Tire字典树
Tire

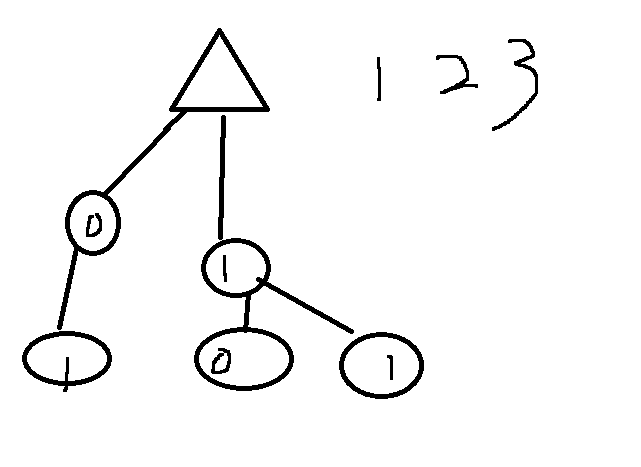
图为插入 1 2 3二进制的Tire字典树
概念:Tire字典树是一种存储字符的数据结构,可用于统计字符串,也可处理字符串之间的关系
字符包括数字等有字符性质的数据
构造(插入):有序地遍历字符串,从根节点开始查询树中是否有字符串当前字符a[i]
若有则从该字符向子树继续查询,若无则插入该字符作为新节点
(统计字符串时,对每个末尾打上cnt标记,实现统计功能时若插入完成后末尾节点cnt++)
查询:从根节点开始查询,对字符串有序遍历查询字符
若有该字符则从该字符向子树继续查询,直到字符串所有字符都查询成功返回末尾节点cnt为字符串出现次数
若过程中某个字符串查询失败则直接返回0
Tire字典树的应用
ACW143 最大异或对
思路:将所有数字按照31位二进制插入(取决于输入范围,最大的二进制位数31;若最大数x<2^n / 2n<=x<2(n+1) 则需要从1开始计数的n / n+1位数,),每一位算一层后进行查询,求最大异或对
剪枝:则可以只走当前”层次“可以得到异或结果1的子树,异或结果为0的子树必然小于结果1的子树
划分:
若当前字符有2个分支,则必然有一个子树下一位能得到异或结果1,则转移至该字符
若当前字符有1个分支,且能够得到异或结果1,则转移至该字符
若当前字符有1个分支,不能得到异或结果1,仍然转移至该字符,继续进行查询
#include <iostream>
#include <cstring>
#include <algorithm>
#define MAXN (3200005)
using namespace std;
int a[MAXN][2],idx,b[MAXN];
long long maxx=-1;
void insert(int now)
{
int p=0,t=now;
for (int i = 30; i>=0; i-- )
{
int num=(t>>i)&1;
if(!a[p][num])
a[p][num]=++idx;
p=a[p][num];
}
}
void query(int b)
{
int p=0,t=b;
long long ans=0;
for (int i = 30; i>=0; i-- )
{
int num=(t>>i)&1;
ans<<=1;
if(a[p][1-num])
{
ans=ans|1;
p=a[p][1-num];
}
else
{
p=a[p][num];
}
}
maxx=max(maxx,ans);
}
int main()
{
int n;
cin>>n;
for (int i = 1; i <= n; i ++ )
{
scanf("%d", &b[i]);
insert(b[i]);
}
for (int i = 1; i <= n; i ++ )
{
query(b[i]);
}
cout << maxx<<endl;
return 0;
}
本文来自博客园,作者:多巴胺不耐受仿生人,转载请注明原文链接:https://www.cnblogs.com/VoidCoderTF/articles/15802267.html

浙公网安备 33010602011771号