1.9寒假集训-进阶训练赛(五)A-M题解
前五题网上都有 不写了
需要注意的是第四题是给定密钥和密文 要把它加密 算是一个逆过程 看了半天都没读懂样例
第六题应该也有 但是我写一下 因为学校oj这边空间给的是128mb 蓝桥杯正常应该是给256 直接设f[i][j]表示前i个可以组成j的话空间不太够
所以我们用一个滚动数组即可 算是一个小技巧吧
#include<bits/stdc++.h> using namespace std ; #define maxn 110100 #define int long long int read(){ int ans = 0 , f = 1 ; char ch = getchar() ; while ( !isdigit(ch) ){ if( ch == '-' ) f = -1 ; ch = getchar() ; } while ( isdigit(ch) ) ans = (ans * 10) + (ch ^ '0') , ch = getchar() ; return ans * f ; } int f[5][maxn] ; int n , w[maxn] ; signed main(){ // freopen("test.in" , "r" , stdin) ; // freopen("test.out" , "w" , stdout) ; n = read() ; f[0][0] = 1; int now = 1 ; for(int i = 1 ; i <= n ; i++){ w[i] = read() ; f[now][0] = 1 ; for(int j = w[i] ; j <= 100000 ; j++){ f[now][j] |= f[now ^ 1][j]; f[now][j] |= f[now ^ 1][j - w[i]] ; f[now][j] |= f[now ^ 1][j + w[i]] ; } for(int j = 1 ; j < w[i] ; j++){ f[now][j] |= f[now ^ 1][w[i] - j] ; f[now][j] |= f[now ^ 1][j] ; f[now][j] |= f[now ^1][j + w[i]] ; } now ^= 1 ; } now ^= 1 ; int ans = 0 ; for(int i = 1 ; i <= 100000 ; i++) ans += f[now][i] ; printf("%lld" , ans) ; return 0 ; }
G 最小值
两个数的差大于2019的话肯定可以让一个是2019的倍数 不大于2019直接枚举 最差情况下是枚举2019²次
#include<bits/stdc++.h> using namespace std ; #define maxn 400100 #define int long long int read(){ int ans = 0 , f = 1 ; char ch = getchar() ; while ( !isdigit(ch) ){ if( ch == '-' ) f = -1 ; ch = getchar() ; } while ( isdigit(ch) ) ans = (ans * 10) + (ch ^ '0') , ch = getchar() ; return ans * f ; } signed main(){ // freopen("test.in" , "r" , stdin) ; // freopen("test.out" , "w" , stdout) ; int l = read() , r = read() ; int ans = 999999 ; if(r - l >= 2019){ printf("0") ; return 0 ; } for(int i = l ; i < r ; i++) for(int j = i + 1 ; j <= r ; j++) ans = min(ans , i * j % 2019) ; printf("%lld" , ans) ; return 0 ; }
H题 感觉有被骂道 我错了 今晚就开始补题 呜呜
n = read() , d = read() ; d = 2 * d + 1 ; printf("%lld" , (n / d + (n % d != 0))) ;
I题 模拟即可 不需要思考
int n , mx1 , mx2; multiset<int> s ; multiset<int>::iterator it ; int a[maxn] ; signed main(){ // freopen("test.in" , "r" , stdin) ; // freopen("test.out" , "w" , stdout) ; n = read() ; for(int i = 1 ; i <= n ; i++) a[i] = read() , s.insert(a[i]) ; for(int i = 1 ; i <= n ; i++){ s.erase(s.find(a[i])) ; it = s.end() ; it-- ; printf("%lld\n" , *it) ; s.insert(a[i]) ; } return 0 ; }
J题 模拟
int calc(int x){ int sum = 0; while(x){ sum++ ; x /= 10 ; } return sum ; } int n ; signed main(){ // freopen("test.in" , "r" , stdin) ; // freopen("test.out" , "w" , stdout) ; n =read() ; int ans = 0 ; for(int i = 1 ; i <= n ; i++){ ans += calc(i) % 2 == 1 ; } printf("%lld" , ans) ; return 0 ; }
K题
以样例来说 a[1] + a[2] = A1 * 2
a[2] + a[3] = A2 * 2 a[3] + a[1] = A3 * 2
所以用一式减二式加三式就能得出a[1] 后面递推即可
n = read() ; for(int i = 1 ; i <= n ; i++){ a[i] = read() ; } int a1 = 0 ; for(int i = 1 ; i <= n ; i++){ if(i %2 == 1) a1 += a[i] ; else a1 -= a[i] ; } printf("%lld " , a1) ; for(int i = 1 ; i < n ; i++){ printf("%lld " , a1 = 2 * a[i] - a1) ; }
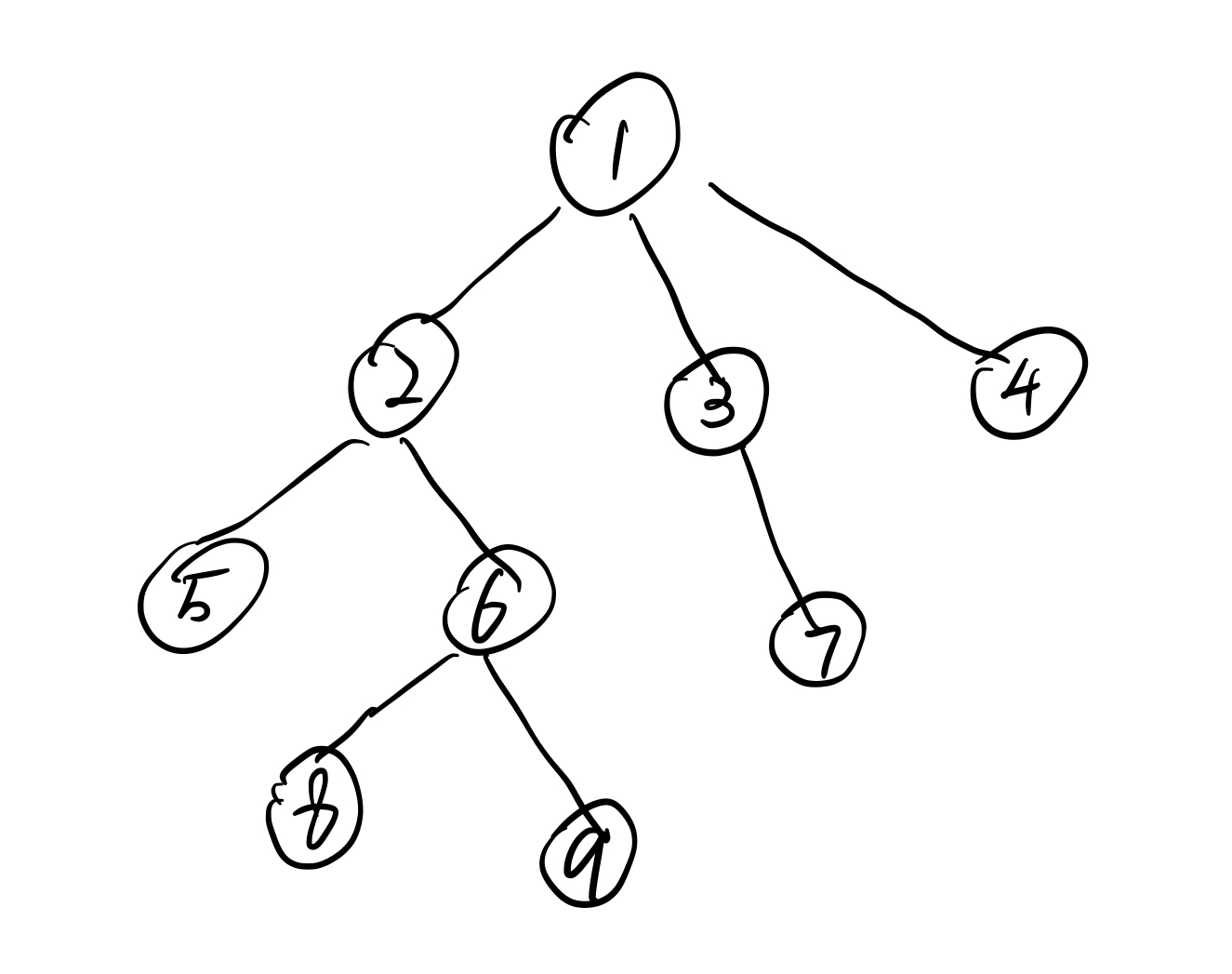
L题 不太理解怎么没什么人写L题 正常的模拟一下从树顶开始涂色的过程
这个样例太差劲了 我画一个

假设k是8好了
首先涂1点 有八种情况
然后涂2点 7种情况 3 6种情况 4 5种情况
很明显在同一父节点的情况下 考虑一下当前节点是第几个点 越靠后的点情况数量越低
然后是第三层的点 从第三层开始 最多也只能有k-2种了 因为第二层不用考虑爷爷结点 第三层开始就要了
具体看看代码应该能明白
#include<bits/stdc++.h> using namespace std ; #define maxn 400100 #define int long long int read(){ int ans = 0 , f = 1 ; char ch = getchar() ; while ( !isdigit(ch) ){ if( ch == '-' ) f = -1 ; ch = getchar() ; } while ( isdigit(ch) ) ans = (ans * 10) + (ch ^ '0') , ch = getchar() ; return ans * f ; } int n , k ; int val[maxn] ; vector<int> G[maxn] ; void dfs(int u , int dep , int fa , int numson){ if(dep == 1){ val[u] = k ; } else if(dep == 2) val[u] = k - 1 - numson ; else val[u] = k - 2 - numson ; int cnt = 0 ; for(int i = 0 ; i < G[u].size() ; i++){ int v = G[u][i] ; if(v == fa) continue ; dfs(v , dep + 1 , u , cnt) ; cnt++ ; } } signed main(){ // freopen("test.in" , "r" , stdin) ; // freopen("test.out" , "w" , stdout) ; n = read() ; k = read() ; for(int i = 1 ; i < n ; i++){ int u = read() , v = read() ; G[u].push_back(v) ; G[v].push_back(u) ; } dfs(1 , 1 , 1 , 0) ; int ans = 1 ; for(int i = 1 ; i <= n ; i++) ans = ans * val[i] % 1000000007 ; printf("%lld" , ans) ; return 0 ; }
M题 我写的是树刨加莫队 呃呃感觉有点离谱 不知道正解是啥 好在一次过了
我的最根本想法 就是先求两点距离 然后两点间有多少个颜色为x的边 同时计算这些边为x的边的和 用我们求的两点距离减去和加上颜色为x的边数 * y
两点距离很好算 直接统计一下到根节点的距离然后减个lca到根节点的距离都行 非常简单
所以求这两点之间有多少个颜色为x的边并且还要去算这些颜色为x的边的和才是重头戏
用树刨的思想先把两点之间拆成区间 然后把这些询问给离线出来 最后再算回去即可
需要注意的是 由于这里是边上有值而不是点上
所以我们需要转化一下 把边的值下放到层数更低的点
还有一个非常重要的细节就是树链剖分最后一次查询和修改路径的时候,父亲结点是不在路径上的 因为父亲结点的点权代表的是它与它的父亲之间的边权,因此,在查询和修改的时候,最后左端点为id[x] + 1。
代码凑合着看吧 思路最重要
推荐先学会莫队和完成https://www.luogu.com.cn/problem/P4315(树链刨分模板)后观看
#include<bits/stdc++.h> using namespace std ; #define maxn 100100 #define int long long int read(){ int ans = 0 , f = 1 ; char ch = getchar() ; while ( !isdigit(ch) ){ if( ch == '-' ) f = -1 ; ch = getchar() ; } while ( isdigit(ch) ) ans = (ans * 10) + (ch ^ '0') , ch = getchar() ; return ans * f ; } int n , q , len; int siz[maxn] , fa[maxn] , son[maxn] , dep[maxn] , top[maxn] , w[maxn] , cloc ; int to[maxn << 1] , nxt[maxn << 1] , head[maxn] , cnt , dis[maxn << 1] , yanse[maxn << 1]; inline void addedge(int u , int v , int ddd , int c){ to[++cnt] = v ; nxt[cnt] = head[u] ; head[u] = cnt; dis[cnt] = ddd ; yanse[cnt] = c ; return ; } int val[maxn] , valc[maxn] , color[maxn] , colorc[maxn]; int qsum[maxn] , cntt[maxn] , sum[maxn]; void dfs1(int u , int f , int deep){ fa[u] = f ; siz[u] = 1 ; dep[u] = deep ; int maxson = 0 ; for(int i = head[u] , v ; i ; i = nxt[i]){ v = to[i] ; if(v == f) continue ; val[v] = dis[i] ; color[v] = yanse[i] ; dfs1(v , u , deep + 1) ; siz[u] += siz[v] ; if(siz[v] > maxson ) maxson = siz[v] , son[u] = v ; } } void dfs2(int u , int tp){ w[u] = ++cloc ; valc[cloc] = val[u] ; top[u] = tp ; colorc[cloc] = color[u] ; if(son[u]) dfs2(son[u] , tp) ; for(int i = head[u] , v; i ; i = nxt[i]){ v = to[i] ; if(v == fa[u] || v == son[u]) continue ; dfs2(v , v) ; } } int belong(int x){ return ((int)ceil((float)x/len)) ; } struct node{ int l , r , id , c ; bool operator <(const node& x) const{ return (belong(l)^belong(x.l))?belong(l)<belong(x.l):((belong(l)&1)?r<x.r:r>x.r); } }que[maxn * 20]; void add(int x){ cntt[colorc[x]]++ ; sum[colorc[x]] += valc[x] ; return ; } void del(int x){ cntt[colorc[x]]-- ; sum[colorc[x]] -= valc[x] ; return ; } int anscnt[maxn * 20] , anssum[maxn * 20] , temp ; int xx[maxn] , yy[maxn] , uu[maxn] , vv[maxn] ; void pre(int u , int v , int x){ while(top[u] != top[v]){ if(dep[top[u]] < dep[top[v]]) swap(u , v) ; // ans = max(ans , query(1 , 1, n , w[top[u]] , w[u] )) ; que[++temp] = (node){w[top[u]] , w[u] , temp , x} ; u = fa[top[u]] ; } if(dep[u] < dep[v]) swap(u , v) ; // ans = max(ans , query(1 , 1, n , w[son[v]] , w[u])) ; que[++temp] = (node){w[son[v]] , w[u] , temp , x} ; } signed main(){ // freopen("test.in" , "r" , stdin) ; // freopen("test.out" , "w" , stdout) ; n = read() ; q = read() ; len = sqrt(n) ; for(int i = 1 , u , v , ddd , c ; i < n ; i++){ u = read() , v = read() , c = read() , ddd = read() ; addedge(u , v , ddd ,c ) ; addedge(v , u , ddd , c) ; } dfs1(1 , 1 , 1) ; dfs2(1 ,1 ) ; for(int i = 1 ; i <= n ; i++){ qsum[i] = qsum[i - 1] + valc[i] ; } for(int i = 1 ; i <= q ; i++){ xx[i] = read() , yy[i] = read() , uu[i] = read() , vv[i] = read() ; pre(uu[i] , vv[i] , xx[i]) ; } sort(que + 1 , que + 1 + temp) ; int l = 1 , r = 0 ; for(int i = 1 ; i <= temp ; i++){ int ql = que[i].l , qr = que[i].r ; while(r < qr) add(++r) ; while(r > qr) del(r--) ; while(l < ql) del(l++) ; while(l > ql) add(--l) ; anscnt[que[i].id ] = cntt[que[i].c ] ; anssum[que[i].id ] = sum[que[i].c ] ; } temp = 0 ; for(int i = 1 ; i <= q ; i++){ int ans1 = 0 , ans2 = 0 ; int u = uu[i] , v = vv[i] ; while(top[u] != top[v]){ if(dep[top[u]] < dep[top[v]]) swap(u , v) ; // ans = max(ans , query(1 , 1, n , w[top[u]] , w[u] )) ; ans1 += qsum[w[u]] - qsum[w[top[u]] - 1] ; ++temp ; ans1 -= anssum[temp] ; ans2 += anscnt[temp] ; u = fa[top[u]] ; } if(dep[u] < dep[v]) swap(u , v) ; // ans = max(ans , query(1 , 1, n , w[son[v]] , w[u])) ; ans1 += qsum[w[u]] - qsum[w[son[v]] - 1] ; ++temp ; ans1 -= anssum[temp] ; ans2 += anscnt[temp] ; ans1 += ans2 * yy[i] ; printf("%lld\n" , ans1) ; } return 0 ; }

浙公网安备 33010602011771号