;
尾数:精度

k位阶码+r位尾数
结构格式化:

10、寻址
速度:立即寻址----寄存器寻址----直接寻址----寄存器间接寻址----间接寻址(由快到慢)

二、 计算机结构
1、CPU结构:运算器与控制器
https://blog.csdn.net/qq_43627631/article/details/106477564

三、 Flynn分类法
https://blog.csdn.net/m0_51262868/article/details/114498644

四、 CISC与RISC

五、 流水线技术
1、 流水线是指程序执行时多条指令重叠进行操作的一种准并行处理实现技术。各种部件同时处理是针对不同指令而言的,它们可同时为多条指令的不同部分进行工作,以提高各部件的利用率和指令的平均执行速度。
2、 流水线的计算

3、 流水线吞吐率计算
吞吐率=1/单条指令的最长时间
or
吞吐率=n/(n-1)*最长时间+第一条时间

4、 流水线的加速比
加速比=不使用增强措施时完成整个任务的时间/使用增强措施时完成整个任务是时间
加速比=使用增强措施时完成整个任务的时性能/不使用增强措施时完成整个任务是性能

加速比越高越好
5、 流水线的效率

六、 存储系统

1、 速度越快,容量越小,Cache不是必须的(但没有速度会极慢),Cache所存的所有内容均来自内存


2、 主存的分类:随机存储器 ; 只读存储器
随机存储器:(内存)断电不会保存

编址:如8*4位存储器(8个地址空间,4是每个地址空间存储4个byte信息)
3、 磁盘参数与结构



七、 总线系统
1、控制总线CB:主要用来传送控制信号和时序信号。
2、数据总线DB:是双向三态形式的总线,即它既可以把CPU的数据传送到存储器或输入输出接口等其它部件,也可以将其它部件的数据传送到CPU。
3、地址总线AB:地址总线(AddressBus;又称:位址总线)属于一种电脑总线(一部份),是由CPU或有DMA能力的单元,用来沟通这些单元想要存取(读取/写入)电脑内存元件/地方的实体位址
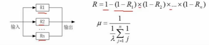
八、 可靠性
1、 串联系统
可靠度R 失效率

2、 并联系统

3、 模冗余系统

4、 混合系统

九、 校验码
1、 检错和纠错(增大码距)

2、 海明校验码


浙公网安备 33010602011771号