递归与分治策略
递归的概念
- 一个直接或间接地调用自身的算法成为递归算法。
- 在计算机算法设计与分析中,使用递归技术往往使函数的定义和算法的描述简洁且易于理解。有些数据如二叉树等,由于本身固有的递归特性,特别适合用递归的形式来描述
- 还有一些问题,虽然自身没有明显的递归结构,但用递归技术来求解设计的算法简洁易懂且易于分析
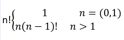
例1:阶乘函数

例2:斐波那契数列

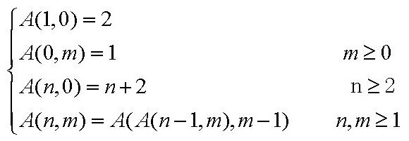
例3:双递归函数——Ackerman函数
- 当一个函数及它的一个参数是函数自身定义时,称这个函数为双递归函数

分治法的基本思想
分治法的基本思想是将一个规模为n的问题分解为k个规模较小的子问题,这些子问题相互独立且与原问题相同。递归的解这些子问题,然后将各个子问题的解合并得到原问题的解。
Divide-and-Conquer(P){ if(|P|<=n0) Adhoc(P); divide P into smaller subinstances P1,P2,...,Pk; for(i=1;i<=k;i++) yi=Divide-and-Conquer(Pi); return Merge(y1,...,yk); }
- 其中|p|表示问题P的规模,n0为一阈值,表示当问题P的规模不超过n0时,问题易于解决,不必再继续分解。Adhoc(P)是该分治法的基本子算法,用于直接解出小规模的问题P。因此,当P的规模不超过n0时,直接用Adhoc(P)求解。算法Merge(y1,y2...,yk)是该分治法中的合并子算法,用于将P的子问题P1,P2,...,Pk的解y1,y2,...,yk合并为P的解
例1:二分搜索技术
- 基本思想:将n个元素分成大致相同的两半,去a[n/2]与x做比较。如果x=a[n/2],则找到x,算法结束。如果x<a[n/2],则只要在数组a的左半部分继续搜索x。如果x>a[n/2],则只要在数组a的右半部分继续搜索x。
例2:Strassen矩阵乘法
例3:棋盘覆盖
例4:合并排序
- 基本思想:对n个元素排序,当n=1时,终止排序,否则将待排序元素分成大小大致相同的两个子集合,分别对两个子集合进行排序,最终将排序好的子集合合并成为所需求的排序好的集合。
例5:快速排序
- 基本思想:对输入的子数组a[p:r],按以下三个步骤进行排序:
- 分解:以a[q]为基准元素将a[p:r]分为3段,a[p:q-1],a[q]和a[q+1:r],使得a[p:q-1]中任何一个元素小于等于a[q],a[q+1:r]中任何一个元素大于等于a[q]。下标q在划分过程中确定
- 递归求解:通过递归调用快速排序算法分别对a[p:q-1]和q[q+1:r]进行排序
- 合并:由于对a[p:q-1]和a[p+1:r]的排序是就地进行的,所以在a[p:q-1]和a[q+1:r]都己排好的序后不需要执行任何计算a[p:r]就已经排好序
浙公网安备 33010602011771号