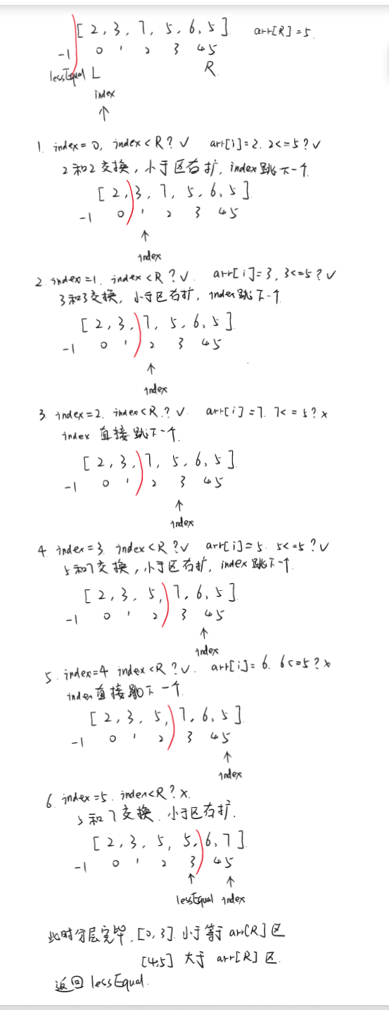
分层,荷兰国旗,快排。(有图)
package class05; import java.util.Arrays; /** * 分层,荷兰国旗,快排。 */ public class Code02_PartitionAndQuickSort { public static void swap(int[] arr, int i, int j) { int temp = arr[i]; arr[i] = arr[j]; arr[j] = temp; } //分层 //小于等于区,大于区。但是每个区内部并保证有序。 public static int partition(int[] arr, int L, int R) { if (L > R) { return -1; } if (L == R) { return L; } int lessEqual = L - 1;//小于区的右边界 int index = L;//当前数 while (index < R) {//只要当前位置,和R位置,没有撞上,就一直循环。 //如果当前数小于等于最后一个数 //当前数和小于区的下一个数,交换。小于区右扩,当前数跳下一个。 //而如果当前数大于最后一个数 //当前数,直接跳下一个。 if (arr[index] <= arr[R]) { swap(arr, index, ++lessEqual); } index++; } //当前数来到R位置时,将小于区的下一个数,和R位置的数,交换。 swap(arr, ++lessEqual, R); return lessEqual;//返回小于区的右边界。 //此时整个数组arr,就分成了两层。[0, lessEqual]是小于等于arr[R]的区域。[lessEqual, R]是大于arr[R]的区域。 } //荷兰国旗问题 public static int[] netherLandFlag(int[] arr, int L, int R) { if (L > R) { return new int[]{-1, -1}; } if (L == R) { return new int[]{L, R}; } int less = L - 1;//小于区的右边界 int more = R;//大于区的左边界 int index = L;//当前数的位置 while (index < more) {//这里已经不是index<R了,而是index<more。即当index撞上more时,跳出循环。 if (arr[index] < arr[R]) {//如果当前数小于最后一个数 swap(arr, index++, ++less);//当前数和小于区的下一个数,交换。小于区右扩,当前数跳下一个。 } else if (arr[index] == arr[R]) {//如果当前数等于最后一个数 index++;//当前数直接跳下一个 } else {//如果当前数大于最后一个数 //当前数和大于区的左边一个数,交换。大于区左扩。 //当前位置不变,因为当前这个数是后边换过来的,还没看呢,不能直接跳下一个。 swap(arr, index, --more); } } //当前数和大于区的左边界撞上时,只有最后一个数还没有归位。 //大于区的左边界和最后一个数,交换。 swap(arr, more, R); //此时三层已经分层完毕。小于arr[R]区,等于arr[R]区,大于arr[R]区。 return new int[]{less + 1, more};//返回等于arr[R]区的,左边界和右边界的索引位置。 } //快排1.0 public static void quickSort1(int[] arr) { if (arr == null || arr.length < 2) { return; } process1(arr, 0, arr.length - 1); } private static void process1(int[] arr, int L, int R) { if (L >= R) { return; } int M = partition(arr, L, R); process1(arr, L, M - 1); process1(arr, M + 1, R); } //快排2.0 public static void quickSort2(int[] arr) { if (arr == null || arr.length < 2) { return; } process2(arr, 0, arr.length - 1); } private static void process2(int[] arr, int L, int R) { if (L >= R) { return; } int[] equalArea = netherLandFlag(arr, L, R);//等于区,[equalArea[0], equalArea[1]] process2(arr, L, equalArea[0] - 1); process2(arr, equalArea[1] + 1, R); } //快排3.0 public static void quickSort3(int[] arr) { if (arr == null || arr.length < 2) { return; } process3(arr, 0, arr.length - 1); } public static void process3(int[] arr, int L, int R) { if (L >= R) { return; } // swap(arr, (int) (Math.random() * (R - L + 1)), R); // int[] equalArea = netherLandFlag(arr, L, (int) (Math.random() * (R - L + 1))); //将固定以arr[R]为比较值,换成,将随机获取一个数作为比较值。 //这样一来,提高了效率。 swap(arr, L + (int) (Math.random() * (R - L + 1)), R); int[] equalArea = netherLandFlag(arr, L, R); process3(arr, L, equalArea[0] - 1); process3(arr, equalArea[1] + 1, R); } // for test public static int[] generateRandomArray(int maxSize, int maxValue) { int[] arr = new int[(int) ((maxSize + 1) * Math.random())]; for (int i = 0; i < arr.length; i++) { arr[i] = (int) ((maxValue + 1) * Math.random()) - (int) (maxValue * Math.random()); } return arr; } // for test public static int[] copyArray(int[] arr) { if (arr == null) { return null; } int[] res = new int[arr.length]; for (int i = 0; i < arr.length; i++) { res[i] = arr[i]; } return res; } // for test public static boolean isEqual(int[] arr1, int[] arr2) { if ((arr1 == null && arr2 != null) || (arr1 != null && arr2 == null)) { return false; } if (arr1 == null && arr2 == null) { return true; } if (arr1.length != arr2.length) { return false; } for (int i = 0; i < arr1.length; i++) { if (arr1[i] != arr2[i]) { return false; } } return true; } public static void main(String[] args) { int testTime = 10; int maxSize = 20; int maxValue = 100; boolean flag = true; System.out.println("test start!"); for (int i = 0; i < testTime; i++) { int[] arr0 = generateRandomArray(maxSize, maxValue); int[] arr1 = copyArray(arr0); int[] arr2 = copyArray(arr0); int[] arr3 = copyArray(arr0); int[] arr4 = copyArray(arr0); Arrays.sort(arr4); quickSort1(arr1); quickSort2(arr2); quickSort3(arr3); if (!isEqual(arr1, arr2) || !isEqual(arr1, arr3) || !isEqual(arr1, arr4)) { flag = false; break; } } System.out.println("test start!"); System.out.println(flag ? "nice!" : "oops!"); } }
1.分两层: 2.分三层:

浙公网安备 33010602011771号