POJ-3301
POJ-3301
题意:
给出二维平面上不超过30个点,求能覆盖这些点的最小的正方形的面积。
思路
首先是,如何判断一个正方形能否覆盖这片区域呢?
一种方法就是,选择两个正交的方向\(x, y\),求出这些点在这两个方向上的最长长度\(len_x, len_y\),则边长为\(max(len_x,len_y)\)的正方形一定能覆盖这些点。
接下来的问题就是找到这个最佳的正交的方向\(x,y\)。
一种方法就是,我们始终将笛卡尔坐标系的\(x,y\)轴作为上诉的\(x,y\),然后将这些点旋转一些角度,使得它们在\(x,y\)轴上的投影不同,从而得到不同的\(len_x,len_y\)。
根据其它ac的代码,可能\(max(len_x,len_y)\)是旋转角度的单峰函数,采用三分求出。
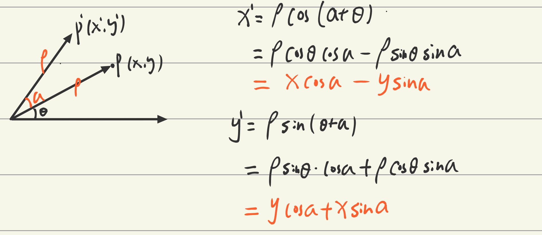
旋转后的坐标推导:

Code:
#include<cstdio>
#include<cstring>
#include<algorithm>
#include<iostream>
#include<string>
#include<vector>
#include<stack>
#include<bitset>
#include<cstdlib>
#include<cmath>
#include<set>
#include<list>
#include<deque>
#include<map>
#include<queue>
using namespace std;
#define cf int _o_o_;cin>>_o_o_;for (int Case = 1; Case <= _o_o_;Case++)
#define SZ(x) (int)(x.size())
inline void _A_A_();
signed main() {_A_A_();return 0;}
// #define int long long
int mod = 1e9 + 7;
const int maxn = 2e5 + 10;
const int N = 210, M = 5010;
const int inf = 0x3f3f3f3f;
const double eps = 1e-12;
struct Node
{
double x, y;
};
int n;
vector<Node> v;
double get_x(int x, int y, double mid) {
return x * cos(mid) - y * sin(mid);
}
double get_y (int x, int y, double mid) {
return x * sin(mid) + y * cos(mid);
}
double check (double mid) {
double mx_x = -inf, mi_x = inf, mx_y = -inf, mi_y = inf;
for (int i = 0;i < n;i++) {
mx_x = max(mx_x, get_x(v[i].x, v[i].y, mid));
mi_x = min(mi_x, get_x(v[i].x, v[i].y, mid));
mx_y = max(mx_y, get_y(v[i].x, v[i].y, mid));
mi_y = min(mi_y, get_y(v[i].x, v[i].y, mid));
}
return max(mx_x - mi_x, mx_y - mi_y);
}
inline void _A_A_() {
cf {
cin >> n;
v.resize(n);
for (int i = 0;i < n;i++) {
cin >> v[i].x >> v[i].y;
}
double l = 0, r = acos(-1)/ 2; // 最大旋转pi/2
while (r - l > eps) {
double len = r - l;
double mid1 = l + len/3.0, mid2 = r - len/3.0;
if (check(mid1) > check(mid2)) {
l = mid1;
}
else r = mid2;
}
double x = check(l);
x *= x;
printf("%.2lf\n", x);
}
}

浙公网安备 33010602011771号