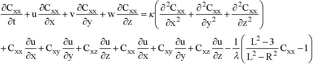
uds对流项

我在编uds对流项的时候,方程中没有密度,我是否可以这样写?

DEFINE_UDS_FLUX(Y_UDS_FLUX,f,t,i)

{

real NV_VEC(psi),

NV_VEC(A),flux=0.0;

NV_D(psi,=,F_U(f,t),

F_V(f,t),F_W(f,t));

NV_S(psi,*=,1));

F_AREA(A,f,t);

flux=NV_DOT(psi,A);

retune flux

方程如下

 

posted @ 2022-10-22 20:37  左左爱UDF吗?  阅读(216)  评论(6)    收藏  举报