动态电路分析 习题

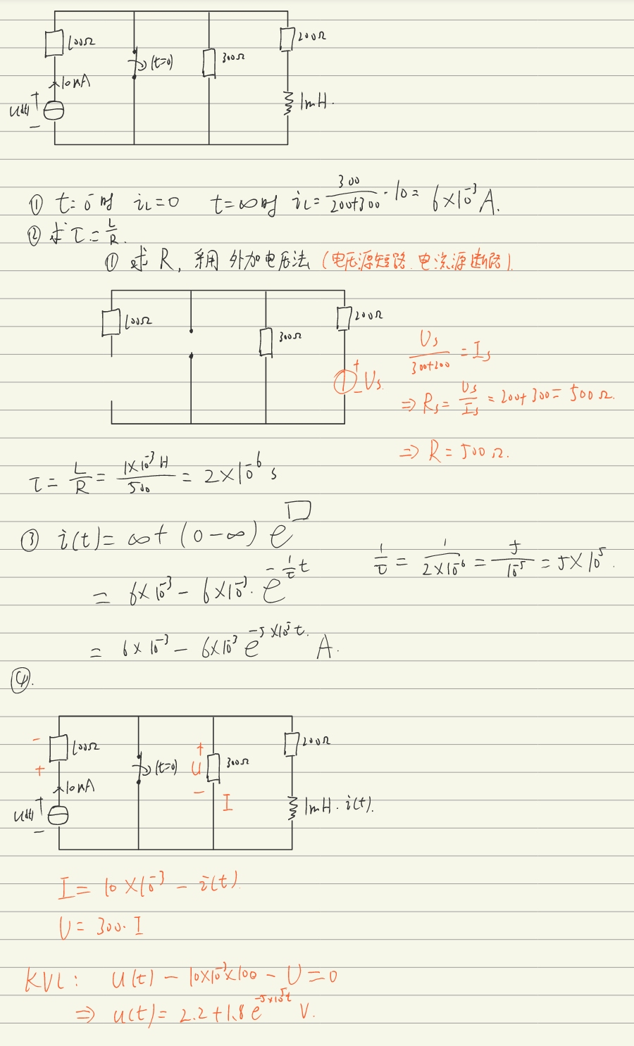
3.13

电路如图所示,开关\(S\)断开前电路已处稳态。t=0时,开关\(S\)断开。用三要素法求电流源的电压\(u(t)\)

image

3.14

如图所示,电路在换路前已处于稳态,试求换路后\(u_c(t)\)的全响应表达式

image

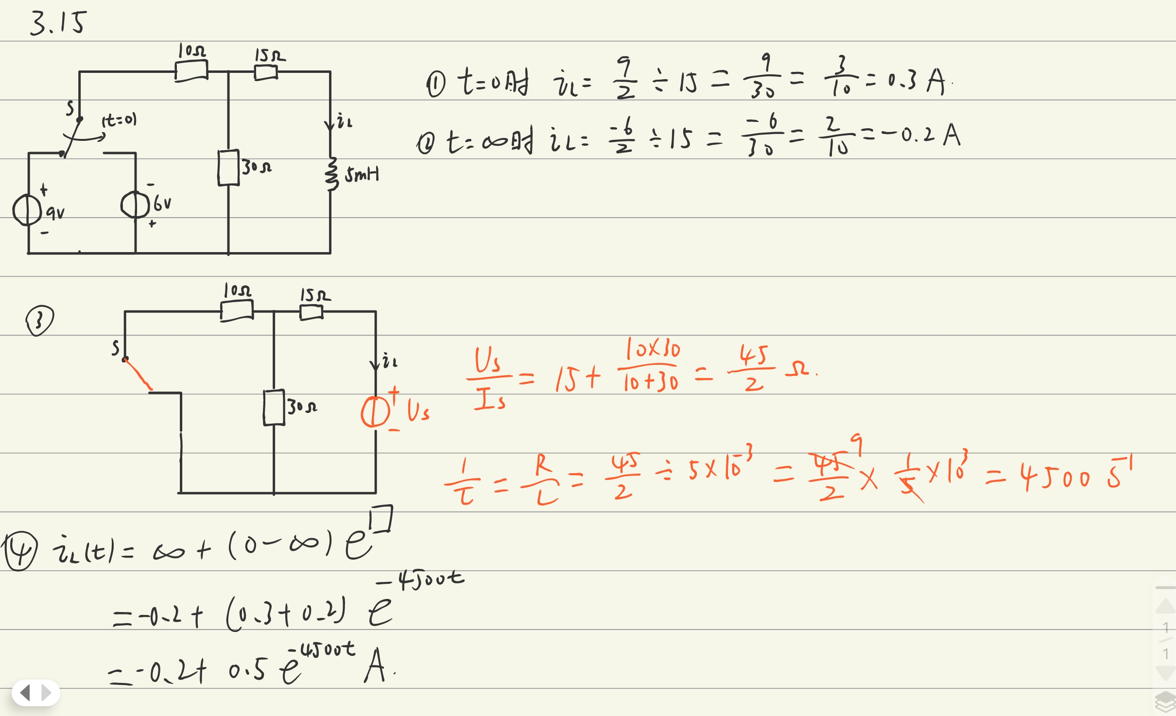
3.15

如图所示,电路在换路前已处于稳态。\(t = 0\)时,开关\(S\)由位置1倒向位置2。用三要素法求\(i_L(t)\)

image

posted @ 2022-10-30 21:28  Uzhia  阅读(73)  评论(0)    收藏  举报