LaTeX 数学字体比较
字体
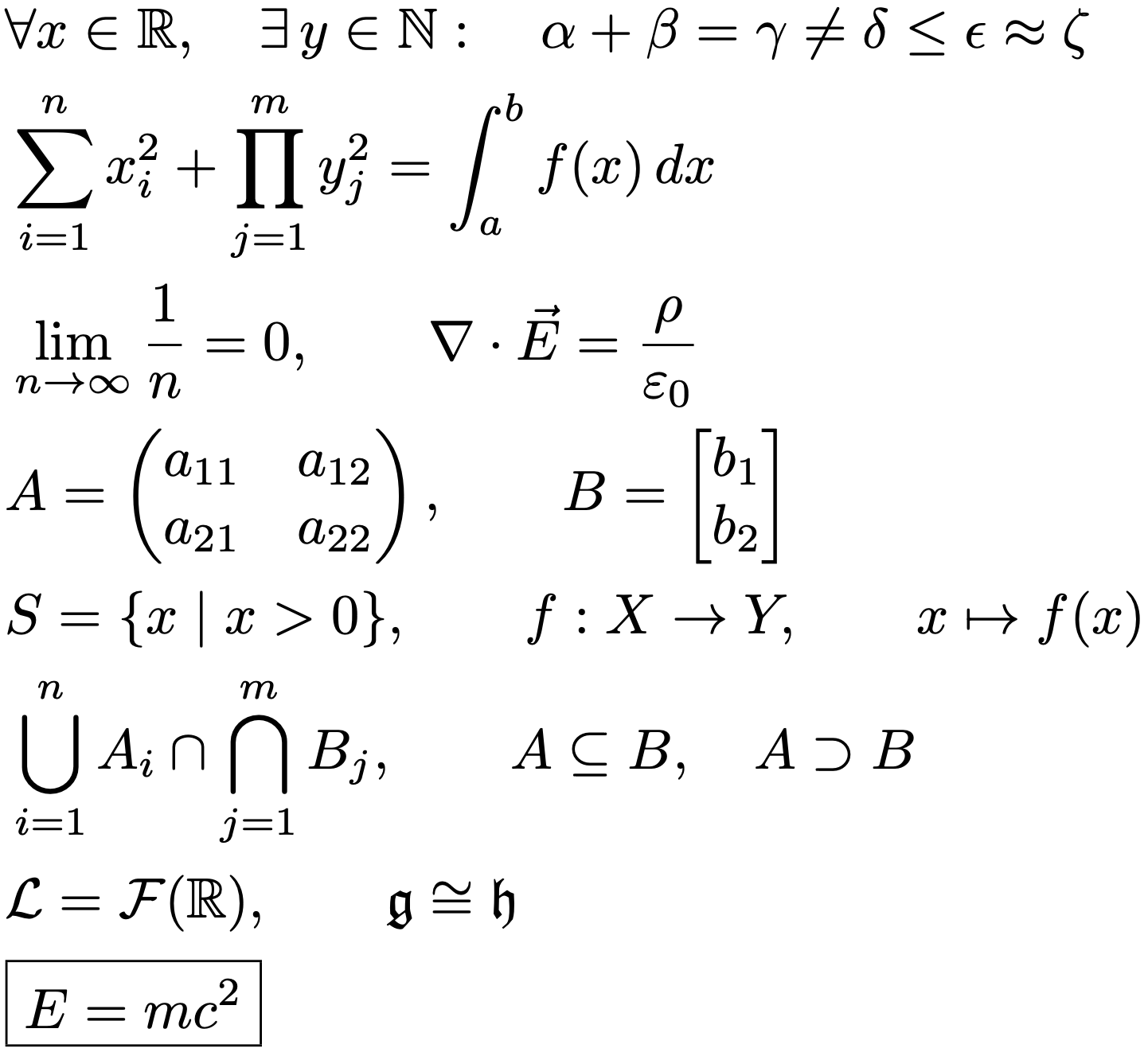
Computer Modern
LaTeX 的默认数学字体,由 Donald Knuth 设计。

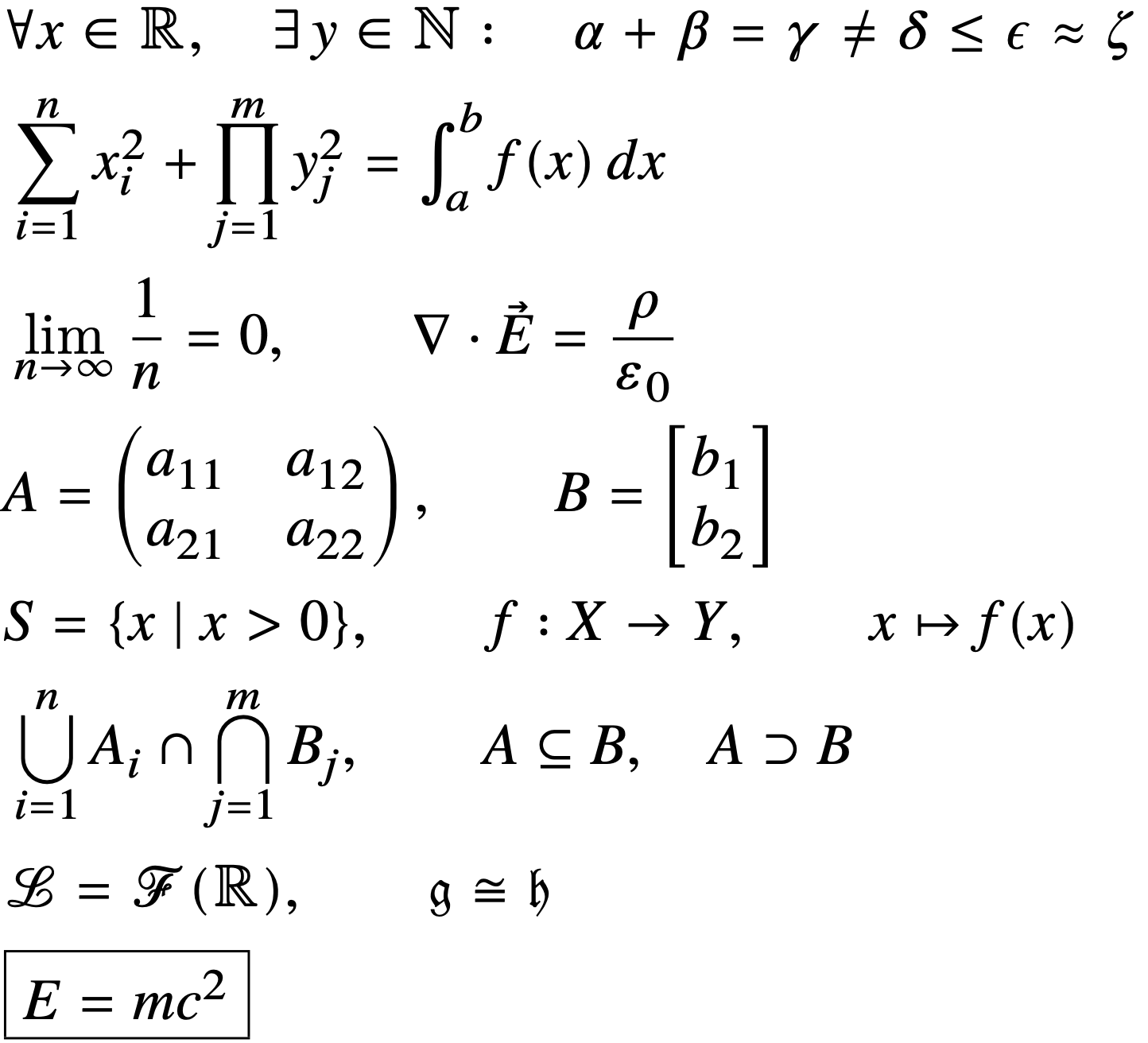
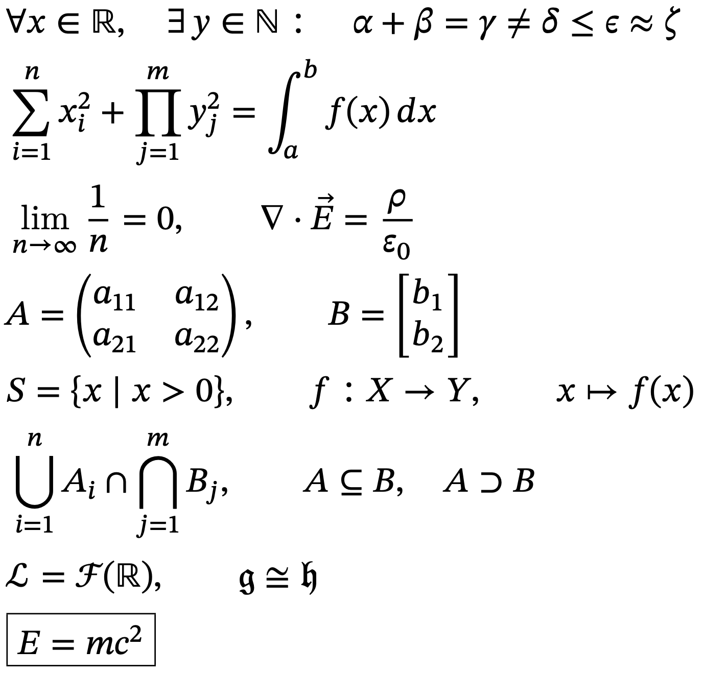
TeX Gyre Termes Math
TeX Gyre Termes 是由波兰 TeX 用户组对 Times New Roman 字体的开源复刻项目。TeX Gyre Termes Math 是其数学变体版本。
参见:

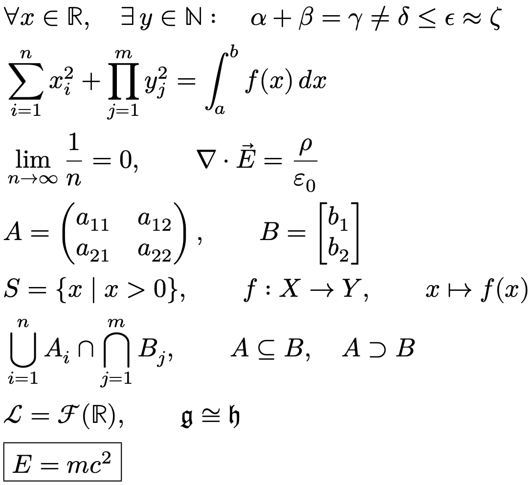
Latin Modern Math
Latin Modern Math 是兼容性最好的数学字体。

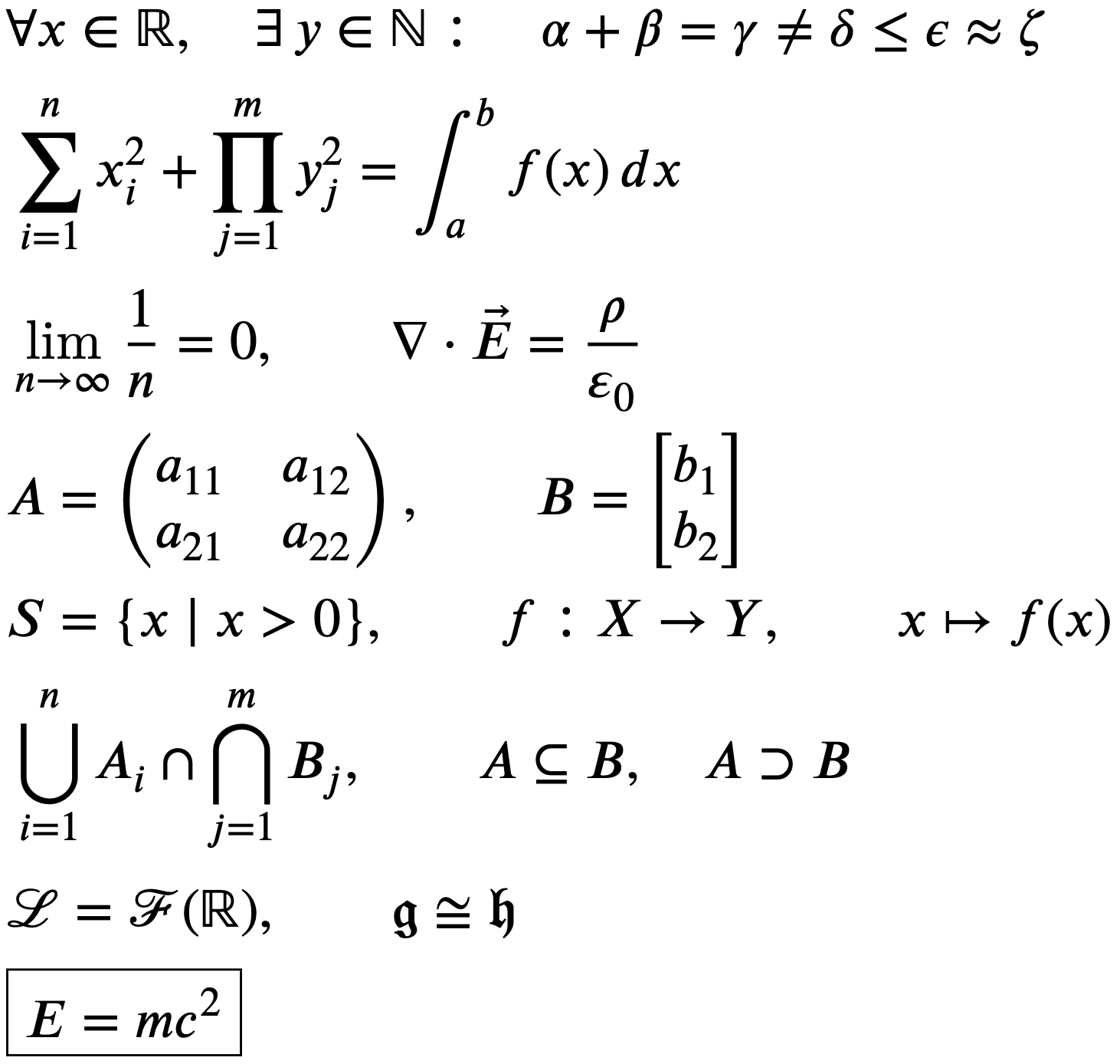
XITS Math

STIX Two Text

代码
\documentclass{article}
\usepackage{amssymb}
\usepackage{unicode-math}
\setmathfont{TeX Gyre Termes Math}
\begin{document}
$$
\begin{aligned}
&\forall x \in \mathbb{R},\quad 
\exists\, y \in \mathbb{N}:\quad 
\alpha + \beta = \gamma \neq \delta \leq \epsilon \approx \zeta \\
&\sum_{i=1}^{n} x_i^2 + \prod_{j=1}^{m} y_j^2 = \int_{a}^{b} f(x)\,dx \\
&\lim_{n\to\infty} \frac{1}{n} = 0, \qquad
\nabla \cdot \vec{E} = \frac{\rho}{\varepsilon_0} \\
&A = \begin{pmatrix} a_{11} & a_{12} \\ a_{21} & a_{22} \end{pmatrix}, \qquad
B = \begin{bmatrix} b_1 \\ b_2 \end{bmatrix} \\
&S = \{ x \mid x > 0 \}, \qquad
f: X \to Y, \qquad
x \mapsto f(x) \\
&\bigcup_{i=1}^n A_i \cap \bigcap_{j=1}^m B_j, \qquad
A \subseteq B, \quad A \supset B \\
&\mathcal{L} = \mathcal{F}(\mathbb{R}), \qquad
\mathfrak{g} \cong \mathfrak{h} \\
&\boxed{E = mc^2}
\end{aligned}
$$
\end{document}
 
                    
                
 
                
            
         
         浙公网安备 33010602011771号
浙公网安备 33010602011771号