3、步进电机梯形加减速
为什么要使用加减速呢?如果你在基础部分学习,硬件驱动细分器与软件的细分参数或定时器分频参数设置不当时启动电机时,会遇见步进电机有啸叫声但是不会转动,这是因为软件产生脉冲的频率大于步进电机的启动频率,步进电机有一个很重要的技术参数:空载启动频率,也就是在没有负载的情况下能够正常启动的最大脉冲频率,如果脉冲频率大于该值,步进电机则不能够正常启动,发生丢步或者堵转的情况; 或者也可以理解为由于步进脉冲变化过快,转子由于惯性的作用跟不上电信号的变化。 所以要使用加减速来解决启动频率低的问题,在启动时使用较低的脉冲频率,然后逐渐的加快频率。
步进电机加减速使用的场景有有哪些呢?步进电机加减速使用的场景可以说是多种多样,但是大部分在一些工业上,例如 CNC 雕刻机、 3D 打印机、车床等。只要是在工业上使用到步进电机的都会涉及到加减速,可见加减速算法的重要性。
1、 梯形加减速算法原理详解
梯形加减速的实现是基于基础旋转章节的内容,所以对于基础旋转章节不理解的可以参考, 基础部分步进电机基础旋转控制章节。参考书目《AVR446_Linear speed control of stepper motor.pdf》.
步进电机因其无需反馈就能对位置和速度进行控制而在工业自动化设备中的应用极为广泛,如下图所示,假设该装置使用步进电机实现物体 X 的移动,系统要求从 A 点出发,到 B点停止,移动的时间越短越好且系统稳定。

根据步进电机的特性,最大程度加大电机转速(提高脉冲频率),则到达 B 点的时间就越短,但是如果施加脉冲频率太高, 超过了步进电机的最小启动频率,则会造成电机内部的反向电动势的阻尼作用,转子与定子之间的磁反应将跟随不上电信号的变化,导致堵转或者丢步,滑块连动都没动,非常尴尬!
所以要求在电机启动时需要一个低速,但为了实现系统要求,在启动之后慢慢的升高速度,实现一个加速的过程,那如果在达到终点前一直在加速,就又有另外一个问题,到达终点时速度太快就会导致刹不住,出现过冲现象,为了防止这个现象我们需要在达到终点前的一段距离提前减速,使得滑块到达终点时速度刚好为 0,即从最高速度一直减至停止。
1.1 、算法特点
为了使得不出现丢步或者超步现象并且提高效率,需要使得步进电机先以固定的加速度达到目标速度,然后以这个速度运行,快到达目标步数时再减到最低速;整个过程是一个梯形的模型,所以以它的数学模型命名的加减速算法。


从模型中即可反映出算法的特点,数学模型中一共分为三个阶段, OA 加速部分、 AB 匀速部分和 BC 减速部分。
• 在 OA 加速过程中,由低于步进电机的启动频率开始启动(模型中由 0 启动),以固定的加速度增加速度到目标值;
• 在 AB 匀速过程中,以最大速度匀速运动;
• 在 BC 减速部分中,以加速度不变的速度递减到 0;
这种算法是一种在加速过程和减速过程中加速度不变的匀变速控制算法,由于速度变化的曲线有折点,所以在启动、停止、匀速段中很容易产生冲击和振动。
1.2、 算法基础概念及方程
步进电机的转动需要控制器发送脉冲,如果控制器以恒定速度发送脉冲,那么步进电机就以恒定速度转动;如果控制器以加速度运动,那么步进电机就以加速度运动;所以只要改变脉冲的频率就可以改变速度的变化,也就是说调整脉冲之间的时间间隔就可以改变速度。

上图为步进电机与时间的示意图,其中
• t0 表示脉冲发送的起始时刻
• t1 表示脉冲发送的第二个时刻
• t2 表示脉冲发送的第三个时刻
• tt 表示定时器的计数周期,即经过Prescaler预分频后一个小计数脉冲的周期
• c0 表示定时器从 t0~t1 时刻的定时器计数值,即Period记录的小脉冲数
• c1 表示定时器从 t1~t2 时刻的定时器计数值,即Period记录的小脉冲数
• δt 表示两个脉冲之间的间隔时间
以 stm32 的高级定时器 8 为例,定时器 8 的时钟频率为 168MHZ, 如果将分频值设置为 167(即1MHz = 1us),那么定时器的时钟频率则为: ft=168/(167+1)=1MHZ,周期则为1us, 周期与频率为倒数关系,所以分频值为 167的定时器 8 的计数周期为:tt=1/ft = 1/(168/(167+1)= 1us,如果将C设为1000,那么δt = c*tt = c*(1/ft)=1000*(1/(168/(167+1))) = 1000us = 1ms。


其中:
• n 为步进电机所转的脉冲数
• s 为时间单位秒
• spr 为步进电机所转一圈的脉冲数
• rad 为弧度单位 (1rad = (180/π)° ≈ 57.3°)
• rad/sec 弧度每秒; 1 圈(revolutions) = 2 * 3.1415 弧度(rad); (1 rad/sec = 60*1/(2*3.1415) rev/min = 9.55 rpm); 1 rad/sec=9.55 rpm;
1.3、 直线加减速模型解析
在本章的一开始就已经简单的介绍了一下加减速算法的模型
模型阶段分析:

要使得步进电机平稳的启动和停止,则需要控制好步进电机的加速度和减速度,控制好加速度和减速度就可得到好的曲线模型,上图中一共是三个不同变量与时间的变化曲线,分别是 加速度与时间、速度与时间和位置与时间的曲线。
在三个模型中的跳变位置已经画上对应的虚线,分别为虚线 a、虚线 b、虚线 c 和虚线 d
(1)起始点 ~a:在这阶段中,速度、加速度、位置都没有变化;
(2)a~b 阶段:从虚线 a 开始,在这阶段中加速度不变,速度与位置不断上升,并且速度是以恒定加速度上升,上升到最大速度也就是速度曲线与虚线 b 的交点;
(3)b~c 阶段:在这阶段中,以不变的速度在运行,由于速度不变,则加速度为零,并且位置在这阶段呈现一个一次函数的上升阶段;
(4)c~d 阶段:在这阶段中,速度开始呈匀减速的状态,所以加速度为负值,但是位置依旧上升,但上升曲线逐渐变慢;
进一步理解:
在已经对模型的几个阶段有所了解后,下面对加速部分进一步讲解;

上图中分别是对 ω-t 和 θ-t 的变化图:
在 ω-t 图中是梯形加减速模型中的加速部分中,红色竖线表示的是脉冲发生的位置,由加速的方向看(从左到右),在图上两个相邻之间的脉冲之间的距离越来越近,根据 δt=ct 计数周期不变,计数值越来越小也就意味着脉冲之间的间隔时间变短了,频率变快了,直接影响步进电机转的变快了;所以说脉冲之间的定时器计数值是影响脉冲频率变化的重要因素。
在 θ-t 图中,脉冲每产生一次就对应着 θ 轴上的一小格, ω-t 图中工产生 6 次脉冲就对应 θ-t 中的6 次位置的变化。
1.4、 脉冲时间间隔的精确计算
脉冲间隔决定速率变化,所以对于脉冲的时间间隔计算就显得尤为重要。
时间间隔的计算由以下几个公式推导出来:
//公式1

步距角 (α):电机每接收一个脉冲所转过的角度。例如,1.8°的电机,α = 1.8°。 数x (n):从加速起点开始计数的脉冲序号。n=1, 2, 3, ... 总角度 (θ):电机在发出第 n 个脉冲时,从起点开始累计转过的角度。
在第 n 个时刻的脉冲角度,所以 nα 就是 n 个脉冲实际旋转的角度;这里可以说是角度也可以说是位置,单纯说一个脉冲那就是一个步距角,那么电机与丝杆滑台联系到一起那最终作用到的就是滑台的位置移动了。
从匀加速位移公式推导匀加速角度旋转公式:
//公式2 经典的匀加速直线运动位移公式为:
其中 S 是位移,v0是初速度,a 是加速度,t 是时间。对于这个公式应该都不陌生,物理学中的匀加速运动的距离公式,在梯形加减速中加速部分就是匀加速运动。
//公式3 我们将这个模型类比到旋转运动上:

代入公式2,并设初角速度ω0=0,得到公式3:

求解第 n 个脉冲的时刻 tn:
//公式4

公式4的物理意义:它给出了从加速开始,到发出第 n 个脉冲时(即n个步距角),所经过的总时间。
求解相邻脉冲的时间间隔 δt:
脉冲的时间间隔,就是发出第 n 个脉冲与发出第 (n-1) 个脉冲的时刻差。可以将理解为两个时间点,那么相邻脉冲的时间点的差值就是脉冲的时间间隔;所以计数器的时间间隔公式为:
//公式5

现在我们代入公式4:

//公式6
将上面的代入公式5:

公式6的物理意义:它直接给出了第 n 个脉冲与第 (n-1) 个脉冲之间的时间间隔。可以看到,随着 n 增大(即速度越来越快),这个时间间隔 δtn越来越小,对应脉冲频率越来越高。
将上述公式转换为定时器计数器的值 cn如下:
在微控制器中,我们通常用一个定时器来生成精确的时间间隔。定时器以固定的频率 f 计数,每个计数周期的时间是 ti=1/f。
我们需要计算的是,对于时间间隔 δtn,定时器需要计数多少次。
设需要的计数次数为 cn,那么有:
//公式5的另一种形式
将公式6代入上式:
//公式6替代

//公式7,步进电机梯形算法的核心公式

公式7的物理意义:这是在嵌入式编程中实际使用的公式。程序在加速过程中,对于第 n 个脉冲,它需要将定时器的重载值设置为 cn。这样,定时器就会在精确的 δtn时间后产生一个中断,在中断服务程序中发出一个脉冲驱动步进电机。
这里,w 是角加速度,α 是步距角。那么1/ti* (根号2a/w)就是一个常数,因为它只与系统的基本参数(定时器时钟周期ti、电机步距角α、目标角加速度w)有关,而与脉冲序号n 无关。
我们把这个常数部分单独定义为一个新的基准常量 c0:
//公式8

公式8的物理意义:
c0是一个缩放因子或基准计数值。
它包含了所有的系统硬件参数和控制目标(加速度)。
它代表了加速度和系统时钟对脉冲间隔的总体影响程度。加速度 w 越大,c0越小,意味着整体脉冲间隔会更短(加速更快)。
用c0重写cn,现在,我们将这个新定义的 c0代入原来的公式7:
//公式9

注意:脉冲序号的计数方式可能有所不同。它可能是从 n=0 开始计数第一个脉冲,也可能是为了公式的对称性。

公式9的物理意义:
这是梯形加速算法的核心计算式。
它将被直接用于嵌入式程序的实时计算或查表。
它将复杂的计算分解为两步:
初始化阶段:根据系统参数和加速度目标,一次性算出一个常量 c0(公式8)。
运行时循环:在加速过程中,对于每一个脉冲序号 n,只需要进行一次平方根查找/计算和一次乘法,即可得到下一个脉冲的定时器值 cn(公式9)。
此时第 n 次的脉冲间隔的计数值只与第一次的计数值和次数有关。
在步进电机梯形算法的实际实现中,直接计算平方根 sqrt(n) 对于微控制器(MCU)来说计算量太大,微控制器的计算能力有限,会严重影响实时性能,因此在此使用泰勒公式进行泰勒级数逐级逼近的方法。使用泰勒公式(Taylor Series) 进行近似计算是一种经典的优化方法。在这里主要是用的是泰勒公式的特例——麦克劳林公式,具体如下图:
//公式10,麦克劳林公式


根据上面的式子,可以对 Cn 进行一些转换,以使用简单的计算方法得出 Cn, 下面是其推导过程:
//公式11

推导步骤
//公式





这样就避免了开方两次的问题,由于在化简时舍弃了无穷小余项,所以验证下化简前后的误差:
//公式

当 n=1 时,分别带入以上两个式子,求得其结果,发现出现偏差,但是可以通过将化简后的 C0乘以一个 0.69 的参数进行矫正这个误差。
1.5、加减速度与步数的关系
根据上一小节推导的公式可得:

//公式理解



(1)这是初速度为 0 的匀加速运动的基础方程,只不过其中一些变量是与具体参数有关的,具体可以参考上一小节的公式;
(2)步距角与步数的乘积相当于旋转角度,或者位置;
(3)将 (1) 与 (2) 的关系式联系起来就是公式(3);
(4)根据 V=V0+at计算瞬时速度,初始速度为 0 得 V=at,再将其带入相关变量;
(5)将公式(4)带入公式(5)
在上述公式中有相关变量分别为:步数、加速度、速度和步距角四个变量,由于步距角是一个固定值, 所以当速度设置为最大值时步数就与加速度成反比,也就是当加速度小的时候需要较多的步数,当加速度大的时候需要较少的步数就可以到达目标速度。
由于步进电机 加速到最大的时候速度与其刚开始减速时的速度一样,具体看下图:

根据上图,我们只要修改步数就可以修改加速度的数值,所以有以下公式:
//公式12
当初始速度和末速度都为 0 并且给定步数时,为了得到加速的步数,将公式 12 整理得:
//公式13
(1)将公式 12 写到这里;
(2)将等式两端分别加上同一项,保证等式;
(3)将等式两端分别提出公因式;
(4)将左侧除 n1 外多余的项移到右侧;即可得到公式 13;
1.6、算法理论实现
由于算法在计算过程中涉及到一些浮点型运算,大量的浮点型运算会使得效率大大降低为了使在计算浮点型的速度得到更好的优化,所以这一小节主要讲解由算法到代码的一些变量参数的放大转换过程和一些相关算法的不同情况。

控制步进电机需要四个描述速度曲线的参数;速度曲线从零速度开始,加速到给定速度并持续到减速开始,并且最后减速至零给定步数的速度。
• step 需要移动的步数
• accel 加速度
• decel 减速度
• speed 最大速度
1.6.1 设置计算
(1)最小间隔
根据前几小节可有以下公式:

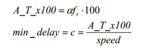
在上图中最终得出的是间隔时间与速度的函数关系式;其中步距角与定时器的频率为定值,所以说速度与脉冲时间间隔成反比;

在这里将步距角与定时器的频率放大 100 倍,并将数值赋值给变量 A_T_x100, 所以最小的时间间隔的公式就为 min_delay=A_T_x100/speed ;实际上在这里分母speed也应该放大100倍的,只是不在这个公式里放大。
在嵌入式系统(特别是低端MCU)中,浮点数运算(除法)是昂贵的,它消耗大量CPU时间和内存。而整数运算则高效得多。
“放大100倍”的本质是将浮点数常数转换为整数,使用定点数运算来模拟浮点数运算。
(2)C0(最开始时定时器的计数值)
以下是加速度相关的参数:

如上图所示引入校正因子和缩放
原始公式1是精确的,但在实际系统中,可能需要一个经验性的校正因子来补偿理论模型与实际物理系统之间的细微差异(如电路延迟、电机响应时间等)。
同时,为了在嵌入式系统中使用定点数运算(整数运算) 来避免速度慢的浮点数运算,需要进行缩放。
于是,定义了以下参数:
TLFREQ_148 = 0.69 * f_i / 100 //定时器频率缩放
目的1(校正):引入 0.69 作为经验性校正因子。这是通过实验测得,为了使理论计算出的脉冲间隔更符合电机实际加速过程。
目的2(缩放):/ 100 是对定时器频率进行第一次缩放,为后续的整数运算做准备。
ASQ = 2α * 10,000,000,000 //步距角放大
目的(缩放):将 步距角2α 这个很小的浮点数放大 10^10 倍,变成一个较大的整数 ASQ。这样在后续计算中就可以使用整数运算。
step_delay = c_0 = T1_FREQ_148 * sqrt( A_SQ / accel ) / 100
这是工程化后的计算公式,用于在代码中实际计算 c_0。
注意这里的 accel 很可能也已经被缩放了(从后面的推导可知,它被放大了 10^2 倍)。
以上两个关于 C0 的是带入参数后的式子和原始的式子,在 step_delay 中参数 T1_FREQ_148 矫正了误差并且将其缩小 10 的两次方倍,将 A_SQ 放大 10 十次方倍,由于放大倍数是在根号下放大的 10 的 10 次方,开根号后就是 5 次方,加速度也放大 10 的二次方倍,在除以 100,正好就是与原始相等;(具体运算如下图)

• 步骤(1)中是原始式子
• 步骤(2)矫正误差并且将放大的倍数分解
• 步骤(3)整理分解的倍数
• 步骤(4)最后的结果只与原始有误差矫正的区别
以上的整理说明,即使放大或者缩小了部分参数的倍数只要保证结果不变,会给计算带来很大的便利。
1.6.2 加减速情况分析
对于加减速的情况来说,由于已经设定好了步进电机加速度、减速度、最大速度和步数,所以说一共分为两种情况:
第一种情况:持续加速到最大速度然后再减速到 0
第二种情况:在没达到最大速度之前就需要开始减速到 0
(1)第一种情况

根据上图可以很明显的看到 7 个参数,其中
• speed: 算法设置的最大速度;
• accel:加速度;
• decel:减速度;
• step :总步数;
以上的参数都是程序里面直接给出的,不需要求解。
• max_s_lim:速度从 0 加速到 speed 所需的步数;
• accel_lim:在忽略虽大速度的情况下,开始减速之前的步数,也可以理解为加速度曲线与减速度曲线的交点;
• decel_val:实际减速的步数;
以上的参数都是需要根据前面的计算推导求解的。
max_s_lim:
根据速度与路程的物理公式,所以有以下公式:

并将其图中相关参数带入,速度从 0 加速到 speed 所需的步数具体如下图:

注: speed 是扩大 100 倍后的数值,那么平方就是 10000 倍,所以分子需要乘以 100,才能保证结果不变
accel_lim:
最大的加速步数公式推导可以参考 加减速度与步数的关系章节;

如果 max_s_lim <accel_lim ,则通过达到所需速度来限制加速度;所以减速度取决于此,在这种情况下,通过以下方法找到 decal_val:
decel_val:
根据公式 12 可以直接推出减速的步数 decel_val 的表达式;但是由于是减速度的步数,所以需要带上负号,具体公式如下图:


(2) 第二种情况

这种设置情况:最大速度设置偏大,而加速度设置偏小,导致电机步进了很多步数依然没有达到最大速度,但此时距离终点 Step 可走的步速越来越少,再不减速将无法在终点时使速度降为 0。所以这种情况,其加速模型并不呈现梯形,加速不到最大速度将要被迫降速。
这种情况是在还未达到最大速度时就已经开始减速了;其中 accel_lim、 max_s_lim 不需要重复计算了;
当 max_s_lim>accel_lim 时,如上图加速受减速开始的限制,所以 decel_val 表达式为:

1.7、 中断状态区分

上图表现的是速度在数学模型中的几个阶段性速度,具体看上图。

上图是这几个状态机之间切换的的关系图:
• 第一种情况:当步数为 1 时,毫无疑问直接进入到减速阶段然后到停止状态
• 第二种情况:当步数大于 1,并且会加到最大速度,会经过:加速状态-> 匀速状态-> 减速状态-> 停止状态
• 第三种情况:当步数大于 1,并且不会加到最大速度,会经过:加速状态-> 减速状态-> 停止状态
对于加减速的每一步来说,都需要重新计算下一步的时间,计算的过程中可能会出现除不尽的项式,为了更有利的加减速,可以采用加速向上取整,减速向下取整的原则来做运算,也可以采用余数累计的方法,在这里使用的是将余数累计的方法来提高间隔时间的精度和准确性。
根据公式 11 可有:






浙公网安备 33010602011771号