第十五次作业 手写数字识别
1.手写数字数据集
- from sklearn.datasets import load_digits
- digits = load_digits()
-
(1)获取的数据集:
![]()
(2)提取的x值:
![]()
2.图片数据预处理
- x:归一化MinMaxScaler()
- y:独热编码OneHotEncoder()或to_categorical
- 训练集测试集划分
- 张量结构
归一化
![]()
one-hot处理
![]()
图片格式
![]()
划分测试集与训练集
![]()
3.设计卷积神经网络结构
- 绘制模型结构图,并说明设计依据。
![]()
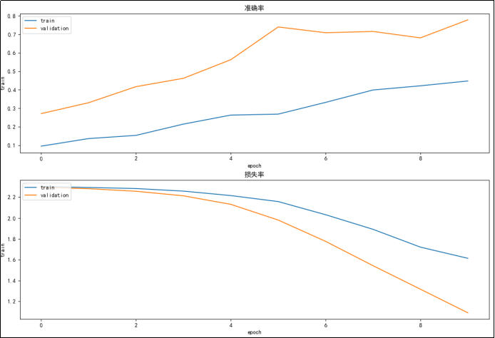
4.模型训练

5.
6.补交作业
第一次作业 机器学习概述
第二次作业 机器学习相关数学基础
第三次作业 K均值算法
第五次作业 线性回归算法
第六次作业 逻辑回归
第七次作业 逻辑回归实践
第八次作业 特征选择
第九次作业 主要成分分析
第十一次作业 分类与监督学习
第十二次作业 朴素贝叶斯-垃圾邮件分类
第十三次作业 垃圾邮件分类







浙公网安备 33010602011771号