HDU-5015
HDU-5015
思路
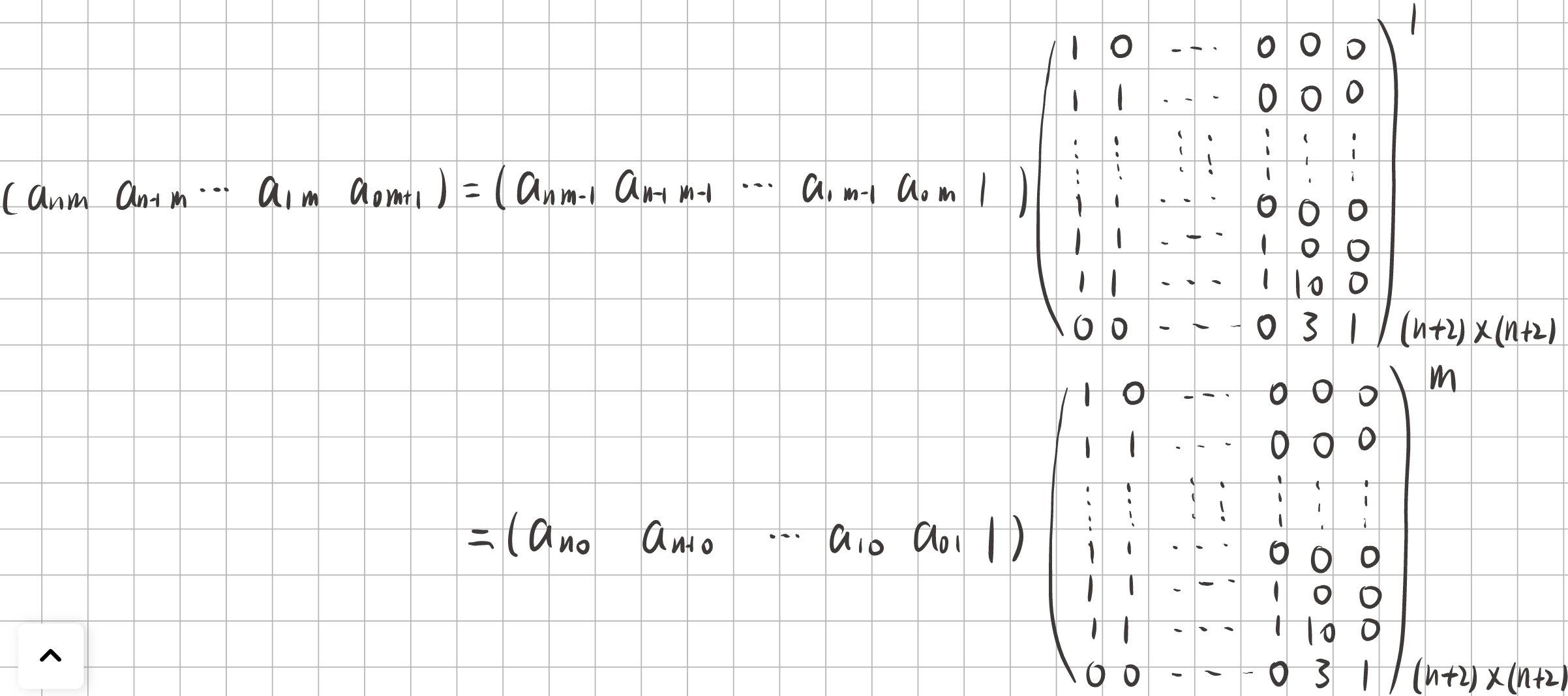
\(n \leq 10\)是一个较为明显的提示,容易想到一列一列的转移,通过对\(a_{n,m}\)的寻找,发现\(a_{n,m} = \sum_1^{n} a_{i,m-1} + a_{0,m}\),其中\(\sum_1^{n} a_{i,m-1}\)全都是前一列的元素,\(a_{0,m}\)是可以推导出的常数,因此,使用矩阵快速幂就可以求出答案。
矩阵推导

Code
#include <bits/stdc++.h>
using namespace std;
#define _u_u_ ios::sync_with_stdio(false), cin.tie(nullptr)
#define cf int _o_o_;cin>>_o_o_;for (int Case = 1; Case <= _o_o_;Case++)
#define SZ(x) (int)(x.size())
inline void _A_A_();
signed main() {_A_A_();return 0;}
using ll = long long;
#define int long long
const int mod = 10000007;
const int maxn = 2e5 + 10;
const int N = 210, M = 5010;
const int inf = 0x3f3f3f3f;
int n, m;
struct mat {
vector<vector<int>> m;
mat (){}
mat(int n) {
m.resize(n + 2, vector<int> (n + 2, 0));
}
};
mat operator * (const mat & a, const mat & b) {
mat c(n);
for (int i = 0;i < n + 2;i++) {
for (int j = 0;j < n + 2;j ++) {
for (int k = 0;k < n + 2;k++) {
c.m[i][j] = (c.m[i][j] + a.m[i][k] * b.m[k][j]) % mod;
}
}
}
return c;
}
mat qpow(mat a, int b) {
mat c(n);
for (int i = 0;i < n+2;i++) c.m[i][i] = 1;
while (b) {
if (b & 1) {
c = c * a;
}
a = a * a;
b >>= 1;
}
return c;
}
inline void _A_A_() {
#ifdef LOCAL
freopen("in.in", "r", stdin);
#endif
_u_u_;
while (cin >> n >> m) {
vector<int> v(n + 2);
for (int i = n - 1;i >= 0;i -- ) cin >> v[i];
v[n] = 233, v[n + 1] = 1;
mat s(n);
for (int i = 0;i < n + 1;i++) {
for (int j = 0;j <= i;j++) {
s.m[i][j] = 1;
}
}
s.m[n + 1][n + 1] = 1;
s.m[n][n] = 10;
s.m[n + 1][n] = 3;
s = qpow(s, m);
int ans = 0;
for (int i = 0;i < n + 2;i++) {
ans = (ans + v[i] * s.m[i][0]) % mod;
}
cout << ans << "\n";
}
}

浙公网安备 33010602011771号