PartⅡ:数据可视化
前言
根据上一篇文章,利用Python对房天下网站中深圳十个区的二手房房源信息进行了爬取,并保存到了本地。然后对数据集进行重复值检查、缺失值检查、分列处理、异常值检查等清洗操作,得到了新数据集,现对其进行可视化分析,研究深圳二手房房源的整体情况,并从分析结果给出相关建议。
数据可视化
深圳各区二手房情况
首先,本文从深圳各区二手房平均单价、平均总价和数量这三个方面入手,分别绘制各区的对比图如下:
#读取清洗后的数据
newdata2 = pd.read_excel(r"C:\Users\Administrator\OneDrive\桌面\数据清洗\aftercleandata.xls")
# 绘制深圳各区二手房单价对比图
plt.figure(figsize=(10,5))
x = newdata2['区名'].unique()
y1 = round(newdata2.groupby(by=['区名'])['单价'].mean().sort_values(ascending=False),2)
ax = sns.barplot(x,y1,palette='Blues_r')
ax.set_title('深圳各区二手房平均单价对比')
# 绘制深圳各区二手房总价对比图
plt.figure(figsize=(10,5))
x = newdata2['区名'].unique()
y2 = round(newdata2.groupby(by=['区名'])['总价'].mean().sort_values(ascending=False),2)
ax = sns.barplot(x,y2,palette='BuGn_r')
ax.set_title('深圳各区二手房平均总价对比')
# 绘制深圳各区房子数量对比图
plt.figure(figsize=(10,5))
x = newdata2['区名'].unique()
y3 = round(newdata2.groupby(by=['区名']).size().sort_values(ascending=False),2)
ax = sns.barplot(x,y3,palette='Oranges_d')
ax.set_title('深圳各区二手房数量对比')



通过上述三幅图惊讶地发现各区二手房的平均单价、平均总价和数量都是一样的排列顺序,最高的是罗湖区,最低的是大鹏新区。罗湖区的总价比其他区的都要高100万左右,单价比其他区要高2000元左右,数量比其他区要高1000左右,推测原因是罗湖有关口,设施齐全,交通便利;而彭山区和大鹏新区均处于弱势,推测原因是作为正式成立不久的地区,正在进行大拆大建的进程中,二手房数量最少也能理解。
房子朝向分布
对于深圳二手房房源中的朝向,本文用Python中的pyecharts模块中的饼图进行绘制如下(图片保存为朝向分布.html,需要用浏览器打开):
#绘制房子朝向分布图
position = ['东','南','西','北','东北','东南','西北','西南']
num = [580,3157,226,835,484,2374,527,773]
pie = Pie("朝向分布",title_pos='ceter',width=900,title_text_size=20)
pie.add("方向",position,num,center=[50,50],is_random=False,radius=[30,75],rosetype='area',is_legend_show=False,is_label_show=True,labe_text_size=20)
pie.render(path="朝向分布.html")

从结果可以看出,朝南、东南、北的房源是最多的,人们喜欢房屋坐北向南,因为这种房子采光好,顺光顺水,冬暖夏凉,适宜居住,同样促使开发商尽量开发朝南、朝北的房子,同时价格相对来说要贵一点。
户型与总价的关系
对于深圳二手房房源中的户型,本文统计了户型和总价两个变量,绘制出了布局排名前十的总价平均值:
#绘制户型排名前十与总价平均值的情况图
top_10 = newdata2.groupby(by=["布局"])["总价"].mean().sort_values(ascending=False)
plt.title("布局排名前十的总价平均值")
top_10.head(10).plot.barh(alpha=0.7,color=['#CD3700','#9ACD32','#7EC0EE','y','orange','#4876FF','#EEA9B8','#EE7942','#CD69C9','#668B8B'])
plt.grid(color='#DDA0DD',linestyle='--',alpha=0.5)
plt.show()

从结果可以看出,户型对总价影响比较大,不同的室、厅、卫又会产生不同的影响。通过计数统计,3室2厅的户型是最多的,符合中国人偏好3室的特点;其次是2室1厅,在老房子中也是很普遍。
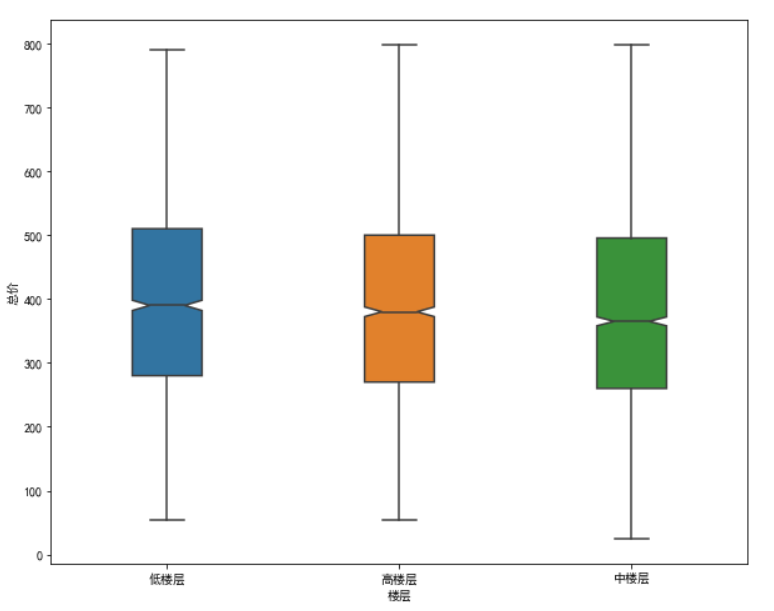
楼层与总价的关系
对于深圳二手房房源中的楼层,本文对楼层进行了分组计数,其中发现有一行为地下室,数据量太少对研究意义不大,故删除。把剩余低、中、高楼层与总价绘制了箱线图:
#对楼层进行分组计数
newdata2.groupby(by=['楼层']).size()#存在一行数据为地下室
#把值为地下室的数据行剔除,不参与讨论
newdata2 = newdata2[~newdata2['楼层'].isin(['地下室'])]
newdata2.groupby(by=['楼层']).size()
#绘制楼层和总价的关系图
plt.figure(figsize=(10,8))
order = newdata2.groupby(by=["楼层"])["总价"].median().sort_values(ascending=False).index
sns.boxplot(x='楼层',y='总价',data=newdata2,width=0.3,notch=True,order=order)

从箱线图可以看出不同楼层对总价影响较小,三个楼层等级分布几乎相同。
结论
在对数据集进行可视化分析后,对于不同行政区、不同户型、不同朝向、不同楼层进行分析,对深圳二手房房源的大体情况有了一定的了解。进而,对所得到的所有可视化结果进行总结,并提出深圳购买二手房的策略和方向。
房价分布情况
对于深圳各区的二手房平均单价分布情况,借用Python代码计算,结果如下:

结合pyecharts中的Map绘制了深圳各区房价分布地图(图片保存为深圳房价地图.html,需要用浏览器打开):
#利用上述得到的数据绘制房价分布的地图
shenzhen = ['南山区', '福田区', '宝安区', '龙华区', '罗湖区', '盐田区', '龙岗区', '光明区', '坪山区', '大鹏新区']
values = [82468, 71293, 64054, 57714, 55755, 46298, 42804, 37434, 35368, 32863]
map = Map("深圳地图", "深圳", width=1200, height=600)
map.add("2020年深圳各区房价情况", shenzhen, values, visual_range=[30000, 83000], maptype='深圳', is_visualmap=True,is_piecewise=True,
pieces=[{"max": 0, "min": 0, "label": "0","color":"#FFFFFF"},
{"max": 40000, "min": 1, "label": "1-40000","color":"#FFE4E1"},
{"max": 50000, "min": 40001, "label": "40001-50000","color":"#FF7F50"},
{"max": 60000, "min": 50001, "label": "50001-60000","color":"#F08080"},
{"max": 70000, "min": 60001, "label": "60001-70000","color":"#CD5C5C"},
{"max": 83000, "min": 70001, "label": "70001-83000","color":"#8B0000"}])
map.render(path="深圳房价地图.html")

图中颜色越深代表房价越高,可以看出南山区和福田区的房价属于深圳房价之最。通过查询网上的资料,得知南山区和福田区的人均GDP也是深圳最高的地区,证明这两个地区几乎可以算是深圳的市中心,生活环境好,交通便利。
总结
通过上述分析,对于深圳二手房房源市场的基本情况和购房策略总结为如下几点:
1.从区域来看,南山区、福田区、宝安区的二手房均价位列前三甲,推测原因是福田区是市中心且有关口,而南山区靠近海岸,宝安区是旧城区;此外,各区房源总价均超过250W,单价均超过35000 元/平方。
2.从数量来看,罗湖区是房源最多的地段,推测原因是罗湖区有关口,部分人需要过境工作。对于想选择好地段且价格适中的人,推荐选择龙岗区,该区有大约400套房源,且房源价格也相对较低,总价平均值为350W,单价平均值为40000元/平方。
3.从市场整体来看,绝大部分房源总价在1500W以下,中位数475W,平均值630W,范围从25W到8000W; 房源单价集中在45K-80K元/平方,中位数57818元/平方,平均值63360元/平方,范围从14302元/平方到207289 元/平方。对于普通大众,可以考虑25-475万元的房源(在这里推荐坪山区或大鹏新区)可能在地段的选择上可以不怎么考虑,但是房屋朝向和户型可供选择的种类还是挺多的。
4.从特点来看,3室2厅户型的房源数量最多,其次是2室1厅;朝南房数量最多,其次是朝东南和朝北房;而楼层对总价的影响不大,无论是几楼,单价和总价均差不多。
参考文献
[1] 刘鹏,张燕,李法平.《数据清洗》.
[2] 数据分析项目实战.https://blog.csdn.net/qq_42241832/article/details/104871186
[3] 二手房爬虫.https://www.kesci.com/mw/project/5f098536192ac2002c87c5aa/content
[4] 深圳二手房市场数据分析.https://zhuanlan.zhihu.com/p/111862088
posted on
浙公网安备 33010602011771号