电机分类2
一、 电机分类及介绍

电机按工作电源种类划分:可分为直流电机和交流电机。
按结构和工作原理可划分:可分为直流电动机、异步电动机、同步电动机。
按用途可划分:驱动用电动机和控制用电动机,控制用电动机又划分:步进电动机和伺服电动机等。
按起动与运行方式可划分:电容起动式单相异步电动机、电容运转式单相异步电动机、电容起动运转式单相异步电动机和分相式单相异步电动机。
按转子的结构可划分:笼型感应电动机(旧标准称为鼠笼型异步电动机)和绕线转子感应电动机(旧标准称为绕线型异步电动机)。
按运转速度可划分:高速电动机、低速电动机、恒速电动机、调速电动机。低速电动机又分为齿轮减速电动机、电磁减速电动机、力矩电动机和爪极同步电动机等。调速电动机除可分为有级恒速电动机、无级恒速电动机、有级变速电动机和无级变速电动机外,还可分为电磁调速电动机、直流调速电动机、PWM变频调速电动机和开关磁阻调速电动机。
电机的转速(转子转速)小于旋转磁场的转速,从而称为异步电机,它和感应电机基本上是相同的。
同步电机的特点是稳态运行时,转子的转速和电网频率之间有不变的关系n=ns=60f/p,ns为同步转速。若电网的频率不变,则稳态时同步电机的转速恒为常数,而与负载的大小无关。同步电机分为以下4大类:
(1)、交流同步电动机
交流同步电动机是一种恒速驱动电动机,其转子转速与电源频率保持恒定的比例关系,被广泛应用于电子仪器仪表、现代办公设备、纺织机械等。
(2)、永磁同步电动机
①永磁同步电动机属于异步启动永磁同步电动机,其磁场系统由一个或多个永磁体组成,通常是在用铸铝或铜条焊接而成的笼型转子的内部,按所需的极数装镶有永磁体的磁极。定子结构与异步电动机类似。
②当定子绕组接通电源后,电动机以异步电动机原理起动动转,加速运转至同步转速时,由转子永磁磁场和定子磁场产生的同步电磁转矩将转子牵入同步,电动机进入同步运行。
(3)、磁阻同步电动机
①磁阻同步电动机也称反应式同步电动机,是利用转子交轴和直轴磁阻不等而产生磁阻转矩的同步电动机,其定子与异步电动机的定子结构类似,只是转子结构不同。
②磁阻同步电动机是从同笼型异步电动机演变来的,为了使电动机能产生异步起动转矩,转子还设有笼型铸铝绕阻。转子上开设有与定子极数相对应的反应槽,用来产生磁阻同步转矩。
③磁阻同步电动机也分为单相电容运转式、单相电容起动式、单相双值电容式等多种类型。
(4)、磁滞同步电动机
①磁滞同步电动机是利用磁滞材料产生磁滞转矩而工作的同步电动机。它分为内转子式磁滞同步电动机、外转子式磁滞同步电动机和单相罩极式磁滞同步电动机。
②内转子式磁滞同步电动机的转子结构为隐极式,外观为光滑的圆柱体,转子上无绕组,但铁心外圆上有用磁滞材料制成的环状有效层。
③定子绕组接通电源后,产生的旋转磁场使磁滞转子产生异步转矩而起动旋转,随后自行牵入同步运转状态。在电动机异步运行时,定子旋转磁场以转差频率反复地磁化转子;在同步运行时,转子上的磁滞材料被磁化而出现了永磁磁极,从而产生同步转矩。
同步电机的工作原理如下:
1) 主磁场的建立:励磁绕组通以直流励磁电流,建立极性相间的励磁磁场,即建立起主磁场。
2) 载流导体:三相对称的电枢绕组充当功率绕组,成为感应电势或者感应电流的载体。
3) 切割运动:原动机拖动转子旋转(给电机输入机械能),极性相间的励磁磁场随轴一起旋转并顺次切割定子各相绕组。
4) 交变电势的产生:由于电枢绕组与主磁场之间的相对切割运动,电枢绕组中将会感应出大小和方向按周期性变化的三相对称交变电势。通过引出线,即可提供交流电源。
5) 交变性与对称性:由于旋转磁场极性相间,使得感应电势的极性交变;由于电枢绕组的对称性,保证了感应电势的三相对称性。
二、永磁同步电机
1、概念介绍
永磁同步电动机以永磁体提供励磁,使电动机结构较为简单,降低了加工和装配费用,且省去了容易出问题的集电环和电刷,提高了电动机运行的可靠性;又因无需励磁电流,没有励磁损耗,提高了电动机的效率和功率密度。
永磁同步电机主要由定子、转子和端盖等部件构成,定子与普通感应电动机基本相同,采用叠片结构以减小电动机运行时的铁耗,其中装有三相交流绕组,称作电枢。转子可以制成实心的形式,也可以由叠片压制而成,其上装有永磁体材料。根据电机转子上永磁材料所处位置的不同,永磁同步电机可以分为突出式与内置式两种结构形式。
1.1永磁同步电机转矩特性
为了提高电机的转矩特性,许多学者和研究机构在永磁同步电机的结构设计上进行了大胆的尝试和革新,并且取得了许多新进展。为了解决槽宽和齿部宽度的矛盾,开发了横向磁通电( transverse flux machine)技术,电枢线圈和齿槽结构在空间上垂直,主磁通沿着电机的轴向流通,提高了电机的功率密度;采用双层的永磁体布置,使得电机的交轴电导提高,从而增加了电机的输出转矩和最大功率;改变定子齿形和磁极形状以减少电机的转矩脉动等。
1.2永磁同步电机计算原理
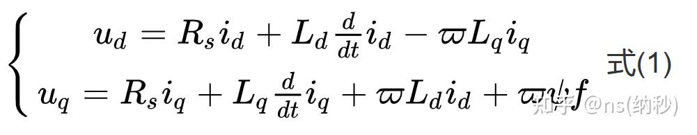
当三相电流通入永磁同步电机定子的三相对称绕组中时,电流产生的磁动势合成一个幅值大小不变的旋转磁动势。由于其幅值大小不变,这个旋转磁动势的轨迹便形成一个圆,称为圆形旋转磁动势,其大小正好为单相磁动势最大幅值的1.5倍。

式中,F为圆形旋转磁动势,(T・m);Fφl为单相磁动势的最大幅值,(T・m);k为基波绕组系数;p为电机极对数;N为每一线圈的串联匝数;I为线圈中流过电流的有效值,由于永磁同步电机的转速恒为同步转速,因此转子主磁场和定子圆形旋转磁动势产生的旋转磁场保持相对静止。两个磁场相互作用,在定子与转子之间的气隙中形成一个合成磁场,它与转子主磁场发生相互作用,产生了一个推动或者阻碍电机旋转的电磁转矩Te,即

式中,Te为电磁转矩,(N・m);θ为功率角,rad;
BR为转子主磁场;Bnet为气隙合成磁场。
由于气隙合成磁场与转子主磁场位置关系的不同,永磁同步电机既可以运行于电动机状态,也可以运行于发电机状态。转子主磁场与气隙合成磁场之间的夹角称为功率角。
-
当气隙合成磁场滞后于转子主磁场时,产生的电磁转矩与转子旋转方向相反,这时电机处于发电状态;
-
相反,当气隙合成磁场超前于转子主磁场时,产生的电磁转矩与转子旋转方向相同,这时电机处于电动状态。
在两相旋转坐标系下,定子电压方程为:

根据式(1)得两相旋转坐标系下的永磁同步电机稳态运行相量图。

1.3、弱磁扩速能力
电动汽车驱动用永磁同步电机普遍采用弱磁扩速。采用弱磁控制后,永磁同步电机的运行特性更加适合电动汽车的驱动要求。在同等功率要求的情况下,降低了逆变器容量,提高了驱动系统的效率。为此,国内外的研究机构提出了多种方案,如采用双套定子结构,在不同转速时使用不同绕组,以最大限度地利用永磁体磁场;采用复合转子结构,转子增加磁阻段以控制电机直轴和交轴的电抗参数,从而增加电机扩速能力;定子采用深槽以增加直轴漏抗以扩大电机的转速范围。
2、永磁同步电机分类
2.1、按励磁电流的供给方式分类
永磁同步电机是利用永磁体建立励磁磁场的同步电机,其定子产生旋转磁场,转子用永磁材料制成。同步电机实现能量转换需要一个直流磁场,产生这个磁场的直流电流称为电机的励磁电流。
-
他励电机:从其他电源获得励磁电流的电机。
-
自励电机:从电机本身获得励磁电流的电机。
2.2、按供电频率分类
永磁无刷电机包括:
-
永磁无刷直流电机,只需要方波型逆变器供电。
-
永磁无刷交流电机,作为电动机运行时均需变频供电,需要正弦波型逆变器供电。
2.3、按气隙磁场分布分类
-
正弦波永磁同步电机:磁极采用永磁材料,输入三相正弦波电流时,气隙磁场按正弦规律分布,简称为永磁同步电机。
-
梯形波永磁同步电机:磁极仍为永磁材料,但输入方波电流,气隙磁场呈梯形波分布,性能更接近于直流电机。用梯形波永磁同步电机构成的自控变频同步电机又称为无刷直流电机。
3、永磁同步电机控制方法
3.1、恒压频比控制方法
永磁同步电机的恒压频比控制方法与交流感应电机的恒压频比控制方法相似,控制电机输入电压的幅值和频率同时变化,从而使电机磁通恒定,恒压频比控制方法可以适应大范围调速系统的要求。
在不反馈电流、电压或位置等物理信号的前提下,仍能达到一定的控制精度,这是恒压频比控制方法的最大优点。恒压频比控制方法控制算法简单、硬件成本低廉,在通用变频器领域得到了广泛应用。恒压频比控制方法的缺点也显而易见,由于在控制过程中没有反馈速度、位置或任何其他的信号,所以几乎完全不能获得电机的运行状态信息,更无法精确控制转速或电磁转矩,系统性能一般,动态响应较差,尤其在给定目标速度发生变化或者负载突变时,容易产生失步和振荡等问题。显然,该种控制方法不能分别控制转矩和励磁电流,在控制过程中容易存在较大的励磁电流,影响电机的效率。因此,此种控制方法常用于性能需求较低的通用变频器中,如空调、流水线的传送带驱动控制、水泵和风机的节能运行等。
3.2、直接转矩控制技术
直接转矩控制(Direct Self-Control ,DSC)在定子静止坐标系上构建磁链和电磁转矩模型,通过施加不同的电压矢量实现电磁转矩和定子磁链的控制。直接转矩控制方法有着算法简单、转矩响应好等优点,因此,在要求高瞬态转矩响应的场合,此种方法得到了广泛应用。
由于控制存在固有的缺点使得直接转矩控制方法在速度较低时控制频率低,转矩脉动较大。因此减小低速时的转矩脉动也成了直接转矩控制方法中的研究热点。
3.3、矢量控制技术
矢量控制技术诞生于上世纪 70 年代初,永磁同步电机的矢量控制系统是参照直流电机的控制策略,利用坐标变换将采集到的电机三相定子电流、磁链等矢量按照转子磁链这一旋转矢量的方向分解成两个分量,一个沿着转子磁链方向,称为直轴励磁电流;另一个正交于转子磁链方向,称为交轴转矩电流。根据不同的控制目标调节励磁电流和转矩电流,进而实现对速度和转矩的精确控制,使控制系统获得良好的稳态和动态响应特性。
根据不同的控制目标,永磁同步电机矢量控制算法可以分为以下几种:id=0控制、最大转矩/电流控制、弱磁控制等。这些性能指标均可以通过对直轴励磁电流和交轴转矩电流的独立控制来实现。
3.4、智能控制方法
由于永磁同步电机具有非线性和多变量等特点,其控制难度大,控制算法复杂,传统的矢量控制方法往往不能满足要求。为此,一些先进的控制方法在永磁同步电机调速系统中得到应用,包括自适应观测器、模型参考自适应、高频信号注入法及模糊控制、遗传算法等智能控制方法。这些控制方法不依赖于控制对象的数学模型,适应性和鲁棒性好,对于永磁同步电机这样的非线性强的系统具有独特的优势。
4、优缺点
永磁同步电机可以将电机整体地安装在轮轴上,形成整体直驱系统,即一个轮轴就是一个驱动单元,省去了一个齿轮箱。永磁同步电机的优点如下:
1) 永磁同步电机本身的功率效率高以及功率因数高;
2) 永磁同步电机发热小,因此电机冷却系统结构简单、体积小、噪声小;
3) 系统采用全封闭结构,无传动齿轮磨损、无传动齿轮噪声,免润滑油、免维护;
4) 永磁同步电机允许的过载电流大,可靠性显著提高;
5) 整个传动系统重量轻,簧下重量也比传统的轮轴传动的轻,单位重量的功率大;
6) 由于没有齿轮箱,可对转向架系统随意设计:如柔式转向架、单轴转向架,使列车动力性能大大提高。
7) 由于采用了永磁材料磁极,特别是采用了稀土金属永磁体(如钕铁硼等),其磁能积高,可得到较高的气隙磁通密度,因此在容量相同时,电机的体积小、重量轻。
8) 转子没有铜损和铁损,也没有集电环和电刷的摩擦损耗,运行效率高。
9) 转动惯量小,允许的脉冲转矩大,可获得较高的加速度,动态性能好,结构紧凑,运行可靠。
缺点如下:
1) 控制问题:永磁电机制成后不需外界能量即可维持其磁场,但也造成从外部调节、控制其磁场极为困难。永磁发电机难以从外部调节其输出电压和功率因数,永磁直流电动机不能再用改变励磁的办法来调节其转速。稀土永磁电机的电磁负荷很高,制成后磁场难以调节,其动力控制系统要比感应电机复杂得多。传统的电机设计理论、计算方法、电机控制系统都不能适应高性能电机的研制要求。
2) 成本问题:由于稀土永磁目前价格还比较贵,稀土永磁电机的成本一般比电励磁电机高,这需要用它的高性能和运行费用的节省来补偿。因此永磁电机适于小功率的场合。
3) 退磁问题:稀土永磁电机对于工作环境要求比较苛刻,超过180℃的稀土永磁材料将出现不可逆的退磁和失效情况;在剧烈振动或温差较大的情况下容易出现断裂;材料容易氧化腐蚀,必须进行表面涂装才能使用;稀土永磁电机对于过载十分敏感,一旦过载将导致永磁材料的退磁。
5、典型应用
目前绝大多数电动汽车品牌采用的是永磁同步电机,包含宝马i3和比亚迪、传祺新能源、北汽新能源等国内几乎所有品牌。
比亚迪采用的是交流永磁同步电机,这种电机的最大功率不是很大只有160千瓦,但是额定功率和蔚来与特斯拉的驱动电机不分上下,另外这种电机的尺寸相对比较小。优点是效率比较高,高效节能。缺点是高温情况下有退磁的风险,一旦退磁功率就会下降。所以需要很好的冷却系统。采用的也是冷却液散热。
传祺GE3采用了液冷式永磁同步电机,由北京精进电机供应,该电机供应商也是北汽新能源的核心供应商。最大功率180马力(132kw),最大扭矩290Nm,该电机配备了一套纯电温控系统,具备低温加热、高温冷却的功能,在-30℃到50 ℃环境下,都能尽量确保动力的完整输出。
三、感应电机(异步电机)
1、概念介绍
感应电机是指一种定转子之间靠电磁感应作用,在转子内感应电流以实现机电能量转换的电机。感应电机的定子由定子铁心、定子绕组和机座三部分组成。转子由转子铁心、转子绕组和转轴组成。转子铁心也是主磁路的一部分,一般由厚0.5mm的硅钢片叠成,铁心固定在转轴或转子支架上。整个转子的外表呈圆柱形。转子绕组分为笼型和绕线型两类。
正常情况下,感应电机的转子转速总是略低或略高于旋转磁场的转速(同步转速),因此感应电机又称为“异步电机”。 感应电机是异步电机的一种,由于异步电机主要是感应电机,所以也有人直接在定义时候将异步电机定义为感应电机。但异步电机不仅包括感应电机还包括双馈异步电机和交流换向器电机。
-
笼型转子
笼型绕组是一个自行闭合的绕组,它由插人每个转子槽中的导条和两端的环形端环构成,如果去掉铁心,整个绕组形如一个“圆笼”,因此称为笼型绕组。为节约用铜和提高生产率,小型笼型电机一般都用铸铝转子;对中、大型电机.由于铸铝质量不易保证,故采用铜条插入转子槽内、再在两端焊上端环的结构。笼型感应电机结构简单、制造方便,是一种经济、耐用的电机,所以应用广泛。
-
绕线型转子
绕线型转子的槽内嵌有用绝缘导线组成的三相绕组,绕组的三个出线端接到设置在转轴上的三个集电环上,再通过电刷引出.这种转子的特点是,可以在转子绕组中接入外加电阻,以改善电动机的起动和调速性能。
与笼型转子相比较,绕线型转子结构稍复杂,价格稍贵,因此只在要求起动电流小、起动转矩大,或需要调遣的场合下使用。
容量较大的电动机,硅钢片两面涂以绝缘漆作为片间绝缘。小型定子铁心用硅钢片叠装、压紧成为一个整体后固定在机座内;中型和大型定子铁心由扇形冲片拼成。
在定子铁心内圆,均匀地冲有许多形状相同的槽,用以嵌放定子绕组。
-
小型感应电机通常采用半闭口槽,由高强度漆包线绕成的单层(散下式)绕组,线圈与铁心之间垫有槽绝缘。
-
中型感应电机通常采用半开口槽,半闭口槽可以减少主磁路的磁阻,使激磁电流减少,但嵌线较不方便。
-
大型高压感应电机都用开口槽,以便于嵌线。为了得到较好的电磁性能,中、大型感应电机都采用双层短距绕组 。
2、感应电机三种运行状态
感应电机的负载发生变化时,转子的转速和转差率将随之而变化,使转子导体中的电动势、电流和电磁转矩发生相应的变化,以适应负载的需要。按照转差率的正负和大小,感应电机有电动机、发电机和电磁制动三种运行状态。
当转子转速低于旋转磁场的转速时(ns>n>0),转差率0<s<l。设定子三相电流所产生的气隙旋转磁场为逆时针转向,按右手定则.即可确定转子导体“切割”气隙磁场后感应电动势的方向。由于转子绕组是短路的,转子导体中便有电流流过。转子感应电流与气隙磁场相互作用,将产生电磁力和电磁转矩;按左手定则,电磁转矩的方向与转子转向相同,即电磁转矩为驱动性质的转矩此时电机从电网输入功率,通过电磁感应,由转子输出机械功率,电机处于电动机状态。
若电机用原动机驱动,使转子转速高于旋转磁场转速(n>ns),则转差率s<0。此时转子导体中的感应电动势以及电流的有功分量将与电动机状态时相反,因此电磁转矩的方向将与旋转磁场和转子转向两者相反,即电磁转矩为制动性质的转矩。为使转子持续地以高于旋转磁场的转速旋转.原动机的驱动转矩必须克服制动的电磁转矩;此时转子从原动机输入机械功率,通过电磁感应由定于输出电功率,电机处于发电机状态。
若由机械或其他外因使转子逆着旋转磁场方向旋转(n<0),则转差率s>1。此时转子导体“切割”气隙磁场的相对速度方向与电动机状态时相同,故转子导体中的感应电动势和电流的有功分量与电动机状态时同方向,电磁转矩方向亦相同。但由于转子转向改变,故对转子而言,此电磁转矩表现为制动转矩。此时电机处于电磁制动状态,它一方面从外界输入机械功率,同时又从电网吸取电功率,两者都变成电机内部的损耗。
3、感应电机特征
感应电动机的额定值有:
(1)额定功率PN:指电动机在额定状态下运行时,轴端愉出的机械功率.单位为千瓦(kw)。
(2)定子额定电压UN:指电机在额定状态下运行时,定子绕组应加的线电压。单位为伏(v)。
(3)定子额定电流IN/”指电机在额定电压下运行,输出功率达到额定功率时,流入定子绕组的线电流,单位为安(A)。
(4)额定频率fN指加于定子边的电源频率,我国工频规定为50赫(Hz)。
(5)额定转速nN电机在额定状态下运行时转子的转速,单位为转/分(r/min)。除上述数铭牌上有时还标明额定运行时电机的功率因数、效率、温升、定额等。对绕线型电机,还常标出转子电压和转子额定电流等数据。
功率强大的AC感应电机慢慢发展为标准的电机设计类型,其特点是效率高,且价格具诱惑力。美国国家电气制造协会(National Electrical Manufacturers Association, NEMA)已经开发了针对于此的规范,名为NEMA A、B、C和D电机类型,将典型电机特性标准化,如起动电流、转差、转矩点,以适应各种不同的负载应用。
以下是NEMA电机类型的纲要:
类型A:常规起动转矩(通常为额定的150-170%),相应起动电流高。极限转矩是所有NEMA类型中最高的。能在短时间内处理重负荷。转差小于或等于5%。一个典型的应用是注塑机械的电机。
类型B:是AC感应电机中类型最多的电机。它的起动转矩与类型A的相似,但有时还要低,提供较低的起动电流。但是,它在工业应用中锁定转子转矩,仍然允许起动负载。转差小于或等于5%。电机效率和满载功率因素比较高。典型的应用包括泵、风扇、和机床。
类型C:提供高起动转矩(高于类型A和B,通常超过额定的200%)。它常用于驱动重起步负载。这些电机几乎可运行在全速时,而不出现过载。起动电流低。转差小于或等于5%。
类型D:在所有NEMA电机类型中,是能提供最高的起动转矩的电机。起动电流和满载速度低。高转差值(5-13%),电机适用于在电机运行速度中,没有负载变换或没有剧烈变换时,例如调速轮能量存储的机械。不少类型的子分类还包括更宽的转差范围。这种电机类型一般是特殊定制的。
这些电机的速度-转矩特性各不相同。定转子转矩(起动转矩)指最小转矩,由转子停止时产生,此时为额定电压和频率。极限转矩是最大转矩,在突然的电机速度降低前产生,出现额定速度(额定电压和频率)。拉升转矩是最小转矩,在电机的速度从停止一直到速度点时产生,此时极限转矩出现。
欧洲及全球的电机市场 有不同的电机类型和规范,并由IEC定义。其中一个IEC感应电机类型,名为N类型,运行特性与NEMA的A和B类型有可比之处。
单相电机的电源有A(110V 60Hz)、B(220V 60Hz)、C(100V 50/60Hz)、D(200V 50/60Hz)、E(115V 60Hz)、X(200-240V50Hz)等。
三相电机的电源有U(200V 50/60Hz)、T(220V 50/60Hz)、S(380-440V 50/60Hz)等。
4、优缺点
1) 小型轻量化;
2) 易实现转速超过10000r/min的高速旋转;
3) 高速低转矩时运转效率高;
4) 低速时有高转矩,以及有宽泛的速度控制范围;
5) 高可靠性(坚固);
6) 制造成本低;
7) 控制装置的简单化;
8) 感应运转型感应电机不只在启动时,在运转时也使用辅助线圈和电容器。虽然启动转矩不是很大,但其结构简单,信赖度高,效率也高。
9) 可以连续运转。
10) 随负荷的大小,电机的额定转速也会改变。
11) 使用于不需要速度制动的应用场合。
缺点:功率因数滞后,轻载功率因数低,调速性能稍差。
5、转速控制方法
可以通过以下两种方法来改变感应电机的转速:
-
改变定子的端电压。
-
改变定子的频率。新能源汽车电机的输出转矩可随定子的端电压变化而变化。注意,电压的变化不会改变电机最大转矩所对应的转速差。
在感应电机的稳态学习中我们知道,感应电机调速方法很多,变压、变频、变极及绕线转子感应电动机转子回路串电阻或串入附加电动势(串级调速或双馈调速)都可以调节电机的转速。但多年以来的研究和实践表明,变频调速是感应电动机最理想的调速方法。
基于感应电机稳态模型的恒压频比控制或电压-频率协调控制,虽然在一定转速范围内实现高效率的平滑调速,从而满足一般生产机械对调速系统的要求,但是由于电机内部存在的耦合效应,系统动态响应缓慢,对于需要高动态性能的应用场合,就不能满足要求。要实现高动态性能的调速系统或伺服系统,必须依据感应电动机的动态数学模型来设计控制系统。在各种基于动态数学模型的交流调速方法中,目前最为广泛应用的就是矢量控制 。
6、典型应用
特斯拉采用的是交流异步感应电机,是由中国台湾富田电机设计生产的,最大功率高达275千瓦到385千瓦(不同车型搭载的电机不一样),内部采用的是鼠笼结构的转子。电机采用冷却液散热。这种电机的优点是,结构简单,制造成本低,长时间使用没有退磁风险。缺点是电机低速时效率不高,耗电量大。
蔚来汽车后面的电机采用的是交流异步感应电机,原理上和特斯拉电机是一样的,全球首次采用了铜制的转子,内部也是采用鼠笼结构,从技术方面超越了特斯拉的驱动电机。同样采用冷却液散热。最大功率240千瓦,额定功率60千瓦。最大功率比特斯拉的功率稍低,额定功率要大于特斯拉的电机。
四、直流无刷电机
1、概念介绍
直流无刷电机由电动机主体和驱动器组成,是一种典型的机电一体化产品。 无刷电机是指无电刷和换向器(或集电环)的电机,又称无换向器电机。早在十九纪诞生电机的时候,产生的实用性电机就是无刷形式,即交流鼠笼式异步电动机,这种电动机得到了广泛的应用。但是,异步电动机有许多无法克服的缺陷,以致电机技术发展缓慢。上世纪中叶诞生了晶体管,因而采用晶体管换向电路代替电刷与换向器的直流无刷电机就应运而生了。这种新型无刷电机称为电子换向式直流电机,它克服了第一代无刷电机的缺陷。
电动机的定子绕组多做成三相对称星形接法,同三相异步电动机十分相似。电动机的转子上粘有已充磁的永磁体 ,为了检测电动机转子的极性,在电动机内装有位置传感器。驱动器由功率电子器件和集成电路等构成,其功能是:接受电动机的启动、停止、制动信号,以控制电动机的启动、停止和制动;接受位置传感器信号和正反转信号,用来控制逆变桥各功率管的通断,产生连续转矩;接受速度指令和速度反馈信号,用来控制和调整转速;提供保护和显示等等。
直流无刷电机是同步电机的一种,也就是说电机转子的转速受电机定子旋转磁场的速度及转子极数(p)影响:n=60f / p。在转子极数固定情况下,改变定子旋转磁场的频率就可以改变转子的转速。直流无刷电机即是将同步电机加上电子式控制(驱动器),控制定子旋转磁场的频率并将电机转子的转速回授至控制中心反复校正,以期达到接近直流电机特性的方式。也就是说直流无刷电机能够在额定负载范围内当负载变化时仍可以控制电机转子维持一定的转速。
直流无刷驱动器包括电源部及控制部,电源部提供三相电源给电机,控制部则依需求转换输入电源频率。电源部可以直接以直流电输入(一般为24v)或以交流电输入(110v/220 v),如果输入是交流电就得先经转换器(converter)转成直流。不论是直流电输入或交流电输入要转入电机线圈前须先将直流电压由换流器(inverter)转成3相电压来驱动电机。换流器(inverter)一般由6个功率晶体管(q1~q6)分为上臂(q1、q3、q5)/下臂(q2、q4、q6)连接电机作为控制流经电机线圈的开关。控制部则提供pwm(脉冲宽度调制)决定功率晶体管开关频度及换流器(inverter)换相的时机。直流无刷电机一般希望使用在当负载变动时速度可以稳定于设定值而不会变动太大的速度控制,所以电机内部装有能感应磁场的霍尔传感器(hall-sensor),做为速度之闭回路控制,同时也做为相序控制的依据。但这只是用来做为速度控制并不能拿来做为定位控制。
2、优缺点
直流电机具有响应快速、较大的起动转矩、从零转速至额定转速具备可提供额定转矩的性能,但直流电机的优点也正是它的缺点,因为直流电机要产生额定负载下恒定转矩的性能,则电枢磁场与转子磁场须恒维持90°,这就需要碳刷及整流子。碳刷及整流子在电机转动时会产生火花、碳粉因此除了会造成组件损坏之外,使用场合也受到限制。
交流电机没有碳刷及整流子,免维护、坚固、应用广,但特性上若要达到相当于直流电机的性能须用复杂控制技术才能达到。现今半导体发展迅速功率组件切换频率加快许多,提升驱动电机的性能。微处理机速度亦越来越快,可实现将交流电机控制置于一旋转的两轴直角坐标系统中,适当控制交流电机在两轴电流分量,达到类似直流电机控制并有与直流电机相当的性能。
2.1、直流无刷电机优点
a) 可替代直流电机调速、变频器+变频电机调速、异步电机+减速机调速;
b) 具有传统直流电机的优点,同时又取消了碳刷、滑环结构,电子换向来代替传统的机械换向,性能可靠、永无磨损、故障率低,寿命比有刷电机提高了约6倍;
c) 可以低速大功率运行,可以省去减速机直接驱动大的负载;
d) 体积小、重量轻、出力大;
e) 转矩特性优异,中、低速转矩性能好,启动转矩大,启动电流小;
f) 无级调速,调速范围广,过载能力强;
g) 软启软停、制动特性好,可省去原有的机械制动或电磁制动装置;
h) 效率高,电机本身没有励磁损耗和碳刷损耗,消除了多级减速耗,综合节电率可达20%~60%。
i) 可靠性高,稳定性好,适应性强,维修与保养简单;
j) 耐颠簸震动,噪音低,震动小,运转平滑,寿命长;
k) 不产生火花,特别适合爆炸性场所,有防爆型;
l) 根据需要可选梯形波磁场电机和正弦波磁场电机。
2.2、无刷电机的缺点
a) 低速起动时有轻微振动,如速度加大换相频率增大,就感觉不到振动现象了;
b) 价格高,控制器要求高;
c) 易形成共振,因为任何一件东西都有一个固有振动频率,如果无刷电机的振动频率与车架或塑料件的振动频率相同或接近时就容易形成共振现象,但可以通过调整将共振现象减小到最小程度。所以采用无刷电机驱动的电动车有时会发出一种嗡嗡的声音是一种正常的现象。
3、应用
无刷直流电机的应用十分广泛,如汽车、工具、工业工控、自动化以及航空航天等等。总的来说,无刷直流电机可以分为以下三种主要用途:
持续负载应用:主要是需要一定转速但是对转速精度要求不高的领域,比如风扇、抽水机、吹风机等一类的应用,这类应用成本较低且多为开环控制。
可变负载应用:主要是转速需要在某个范围内变化的应用,对电机转速特性和动态响应时间特性有更高的需求。如家用器具中的、甩干机和压缩机就是很好的例子,汽车工业领域中的油泵控制、电控制器、发动机控制等,这类应用的系统成本相对更高些。
定位应用:大多数工业控制和自动控制方面的应用属于这个类别,这类应用中往往会完成能量的输送,所以对转速的动态响应和转矩有特别的要求,对控制器的要求也较高。测速时可能会用上光电和一些同步设备。过程控制、机械控制和运输控制等很多都属于这类应用。
实用性新型无刷电机是与电子技术、微电子技术、数字技术、自控技术以及材料科学等发展紧密联系的。它不仅限于交直流领域,还涉及电动、发电的能量转换和信号传感等领域。在电机领域中新型无刷电机的品种是较多的,但性能优良的无刷电机因受到价格的限制,其应用还不十分广泛。
4、控制策略
一般的自同步无刷直流电动机逆变器和驱动的结构图如图1所示。图中所示之驱动系统通常较多用于电压源逆变器(VSI)。电压源逆变器的对应是电流源逆变器(CSI)。VSI之所以较为广泛运用是因为其成本、重量、动态性能,以及易于控制均优于CSI。两种逆变器重量和成本的差异是由于VSI采用电容器进行直流耦合,而CSI须要在整流器和逆变器之间接有笨重的电抗器。VSI在动态响应能力上也与CSI不同。由于大的电抗器的作用就是满足CSI作为恒流源的较大的换向重叠角的需要,防止电机绕组中电流的快速变化,抑制电机的高速伺服运行。这就会加大驱动系统中阻尼器的尺寸。对于CSI所期望得到的恒流控制和恒转矩控制性能,在VSI中,也可通过其内部的电流控制环中滞后型电流控制而近似得到。
术语“自同步”指的是为了定子相电流脉冲与电机各相反电势一致所需正确的各管导通顺序,驱动电路对即时转子位置信息的要求。

如果仅仅期望转速控制,可以将位置控制器和位置反馈电路去掉。通常在高性能的位置控制器中位置和转速传感器都是需要的。如果仅有位置传感器而没有转速传感器,那就要求检测位置信号的差异,在模拟系统中就要导致噪声的放大;而在数字系统中这不是问题。对于位置和转速控制的无刷直流电动机,位置传感器或者是其他获取转子位置信息的元件是一定要的。

许多高性能的应用场合为了转矩控制还需要电流反馈。至少,需要汇线电流反馈来防止电机和驱动系统过流。当添加一内电流闭环控制就能实现非常快的电流源逆变器那样的性能,而不需要直流耦合电抗器,它被称为电流调节电压源逆变器。驱动中的直流电压调节也可由作用类似直流电源的可控整流器来实现,或者既可通过在变换器中将PWM信号同时加在上下开关,也可通过仅仅加在上开关或下开关来实现。
4.1、直流电动机
一般直流电动机具有相同的工作原理和应用特性,而其组成是不一样的。除了电机本身外,前者还多一个换向电路,电机本身和换向电路紧密结合在一起。许多小功率电动机的电机本身是与换向电路合成一体,从外观上看直流无刷电动机与直流电动机完全一样。
直流无刷电动机的电机本身是机电能量转换部分,它除了电机电枢、永磁励磁两部分外,还带有传感器。电机本身是直流无刷电机的核心,它不仅关系到性能指标、噪声振动、可靠性和使用寿命等,还涉及制造费用及产品成本。由于采用永磁磁场,使直流无刷电机摆脱一般直流电机的传统设计和结构,满足各种应用市场的要求,并向着省铜节材、制造简便的方向发展。永磁磁场的发展与永磁材料的应用密切相关,第三代永磁材料的应用,促使直流无刷电机向高效率、小型化、节能方向迈进。
为了实现电子换向必须有位置信号来控制电路。早期用机电位置传感器获得位置信号,现已逐步用电子式位置传感器或其它方法得到位置信号,最简便的方法是利用电枢绕组的电势信号作为位置信号。
要实现电机转速的控制必须有速度信号。用获得位置信号相近方法取得速度信号,最简单的速度传感器是测频式测速发电机与电子线路相结合。
直流无刷电机的换向电路由驱动及控制两部分组成,这两部分是不容易分开的,尤其小功率用电路往往将两者集成化成为单一专用集成电路。在功率较大的电机中,驱动电路和控制电路可各自成为一体。
驱动电路输出电功率,驱动电动机的电枢绕组,并受控于控制电路。驱动电路已从线性放大状态转成脉宽调制的开关状态,相应电路组成也从晶体管分立电路转成模块化集成电路。模块化集成电路有功率双极晶体管、功率场效应管和隔离栅场效应双极晶体管等组成形式。虽然,隔离栅场效应双极晶体管价格较贵,但从可靠安全和性能角度看,选用它还是较合适的。
控制电路用作控制电机的转速、转向、电流(或转矩)以及保护电机的过流、过压、过热等。上述参数容易转成模拟信号,用此来控制较简单,但从发展来看,电机的参数应转换成数字量,通过数字式控制电路来控制电机。当前,控制电路有专用集成电路、微处理器和数字信号处理器等三种组成方式。在对电机控制要求不高的场合,专用集成电路组成控制电路是简单实用的方式。采用数字信号处理器组成控制电路是今后发展方向。
4.2、无刷电机
(BLDCM)是在有刷直流电动机的基础上发展来的,但它的驱动电流是不折不扣的交流;无刷直流电机又可以分为无刷速率电机和无刷力矩电机。一般地,无刷电机的驱动电流有两种,一种是梯形波(一般是“方波”),另一种是正弦波。有时候把前一种叫直流无刷电机,后一种叫交流伺服电机,确切地讲是交流伺服电动机的一种。
无刷直流电机为了减少转动惯量,通常采用“细长”的结构。无刷直流电机在重量和体积上要比有刷直流电机小的多,相应的转动惯量可以减少40%—50%左右。由于永磁材料的加工问题,致使无刷直流电机一般的容量都在100kW以下。由于无刷直流电动机是以自控式运行的,所以不会象变频调速下重载启动的同步电机那样在转子上另加启动绕组,也不会在负载突变时产生振荡和失步。
中小容量的无刷直流电动机的永磁体,多采用高磁能积的稀土钕铁硼(Nd-Fe-B)材料。因此,稀土永磁无刷电动机的体积比同容量三相异步电动机缩小了一个机座号。近三十年来针对异步电动机变频调速的研究,归根到底是在寻找控制异步电动机转矩的方法,稀土永磁无刷直流电动机必将以其宽调速、小体积、高效率和稳态转速误差小等特点在调速领域显现优势。无刷直流电机因为具有直流有刷电机的特性,同时也是频率变化的装置,所以又名直流变频,国际通用名词为BLDC。无刷直流电机的运转效率,低速转矩,转速精度等都比任何控制技术的变频器还要好,所以值得业界关注。
要让电机转动起来,首先控制部就必须根据hall-sensor感应到的电机转子所在位置,然后依照定子绕线决定开启(或关闭)换流器(inverter)中功率晶体管的顺序,如下图中的 inverter中之ah、bh、ch(这些称为上臂功率晶体管)及al、bl、cl(这些称为下臂功率晶体管),使电流依序流经电机线圈产生顺向(或逆向)旋转磁场,并与转子的磁铁相互作用,如此就能使电机顺时/逆时转动。当电机转子转动到hall-sensor感应出另一组信号的位置时,控制部又再开启下一组功率晶体管,如此循环电机就可以依同一方向继续转动直到控制部决定要电机转子停止则关闭功率晶体管(或只开下臂功率晶体管);要电机转子反向则功率晶体管开启顺序相反。
基本上功率晶体管的开法可举例如下:
ah、bl一组→ah、cl一组→bh、cl一组→bh、al一组→ch、al一组→ch、bl一组,但绝不能开成ah、al或bh、bl或ch、cl。此外因为电子零件总有开关的响应时间,所以功率晶体管在关与开的交错时间要将零件的响应时间考虑进去,否则当上臂(或下臂)尚未完全关闭,下臂(或上臂)就已开启,结果就造成上、下臂短路而使功率晶体管烧毁。

当电机转动起来,控制部就会再根据驱动器设定的速度及加/减速率所组成的命令(command)与hall-sensor信号变化的速度加以比对(或由软件运算)再来决定由下一组(ah、bl或ah、cl或bh、cl或……)开关导通,以及导通时间长短。速度不够则开长,速度过头则减短,此部分工作就由pwm来完成。pwm是决定电机转速快或慢的方式,如何产生这样的pwm才是要达到较精准速度控制的核心。高转速的速度控制必须考虑到系统的clock 分辨率是否足以掌握处理软件指令的时间,另外对于hall-sensor信号变化的资料存取方式也影响到处理器效能与判定正确性、实时性。至于低转速的速度控制尤其是低速起动则因为回传的hall-sensor信号变化变得更慢,怎样撷取信号方式、处理时机以及根据电机特性适当配置控制参数值就显得非常重要。或者速度回传改变以encoder变化为参考,使信号分辨率增加以期得到更佳的控制。电机能够运转顺畅而且响应良好,PID控制的恰当与否也无法忽视。之前提到直流无刷电机是闭回路控制,因此回馈信号就等于是告诉控制部电机转速距离目标速度还差多少,这就是误差(error)。知道了误差自然就要补偿,方式有传统的工程控制如PID控制。但控制的状态及环境其实是复杂多变的,若要控制的坚固耐用则要考虑的因素恐怕不是传统的工程控制能完全掌握,所以模糊控制、专家系统及神经网络也将被纳入成为智能型PID控制的重要理论。
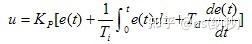
4.3、PID控制
一般PID控制如下 :

Kp 控制(比例控制) :输出与输入误差讯号成正比关系,即将误差固定比例修正,但系统会有稳态误差。
Ti 控制(积分控制) :当系统进入稳态有稳态误差时,将误差取时间的积分,即便误差很小也能随时间增加而加大,使稳态误差减小直到为零。
Td 控制(微分控制):当系统在克服误差时,其变化总是落后于误差变化,表示系统存在较大惯性组件或(且)有滞后组件。微分即是预测误差变化的趋势以便提前作用避免被控量严重冲过头。
4.4、保护措施
对于驱动器还要有保护措施,当负载过大或不当使用时会造成大电流而将功率晶体管烧毁。为了保护因电流超过规格而破坏驱动器,一般会以加大功率晶体管耐电流或加电流sensor做为保护。其次当电机负载不小的时候,在停止转动时由电机端回送至驱动器的能量及过电压都将危及驱动器,这可配合过电压保护电路加上回生能量消散电路来防治。其它尚有hall-sensor正常与否判定也会影响PWM控制的正确性,这可由控制部判断并适时警告即可。
4.5、选型
无刷直流电机选型时需参考的主要参数有以下几点:
最大扭矩:可以通过将负载扭矩、转动惯量和摩擦力相加得到,另外,还有一些额外的因素影响最大扭矩如气隙空气的阻力等。
平方模扭矩:可以近似的认为是实际应用需要的持续输出扭矩,由许多因素决定:最大扭矩、负载扭矩、转动惯量、加速、减速及运行时间等。
转速:这是有应用需求的转速,可以根据电机的转速梯形曲线来确定电机的转速需求,通常计算时要留有10%的余量。
4.6、维护
a) 在拆卸前,要用压缩空气吹净电机表面灰尘,并将表面污垢擦拭干净。
b) 选择电机解体的工作地点,清理现场环境。
c) 熟悉电机结构特点和检修技术要求。
d) 准备好解体所需工具(包括专用工具)和设备。
e) 为了进一步了解电机运行中的缺陷,有条件时可在拆卸前做一次检查试验。为此,将电机带上负载试转,详细检查电机各部分温度、声音、振动等情况,并测试电压、电流、转速等,然后再断开负载,单独做一次空载检查试验,测出空载电流和空载损耗,做好记录。
f) 切断电源 ,拆除电机外部接线,做好记录。
g) 选用合适电压的兆欧表测试电机绝缘电阻 。为了跟上次检修时所测的绝缘电阻值相比较以判断电机绝缘变化趋势和绝缘状态,应将不同温度下测出的绝缘电阻值换算到同一温度,一般换算至75℃。
h) 测试吸收比K。当吸收比大于1.33时,表明电机绝缘不曾受潮或受潮程度不严重。为了跟以前数据进行比较,同样要将任意温度下测得的吸收比换算到同一温度。
五、步进电动机(脉冲电动机)
1、概念介绍
步进电动机(stepping motor)把电脉冲信号变换成角位移以控制转子转动的微特电机。在自动控制装置中作为执行元件。每输入一个脉冲信号,步进电动机前进一步,故又称脉冲电动机。步进电动机多用于数字式计算机的外部设备,以及打印机、绘图机和磁盘等装置。
步进电动机的驱动电源由变频脉冲信号源、脉冲分配器及脉冲放大器组成,由此驱动电源向电机绕组提供脉冲电流。步进电动机的运行性能决定于电机与驱动电源间的良好配合。
步进电机的优点是没有累积误差,结构简单,使用维修方便,制造成本低,步进电动机带动负载惯量的能力大,适用于中小型机床和速度精度要求不高的地方,缺点是效率较低,发热大,有时会“失步”。
2、步进电机分类
步进电动机分为机电式、磁电式及直线式三种基本类型。
2.1、机电式步进电动机

机电式步进电动机由铁心、线圈、齿轮机构等组成。螺线管线圈通电时将产生磁力,推动其铁心心子运动,通过齿轮机构使输出轴转动一角度,通过抗旋转齿轮使输出转轴保持在新的工作位置;线圈再通电,转轴又转动一角度,依次进行步进运动。
2.2、磁电式步进电动机
磁电式步进电动机 其结构简单, 可靠性高, 价格低廉, 应用广泛。 主要有永磁式、 磁阻式和混合式。
-
永磁式步进电动机

其转子有永磁体的磁极,在气隙中产生极性交替磁场,定子由四相绕组组成(见图)。当A相绕组通电时,转子将转向该相绕组所确定的磁场方向。当A相断电、B相绕组被通电励磁时,就产生一个新的磁场方向,这时,转子就转动一角度而位于新的磁场方向上,被励磁相的顺序决定了转子转动方向。若定子励磁的变化太快,转子将不能和定子磁场方向的变化保持一致,转子即失步。起动频率和运行频率较低,是永磁式步进电动机的一个缺点。但永磁式步进电动机消耗功率较小,效率较高。20世纪80年代初,出现了转子是盘式的永磁盘式步进电动机,使步距角及工作频率达到磁阻式步进电动机的水平。
-
磁阻式步进电动机
其定、转子铁芯的内外表面上设有按一定规律分布的相近齿槽,利用定、转子铁芯齿槽相对位置变化引起磁路磁阻的变化,从而产生转矩。其转子铁芯由硅钢片或软磁材料做成,当定子某相被励磁时,转子将转到使磁路磁阻最小的位置。当另一相被励磁,转子转到另一位置,使磁路磁阻为最小时,电动机就停止转动。这时,转子转过一个步距角θb,即式中N为转子转过一个齿距的运行拍数;ZR为转子齿数。
磁阻式步进电动机结构形式较多。定子铁芯有单段式、多段式;磁路有径向、轴向;绕组相数有三相、四相、五相。磁阻式步进电动机步距角可做到1°~15°,甚至更小,精度容易保证,起动与运行频率较高,但功耗较大,效率较低。
-
混合式步进电动机
它的定、转子铁芯结构与磁阻式步进电动机相似。转子有永磁体在气隙中产生单极性磁场,此磁场还被转子上软磁材料的齿槽调制。
混合式步进电动机兼有永磁式步进电动机与磁阻式步进电动机两者的优点,电动机步距角小,精度高,工作频率高,且功耗小,效率高。
2.3、直线式步进电动机
有反应式和索耶式两类。索耶式直线步进电动机由静止部分(称为反应板)和移动部分(称动子)组成。反应板由软磁材料制成,在它上面均匀地开有齿和槽。电机的动子由永久磁铁和两个带线圈的磁极A和B组成。动子是由气垫支承,以消除在移动时的机械摩擦,使电机运行平稳并提高定位精度。这种电机的最高移动速度可达1.5米/秒,加速度可达2g,定位精度可达20多微米。由两台索耶式直线步进电动机相互垂直组装就构成平面电动机。给x方向和y方向两台电机以不同组合的控制电流,就可以使电机在平面内做任意几何轨迹的运动。大型自动绘图机就是把计算机和平面电动机组合在一起的新型设备。平面电动机也可用于激光剪裁系统,其控制精度和分辨力可达几十微米。
3、应用
主要用于数字控制系统中,精度高,运行可靠。如采用位置检测和速度反馈,亦可实现闭环控制。步进电动机已广泛地应用于数字控制系统中,如数模转换装置、数控机床、计算机外围设备、自动记录仪、钟表等之中,另外在工业自动化生产线、印刷设备等中亦有应用。
虽然步进电机已被广泛地应用,但步进电机并不能象普通的直流电机、交流电机在常规下使用。它必须由双环形脉冲信号、功率驱动电路等组成控制系统方可使用。因此用好步进电机却非易事,它涉及到机械、电机、电子及计算机等许多专业知识。
4、优缺点
步进电动机是将脉冲信号转换为角位移或线位移。
-
过载性好。其转速不受负载大小的影响,不像普通电机,当负载加大时就会出现速度下降的情况,步进电机使用时对速度和位置都有严格要求。
-
控制方便。步进电机是以“步”为单位旋转的,数字特征比较明显。
-
整机结构简单。传统的机械速度和位置控制结构比较复杂,调整困难,使用步进电动机后,使得整机的结构变得简单和紧凑。测速电机是将转速转换成电压,并传递到输入端作为反馈信号。测速电机为一种辅助型电机,在普通直流电机的尾端安装测速电机,通过测速电机所产生的电压反馈给直流电源,来达到控制直流电机转速的目的。
六、伺服电机
1、概念介绍
伺服电机(servo motor)是指在伺服系统中控制机械元件运转的发动机,是一种补助马达间接变速装置。伺服电机可以控制速度,位置精度非常准确,可以将电压信号转化为转矩和转速以驱动控制对象。伺服电机转子转速受输入信号控制,并能快速反应,在自动控制系统中,用作执行元件,且具有机电时间常数小、线性度高等特性,可把所收到的电信号转换成电动机轴上的角位移或角速度输出。分为直流和交流伺服电动机两大类,其主要特点是,当信号电压为零时无自转现象,转速随着转矩的增加而匀速下降。
伺服系统(servo mechanism)是使物体的位置、方位、状态等输出被控量能够跟随输入目标(或给定值)的任意变化的自动控制系统。伺服主要靠脉冲来定位,基本上可以这样理解,伺服电机接收到1个脉冲,就会旋转1个脉冲对应的角度,从而实现位移,因为,伺服电机本身具备发出脉冲的功能,所以伺服电机每旋转一个角度,都会发出对应数量的脉冲,这样,和伺服电机接受的脉冲形成了呼应,或者叫闭环,如此一来,系统就会知道发了多少脉冲给伺服电机,同时又收了多少脉冲回来,这样,就能够很精确的控制电机的转动,从而实现精确的定位,可以达到0.001mm。
直流伺服电机分为有刷和无刷电机。
-
有刷电机成本低,结构简单,启动转矩大,调速范围宽,控制容易,需要维护,但维护不方便(换碳刷),产生电磁干扰,对环境有要求。因此它可以用于对成本敏感的普通工业和民用场合。
-
无刷电机体积小,重量轻,出力大,响应快,速度高,惯量小,转动平滑,力矩稳定。控制复杂,容易实现智能化,其电子换相方式灵活,可以方波换相或正弦波换相。电机免维护,效率很高,运行温度低,电磁辐射很小,长寿命,可用于各种环境。
交流伺服电机也是无刷电机,分为同步和异步电机,运动控制中一般都用同步电机,它的功率范围大,可以做到很大的功率。大惯量,最高转动速度低,且随着功率增大而快速降低。因而适合做低速平稳运行的应用。
伺服电机内部的转子是永磁铁,驱动器控制的U/V/W三相电形成电磁场,转子在此磁场的作用下转动,同时电机自带的编码器反馈信号给驱动器,驱动器根据反馈值与目标值进行比较,调整转子转动的角度。伺服电机的精度决定于编码器的精度(线数)。
交流伺服电机(无刷电机)和直流无刷伺服电机在功能上的区别:交流伺服要好一些,因为是正弦波控制,转矩脉动小。直流伺服是梯形波,但直流伺服电机比较简单,便宜。
1.1、选型计算
-
转速和编码器分辨率的确认。
-
电机轴上负载力矩的折算和加减速力矩的计算。
-
计算负载惯量,惯量的匹配,安川伺服电机为例,部分产品惯量匹配可达50倍,但实际越小越好,这样对精度和响应速度好。
-
再生电阻的计算和选择,对于伺服,一般2kw以上,要外配置。
-
电缆选择,编码器电缆双绞屏蔽的,对于安川伺服等日系产品绝对值编码器是6芯,增量式是4芯。
1.2、制动方式
用户往往对电磁制动,再生制动,动态制动的作用混淆,选择了错误的配件。
动态制动器由动态制动电阻组成,在故障、急停、电源断电时通过能耗制动缩短伺服电机的机械进给距离。
再生制动是指伺服电机在减速或停车时将制动产生的能量通过逆变回路反馈到直流母线,经阻容回路吸收。
电磁制动是通过机械装置锁住电机的轴。
三者的区别:
a) 再生制动必须在伺服器正常工作时才起作用,在故障、急停、电源断电时等情况下无法制动电机。动态制动器和电磁制动工作时不需电源。
b) 再生制动的工作是系统自动进行,而动态制动器和电磁制动的工作需外部继电器控制。
c) 电磁制动一般在SV、OFF后启动,否则可能造成放大器过载,动态制动器一般在SV、OFF或主回路断电后启动,否则可能造成动态制动电阻过热。
1.3、特点
直流无刷伺服电机特点
转动惯量小、启动电压低、空载电流小;无接触式换向系统,大大提高电机转速,最高转速高达100000rpm;无刷伺服电机在执行伺服控制时,无须编码器也可实现速度、位置、扭矩等的控制;不存在电刷磨损情况,除转速高之外,还具有寿命长、噪音低、无电磁干扰等特点。
直流有刷伺服电机特点
-
体积小、动作快反应快、过载能力大、调速范围宽
-
低速力矩大, 波动小,运行平稳
-
低噪音,高效率
-
后端编码器反馈(选配)构成直流伺服等优点
-
变压范围大,频率可调
1.4、应用
直流伺服电机可应用在是火花机、机械手、精确的机器等。可同时配置2500P/R高分析度的标准编码器及测速器,更能加配减速箱、令机械设备带来可靠的准确性及高扭力。 调速性好,单位重量和体积下,输出功率最高,大于交流电机,更远远超过步进电机,多级结构的力矩波动小。
伺服电机在封闭的环里面使用,就是说它随时把信号传给系统,同时把系统给出的信号来修正自己的运转。伺服电机也可用单片机控制。
2、交流伺服电动机
交流伺服电动机定子的构造基本上与电容分相式单相异步电动机相似,其定子上装有两个位置互差90°的绕组,一个是励磁绕组Rf,它始终接在交流电压Uf上;另一个是控制绕组L,联接控制信号电压Uc。所以交流伺服电动机又称两个伺服电动机。
交流伺服电动机的转子通常做成鼠笼式,但为了使伺服电动机具有较宽的调速范围、线性的机械特性,无“自转”现象和快速响应的性能,它与普通电动机相比,应具有转子电阻大和转动惯量小这两个特点。应用较多的转子结构有两种形式:一种是采用高电阻率的导电材料做成的高电阻率导条的鼠笼转子,为了减小转子的转动惯量,转子做得细长;另一种是采用铝合金制成的空心杯形转子,杯壁很薄,仅0.2-0.3mm,为了减小磁路的磁阻,要在空心杯形转子内放置固定的内定子,空心杯形转子的转动惯量很小,反应迅速,而且运转平稳,因此被广泛采用。
交流伺服电动机在没有控制电压时,定子内只有励磁绕组产生的脉动磁场,转子静止不动。当有控制电压时,定子内便产生一个旋转磁场,转子沿旋转磁场的方向旋转,在负载恒定的情况下,电动机的转速随控制电压的大小而变化,当控制电压的相位相反时,伺服电动机将反转。
2.1、永磁交流伺服电动机
20世纪80年代以来,随着集成电路、电力电子技术和交流可变速驱动技术的发展,永磁交流伺服驱动技术有了突出的发展,各国著名电气厂商相继推出各自的交流伺服电动机和伺服驱动器系列产品并不断完善和更新。交流伺服系统已成为当代高性能伺服系统的主要发展方向,使原来的直流伺服面临被淘汰的危机。90年代以后,世界各国已经商品化了的交流伺服系统是采用全数字控制的正弦波电动机伺服驱动。交流伺服驱动装置在传动领域的发展日新月异。
永磁交流伺服电动机同直流伺服电动机比较,主要优点有:
-
无电刷和换向器,因此工作可靠,对维护和保养要求低。
-
定子绕组散热比较方便。
-
惯量小,易于提高系统的快速性。
-
适应于高速大力矩工作状态。
-
同功率下有较小的体积和重量。
2.2、伺服电动机与单相异步电动机比较
交流伺服电动机的工作原理与分相式单相异步电动机虽然相似,但前者的转子电阻比后者大得多,所以伺服电动机与单机异步电动机相比,有三个显著特点:
-
起动转矩大
由于转子电阻大,与普通异步电动机的转矩特性曲线相比,有明显的区别。它可使临界转差率S0>1,这样不仅使转矩特性(机械特性)更接近于线性,而且具有较大的起动转矩。因此,当定子一有控制电压,转子立即转动,即具有起动快、灵敏度高的特点。
-
运行范围较广
-
无自转现象
正常运转的伺服电动机,只要失去控制电压,电机立即停止运转。当伺服电动机失去控制电压后,它处于单相运行状态,由于转子电阻大,定子中两个相反方向旋转的旋转磁场与转子作用所产生的两个转矩特性(T1-S1、T2-S2曲线)以及合成转矩特性(T-S曲线)
交流伺服电动机的输出功率一般是0.1-100W。当电源频率为50Hz,电压有36V、110V、220、380V;当电源频率为400Hz,电压有20V、26V、36V、115V等多种。
交流伺服电动机运行平稳、噪音小。但控制特性是非线性,并且由于转子电阻大,损耗大,效率低,因此与同容量直流伺服电动机相比,体积大、重量重,所以只适用于0.5-100W的小功率控制系统。
3、伺服电机与步进电机的性能比较
步进电机作为一种开环控制的系统,和现代数字控制技术有着本质的联系。在国内的数字控制系统中,步进电机的应用十分广泛。随着全数字式交流伺服系统的出现,交流伺服电机也越来越多地应用于数字控制系统中。为了适应数字控制的发展趋势,运动控制系统中大多采用步进电机或全数字式交流伺服电机作为执行电动机。虽然两者在控制方式上相似(脉冲串和方向信号),但在使用性能和应用场合上存在着较大的差异。现就二者的使用性能作一比较。
3.1、控制精度不同
两相混合式步进电机步距角一般为 1.8°、0.9°,五相混合式步进电机步距角一般为0.72 °、0.36°。也有一些高性能的步进电机通过细分后步距角更小。如三洋公司(SANYO DENKI)生产的二相混合式步进电机其步距角可通过拨码开关设置为1.8°、0.9°、0.72°、0.36°、0.18°、0.09°、0.072°、0.036°,兼容了两相和五相混合式步进电机的步距角。
交流伺服电机的控制精度由电机轴后端的旋转编码器保证。以三洋全数字式交流伺服电机为例,对于带标准2000线编码器的电机而言,由于驱动器内部采用了四倍频技术,其脉冲当量为360°/8000=0.045°。对于带17位编码器的电机而言,驱动器每接收131072个脉冲电机转一圈,即其脉冲当量为360°/131072=0.0027466°,是步距角为1.8°的步进电机的脉冲当量的1/655。
3.2、低频特性不同
步进电机在低速时易出现低频振动现象。振动频率与负载情况和驱动器性能有关,一般认为振动频率为电机空载起跳频率的一半。这种由步进电机的工作原理所决定的低频振动现象对于机器的正常运转非常不利。当步进电机工作在低速时,一般应采用阻尼技术来克服低频振动现象,比如在电机上加阻尼器,或驱动器上采用细分技术等。
交流伺服电机运转非常平稳,即使在低速时也不会出现振动现象。交流伺服系统具有共振抑制功能,可涵盖机械的刚性不足,并且系统内部具有频率解析机能(FFT),可检测出机械的共振点,便于系统调整。
3.3、矩频特性不同
步进电机的输出力矩随转速升高而下降,且在较高转速时会急剧下降,所以其最高工作转速一般在300~600RPM。
交流伺服电机为恒力矩输出,即在其额定转速(一般为2000RPM或3000RPM)以内,都能输出额定转矩,在额定转速以上为恒功率输出。
3.4、过载能力不同
步进电机一般不具有过载能力。步进电机因为没有这种过载能力,在选型时为了克服这种惯性力矩,往往需要选取较大转矩的电机,而机器在正常工作期间又不需要那么大的转矩,便出现了力矩浪费的现象。
交流伺服电机具有较强的过载能力。以三洋交流伺服系统为例,它具有速度过载和转矩过载能力。其最大转矩为额定转矩的二到三倍,可用于克服惯性负载在启动瞬间的惯性力矩。
3.5、运行性能不同
步进电机的控制为开环控制,启动频率过高或负载过大易出现丢步或堵转的现象,停止时转速过高易出现过冲的现象,所以为保证其控制精度,应处理好升、降速问题。
交流伺服驱动系统为闭环控制,驱动器可直接对电机编码器反馈信号进行采样,内部构成位置环和速度环,一般不会出现步进电机的丢步或过冲的现象,控制性能更为可靠。
3.6、速度响应性能不同
步进电机从静止加速到工作转速(一般为每分钟几百转)需要200~400毫秒。
交流伺服系统的加速性能较好,以山洋400W交流伺服电机为例,从静止加速到其额定转速3000RPM仅需几毫秒,可用于要求快速启停的控制场合。
综上所述,交流伺服系统在许多性能方面都优于步进电机。但在一些要求不高的场合也经常用步进电机来做执行电动机。所以,在控制系统的设计过程中要综合考虑控制要求、成本等多方面的因素,选用适当的控制电机。
4、优缺点
1) 精度:实现了位置,速度和力矩的闭环控制;伺服电机克服了步进电机失步的问题;
2) 转速:高速性能好,一般额定转速能达到2000~3000转;
3) 适应性:抗过载能力强,能承受三倍于额定转矩的负载,对有瞬间负载波动和要求快速起动的场合特别适用;
4) 稳定:低速运行平稳,低速运行时不会产生类似于步进电机的步进运行现象。适用于有高速响应要求的场合;
5) 及时性:电机加减速的动态相应时间短,一般在几十毫秒之内;
6) 舒适性:发热和噪音明显降低。
简单点说就是:平常看到的那种普通的电机,断电后它还会因为自身的惯性再转一会儿,然后停下。而伺服电机和步进电机是说停就停,说走就走,反应极快。但步进电机存在失步现象。
伺服电机的应用领域就太多了。只要是要有动力源的,而且对精度有要求的一般都可能涉及到伺服电机。如机床、印刷设备、包装设备、纺织设备、激光加工设备、机器人、自动化生产线等对工艺精度、加工效率和工作可靠性等要求相对较高的设备。
七、直流电动机
1、概念介绍
直流电动机是将直流电能转换为机械能的电动机。因其良好的调速性能而在电力拖动中得到广泛应用。直流电动机按励磁方式分为永磁、他励和自励3类,其中自励又分为并励、串励和复励3种。

当直流电源通过电刷向电枢绕组供电时,电枢表面的N极下导体可以流过相同方向的电流,根据左手定则导体将受到逆时针方向的力矩作用;电枢表面S极下部分导体也流过相同方向的电流,同样根据左手定则导体也将受到逆时针方向的力矩作用。这样,整个电枢绕组即转子将按逆时针旋转,输入的直流电能就转换成转子轴上输出的机械能。
电动机由定子和转子组成,直流电动机转子部分由电枢铁芯、电枢、换向器等装置组成,下面对构造中的各部件进行详细介绍。
1) 电枢铁芯部分:其作用是嵌放电枢绕组和颠末磁通,为了下降电机工作时电枢铁芯中发作的涡流损耗和磁滞损耗。
2) 电枢部分:作用是发作电磁转矩和感应电动势,而进行能量变换。电枢绕组有许多线圈或玻璃丝包扁钢铜线或强度漆包线。
3) 换向器又称整流子,在直流电动机中,它的作用是将电刷上的直流电源的电流变换成电枢绕组内的沟通电流,使电磁转矩的倾向稳定不变,在直流发电机中,它将电枢绕组沟通电动势变换为电刷端上输出地直流电动势。
换向器由许多片构成的圆柱体之间用云母绝缘,电枢绕组每一个线圈两端区分接在两个换向片上。直流发电机中换向器的作用是把电枢绕组中的交变电动热变换为电刷间的直流电动势,负载中就有电流通过,直流发电机向负载输出电功率,同时电枢线圈中也肯定有电流通过。它与磁场相互作用发作电磁转矩,其倾向与发电机相反,原想法只需抑制这一磁场转矩才华股动电枢改变。因此,发电机向负载输出电功率的还,从原想法输出机械功率,完结了直流发电机将机械能变换为电能的作用。
直流电动机定子由机座,主磁极,换向极,电刷装置等组成,主要作用是产生主磁场和在机械上支撑电机,下面对构造中的各部件进行详细介绍。
1) 主磁极部分:包括主磁极铁心和套在上面的励磁绕组,给励磁绕组通入电流就产生主磁场。磁极下面扩大的部分称为极掌,它的作用是使通过空气中的磁通分布最为合适,并使励磁绕组能牢固地固定在铁心上。磁极是磁路的一部分,采用1.0-1.5毫米的钢片叠压制成。励磁绕组用绝缘铜线绕成。
2) 换向极部分:用来改善电枢电流的换向性能。它也是由铁心和绕组构成的,用螺杆固定在定子的两个主磁极的中间。
3) 电刷装置部分:包括电刷及电刷座,它们固定在定子上,其电刷与换向器保持滑动接触,以便将电枢绕组和外电流接通。
4) 机座部分:一方面用来固定主磁极,换向极和端盖等,并作整个电机的支架用地脚螺钉将电机固定在基础上,另一方面也是电机磁路地一部分,故用铸钢或者是钢板压成。
2、励磁方式
直流电机的励磁方式是指对励磁绕组如何供电、产生励磁磁通势而建立主磁场的问题。根据励磁方式的不同,直流电机可分为下列几种类型 :
1) 他励直流电机
励磁绕组与电枢绕组无联接关系,而由其他直流电源对励磁绕组供电的直流电机称为他励直流电机,因此励磁电流不受电枢端电压或电枢电流的影响。永磁直流电机也可看作他励直流电机。
2) 并励直流电机
并励直流电机的励磁绕组与电枢绕组相并联。作为并励电动机来说,励磁绕组与电枢共用同一电源,从性能上讲与他励直流电动机相同,但是励磁绕组用细导线绕成,其匝数很多,因此具有较大的电阻,使得通过他的励磁电流较小。
3) 串励直流电机
串励直流电机的励磁绕组与电枢绕组串联后,再接于直流电源。这种直流电机的励磁电流就是电枢电流。所以电动机内磁场随着电枢电流的改变有显著的变化。为了使励磁绕组中不致引起大的损耗和电压降,励磁绕组的电阻越小越好,所以直流串励电动机通常用较粗的导线绕成,他的匝数较少。
4) 复励直流电机
复励直流电机有并励和串励两个励磁绕组。若串励绕组产生的磁通势与并励绕组产生的磁通势方向相同称为积复励。若两个磁通势方向相反,则称为差复励。
不同励磁方式的直流电机有着不同的特性。一般情况直流电动机的主要励磁方式是并励式、串励式和复励式。
3、直流电动机的额定值
1) 额定功率PN: 电机轴上输出的机械功率 。
2) 额定电压UN : 额定工作情况下的电枢上加的直流电压。(例:110V,220V,440V)
3) 额定电流IN : 额定电压下轴上输出额定功率时的电流(并励包括励磁和电枢电流)。
4) 额定转速nN: 在PN , UN , IN 时的转速。直流电机的转速一般在500r/min 以上。特殊的直流电机转速可以做到很低(如每分钟几转)或很高(每分钟3000转以上)。注意: 调速时对于没有调速要求的电机,最大转速不能超过1.2nN。
4、直流电动机特性类型选择
1) 恒转矩的生产机械(TL一定,和转速无关)要选硬特性的电动机,如:金属加工、起重机械等 。
2) 通风机械负载,机械负载 TL 和转速 n 的平方成正比。这类机械也要选硬特性的电动机拖动。
3) 恒功率负载(P一定时,T和n 成反比),要选软特性电机拖动。如:电气机车等。
5、改变直流电动机转向的方法
改变直流电动机转动方向的方法有两种 :
一是电枢反接法,即保持励磁绕组的端电压极性不变,通过改变电枢绕组端电压的极性使电动机反转;他励和并励直流电动机一般采用电枢反接法来实现正反转。他励和并励直流电动机不宜采用励磁绕组反接法实现正反转的原因是因为励磁绕组匝数较多,电感量较大。当励磁绕组反接时,在励磁绕组中便会产生很大的感生电动势。这将会损坏闸刀和励磁绕组的绝缘。
二是励磁绕组反接法,即保持电枢绕组端电压的极性不变,通过改变励磁绕组端电压的极性使电动机调向。当两者的电压极性同时改变时,则电动机的旋转方向不变。
串励直流电动机宜采用励磁绕组反接法实现正反转的原因是因为串励直流电动机的电枢两端电压较高,而励磁绕组两端电压很低,反接容易,电动机车常采用此法。
6、优缺点
直流电机优点:
1) 起动和调速性能好,调速范围广平滑,过载能力较强,受电磁干扰影响小;
2) 直流电机具有良好的启动特性和调速特性;
3) 直流电机的转矩比较大
4) 直流电机的直流相对于交流比较节能环保。
直流电机缺点:
1) 直流电机制造比较贵,有碳刷 ;
2) 与异步电动机比较,直流电动机结构复杂,使用维护不方便,而且要用直流电源;
3) 复杂的结构限制了直流电动机体积和重量的进一步减小,尤其是电刷和换向器的滑动接触造成了机械磨损和火花,使直流电动机的故障多、可靠性低、寿命短、保养维护工作量大。
4) 换向火花既造成了换向器的电腐蚀,还是一个无线电干扰源,会对周围的电器设备带来有害的影响。电机的容量越大、转速越高,问题就越严重。所以,普通直流电动机的电刷和换向器限制了直流电动机向高速度、大容量的发展。
7、应用
直流电动机是一种常见的电动机类型,其用途广泛,涉及到许多领域。下面将详细介绍直流电动机的用途。
1) 工业生产
直流电动机在工业生产中被广泛应用。例如,直流电动机可用于机床、冶金设备、塑料机械、印刷机械、纺织机械等工业制造设备中。直流电动机的优点在于其转矩大、调速性好、启动和制动性能好等特点,这些特点使得直流电动机在工业生产中具有不可替代的作用。
2) 交通运输
直流电动机也广泛应用于交通运输领域。例如,直流电动机可用于电动汽车(由于需要电刷和换向器,新研制的电动汽车基本上不采用直流电动机)、电动自行车、电动摩托车、电动火车等交通工具中。直流电动机在交通运输领域的应用主要在于其高效节能、低噪音、低污染等特点,这些特点使得直流电动机成为未来交通运输领域的主流选择。
3) 家用电器
直流电动机还可用于家用电器中。例如,直流电动机可用于风扇、吸尘器、洗衣机、电动工具等家用电器中。直流电动机在家用电器中的应用主要在于其低噪音、低振动、高效节能等特点,这些特点使得直流电动机成为家用电器设计中的重要部分。
4) 医疗设备
直流电动机也可用于医疗设备中。例如,直流电动机可用于手术器械、病床、心电图机、血透机等医疗设备中。直流电动机在医疗设备中的应用主要在于其低噪音、低振动、高精度等特点,这些特点使得直流电动机成为医疗设备设计中的重要部分。
5) 航空航天
直流电动机也可用于航空航天领域。例如,直流电动机可用于飞机、卫星、航天器等航空航天设备中。直流电动机在航空航天领域的应用主要在于其高效节能、低重量、高可靠性等特点,这些特点使得直流电动机成为航空航天领域的核心技术之一。
八、开关磁阻电机
1、概念介绍
开关磁阻电机(Switched Reluctance Motor :SRM)是继直流电机、无刷直流电机(BLDC)之后发展起来的一种新型调速电机类型。转子上没有绕组和永磁体,它的结构简单坚固,调速范围宽,系统可靠性高。
开关磁阻电动机调速系统主要由开关磁阻电动机(SRM)、功率变换器、控制器、转子位置检测器四大部分组成。控制器内包含控制电路与功率变换器,而转子位置检测器则安装在电机的一端,电动机与国产Y系列感应电动机同功率同机座号同外形。
开关磁阻电动机调速系统所用的开关磁阻电动机(SRM)是SRD中实现机电能量转换的部件,也是SRD有别于其他电动机驱动系统的主要标志。SRM系双凸极可变磁阻电动机,其定子、转子的凸极均由普通硅钢片叠压而成。转子既无绕组也无永磁体,定子极上绕有集中绕组,径向相对的两个绕组联接起来,称为“一相”,SR电动机可以设计成多种不同相数结构,且定、转子的极数有多种不同的搭配。相数多、步距角小,有利于减少转矩脉动,但结构复杂,且主开关器件多,成本高,现今应用较多的是四相(8/6)结构和六相(12/8)结构。

图示为四相(8/6)结构SR电动机原理图。为简单计,图中只画出A相绕组及其供电电路。SR电动机的运行原理遵循“磁阻最小原理”— ‘磁通总要沿着磁阻最小的路径闭合,而具有一定形状的铁心在移动到最小磁阻位置时,必使自己的主轴线与磁场的轴线重合。当定子D-D’极励磁时,1-1'向定子轴线D-D'重合的位置转动,并使D相励磁绕组的电感最大。若以图中定、转子所处的相对位置作为起始位置,则依次给D→A→B→C相绕组通电,转子即会逆着励磁顺序以逆时针方向连续旋转;反之,若依次给B→A→D→C相通电,则电动机即会沿顺时针方向转动。可见,SR电动机的转向与相绕组的电流方向无关,而仅取决于相绕组通电的顺序。另外,从图可以看出,当主开关器件S1、S2导通时,A相绕组从直流电源US吸收电能,而当S1、S2关断时,绕组电流经续流二极管VD1、VD2继续流通,并回馈给电源US。因此,SR电动机传动的共性特点是具有再生作用,系统效率高。
2、优缺点
开关磁阻电动机调速系统主要特点:
1)电动机结构简单、成本低、可用于高速运转;SRM的结构比鼠笼式感应电动机还要简单。其转子机械强度极高,可以用于超高速运转(如每分钟上万转)。在定子方面,它只有几个集中绕组,因此制造简便、绝缘结构简单。
2)功率电路简单可靠;因为电动机转矩方向与绕组电流方向无关,即只需单相绕组电流,故功率电路可以做到每相一个功率开关。对比异步电动机绕组需流过双向电流,向其供电的PWM变频器功率电路每相需两个功率器件。因此,开关磁阻电动机调速系统较PWM变频器功率电路中所需的功率元件少,电路结构简单。另外,PWM变频器功率电路中每桥臂两个功率开关管直接跨在直流电源侧,易发生直通短路烧毁功率器件。而开关磁阻电动机调速系统中每个功率开关器件均直接与电动机绕组相串联,根本上避免了直通短路现象。因此开关磁阻调速电动机调速系统中功率电路的保护电路可以简化,即降低了成本,又有较高的可靠性。
3)系统可靠性高;从电动机的电磁结构上看,各项绕组和磁路相互独立,各自在一定轴角范围内产生电磁转矩。而不像在一般电动机中必须在各相绕组和磁路共同作用下产生一个旋转磁场,电动机才能正常运转。从控制结构上看,各相电路各自给一相绕组供电,一般也是相互独立工作。
4)起动转矩大,起动电流低;控制器输出较少的电流,电机得到较大的起动转矩是本系统的一大特点。典型产品的数据是:起动电流为额定电流的15%时,获得起动转矩为100%的额定转矩;起动电流为额定电流的30%时,起动转矩可达其额定转矩的250%。而其他调速系统的起动特性与之相比,如直流电机为100%的电流,鼠笼感应电动机为300%的电流,获得100%的转矩。起动电流小而转矩大的优点还可以延伸到低速运行段,因此十分合适那些需要重载起动和较长时间低速重载运行的机械。
5)频繁起停,适用于频繁起停及正反向转换运行;本系统具有的高起动转矩、低起动电流的特点,使之在起动过程中电流冲击小,电动机发热较连续额定运行时要小。适用于频繁起停及正反向转换运行。
6)可控参数多,调速性能好;控制开关磁阻电动机的主要运行参数和常用方法至少有四种:相导通角、相关断角、相电流幅值、相绕组电压,灵活方便。可以根据对电动机的运行要求和电动机的情况,采取不同控制方法和参数值,即可使之运行于最佳状态(如出力最大、效率最高等),还可使之实现各种不同的功能的特定曲线。如使电动机具有完全相同的四象限运行能力,并具有最高起动转矩和串励电动机的负载能力曲线。可以用于速度闭环控制,可以很方便的构成无静差调速系统。
7)效率高、损耗小;开关磁阻电机系统是一种非常高效的调速系统。这是因为一方面电机绕组无铜损;另一方面电机可控参数多,灵活方便,易于在宽转速范围和不同负载下实现高效优化控制,系统在不同转速和不同负载下的效率均比变频器系统高,一般要高5-10个百分点。
开关磁阻电动机驱动系统SRM系统的主要缺点是:
转矩脉动大与噪声、震动大:从工作原理可知,开关磁阻电动机转子上产生的转矩是由一些列脉冲转矩叠加而成的,这影响了SRM性能。
控制难度大,控制算法复杂:涉及到电流柔化及零开关技术,无传感器的矢量控制算法等。
3、应用
现如今,开关磁阻电机的应用和发展取得了明显的进步,已成功地应用于电动车驱动、通用工业、家用电器和纺织机械等各个领域,功率范围从10W到5MW,最大速度高达100,000 r/min。
美国、德国、日本、比利时等国家都开展了SRD系统的研制工作。日本电产(Nidec)的动力总成系统、日本小松的工程车辆,比利时的电动赛车,德国的大巴车,美国博格华纳公司的电动轿跑,英国路虎的越野车,Tesla的电动自行车等。
SRD系统的研究已被列入我国中、小型电机“八五”、“九五”和“十五”科研规划项目,国内华中科技大学开关磁阻电机课题组在“九五”项目中研制出使用SRD的纯电动轿车,在“十五”项目中将SRD应用到混合动力城市公交车,均取得了较好的运行效果。纺织机械研究所将SRD应用于毛巾印花机、卷布机,煤矿牵引及电动车辆等,取得了显著的经济效益。
现今在家电行业,洗衣机对电动机有着共同的性能要求:洗涤时要电动机低转速转动,且能频繁地正反转;脱水时要电机能高速旋转。长期以来,洗衣机基本上都采用了一种变极双速单相感应电动机而勉强达到使用要求,但缺点是很明显的:调速性能差,在洗涤时只有一种转速难以适应各种织物对洗涤转速的要求;单相变极双速感应电动机的效率很低,一般均为30%以下。而其起动电流竟是额定电流的7~8倍以上,这会对电网造成冲击。如果用开关磁阻调速电动机来取代单相变极双速感应电动机则可以取得十分满意的效果。经测试比较,同样的衣物,同样一个“标准洗”, 开关磁阻调速电动机的用电量仅为普通滚筒洗衣机(双速感应电动机为动力)的44%;其耗电、耗水、洗净度、脱水率、噪声等一系列指标都达到了欧洲A类洗衣机的标准。
空调、电冰箱的核心部件是压缩机,如今的普通空调、电冰箱的压缩机大都是由单相异步电动机来驱动的。它的缺点表现为:1)由于他们采用简单的通断式来进行控温,这样将带来许多毛病,如系统效率低、功率因素低、温度起伏大、因起动电流大而对电网产生冲击等。2)出现了“变频空调”新产品,它采用异步电动机变频调速系统来取代单相异步电动机。相比较而言,变频空调具有制冷速度快、环境舒适度好、对电网无冲击、运行噪声小、效率高和节能等一系列优点,是空调升级换代的革命性措施。但变频调速系统在运行中、低速时,机械特性通常变差,系统效率和功率因素下降明显。而变频空调系统压缩机的电动机恰恰绝大多数时间在中、低转速状态下运行,只是刚开始时是高速运转。因此,这给变频空调系统的节能优越性大大的打了个折扣。而开关磁阻调速电动机系统除了具有变频调速系统的一系列优点外,它具有比变频调速系统更高的电能到机械能转换效率,特别是在中、低转速运行时,这一优势就更加明显。
现如今功率电子技术,数字信号处理技术和控制技术的快速发展,而且随着智能技术的不断成熟及高速高效低价格的数字信号处理芯片(DSP)的出现,利用高性能DSP开发各种复杂算法的间接位置检测技术,无需附加外部硬件电路,大大提高了开关磁阻电机检测的可靠性和适用性,必将更大限度地显示SRD的优越性。
90年代进一步以计算机控制的柔性制造系统、主体仓库、机器人进行装配等组合起来,由计算机控制材料、部件的供应管理、达到全厂高效率、高质量的全自动化均衡生产,设计和制造水平不断提高,专用控制芯片和集成功率器件不断被开发出来,开关磁阻电机性能和适用性不断增强。随着国民经济建设的日益发展,各行各业的机械化、自动化程度越来越高,为开关磁阻电机提供了巨大的潜在市场。
开关磁阻电机作为最新一代无级调速系统尚处于深化研究开发、不断完善提高的阶段,其应用领域也在不断拓展之中。由于SRM良好的调速性能和低廉的造价,推广普及可产生很好的经济效益和社会效益,这有待于科研、开发与制造的有识之士共同努力。
九、扁线电机
1、概念介绍
扁线电机顾名思义就是定子绕组中采用扁铜线,先把绕组做成类似发卡一样的形状,穿进定子槽内,再在另外一端把发卡的端部焊接起来。
分段发卡绕组

连续发卡绕组

绝缘车规级新能源汽车用扁线对耐热性要求高,主要采用耐温≥180℃的聚酯亚胺漆包线漆、聚酰胺酰亚胺漆包线漆、聚酰亚胺漆包线漆这三种耐高温绝缘材料进行漆包。聚酯亚胺漆具有较好的电气性能和机械强度,且耐热冲击和耐软化击穿。在180级及以上复合涂层漆包线制造中作为底漆涂层的主要材料,在高附着和耐氟利昂的家用电器中得到广泛应用。聚酰胺酰亚胺漆耐热性高,不仅漆膜硬度和非软化性很大,并且对导体粘合力较高,最先得到产业化,可在 210℃下长期使用。用于耐高温电机电气电子元件的线圈绕组,被用作电磁线的绝缘涂层。聚酰亚胺漆耐热性能优异,同时能够耐老化,耐高压电击穿等。其主要运用 于绝缘漆覆包电磁线,或作为耐高温涂料应用于电气行业、航空航天、石油管道等。

圆线电机的槽满率偏低,也就是线圈放入槽内后占用槽内空间的比例偏低,仅有40%左右。槽满率偏低也就意味着电机的功率密度偏低、重量偏大、电动车的动力也就偏弱。圆线之间存在着空隙,而扁线则更加紧密。槽满率由圆线的40%提升到70%,电机转化效率提升了1.12%,千万不要小看这1%,这意味着在低转速高扭矩的拥堵工况中,扁线电机的工作效率比圆线高出10%,这时候电机省下来的电就可以让利给电池了,让电池的容量进一步减小,电动车成本也就降下来了。其次槽满率的提升也就代表着线圈中导线越多,产生的磁场会更强,那么电机的功率就会更大,使得整车动力更加强劲。大家都知道,传统圆线电机的功率密度也就3.5千瓦每千克的水平,而国家现在要求新能源乘用车电机功率密度必须满足4千瓦每千克的水平,比亚迪dmi车型上的扁线电机,功率密度达到了惊人的5.8千瓦每千克。
更重要的是扁线技术让电机变得更轻量化和小型化了,小体积首先带来的是电驱动系统的高度集成化。比如说比亚迪量产的全球首款八合一电动力总成,做八合一目的就是为了给电动车减重,减重意味着降低电耗,而减少体积,能够带来乘坐空间或者电池容量的提高,这套八合一电动力总成综合效率超过89%,看清楚了,是驱动电机、减速器、直流变换器、整车控制器、电机控制器、车载充电器、配电箱、电池管理器这八个模块的综合效率,集成模块越多想要达到高能效也就更难。
扁线电机能大幅度提升转换效率:在WLTC工况,扁线电机比传统圆线电机的转换效率高 1.12%;在市区工况(低速大扭矩),两者效率值相差10%。按照典型的续航500km的 A 级轿车(搭载 60kwh电池包和 150kw 电机)计算,WLTC 工况下,搭载扁线电机的电池成本节约 672 元,市区工况下,电池成本节约 6000 元。
扁线的槽满率大于圆线:当槽满率越高时相同功率电机所需要的铜线更短,进而电阻降低发热减少。从理论上来说,圆线的净槽满率一般在约40%左右,而扁线则可以提升至70%。由于圆线的截面为圆形,不可避免在导线间存在不规则缝隙,而扁线间的间隙更小,槽满率更高。扁线电机的高效率区间比圆线电机高出许多,圆线电机的高效区一般要求是效率>85%的区间占比不低于 85%,被称为“双 85”。而扁线电机的效率>90%的 区间占比不低于 90%,被称为“双 90”。电机的效率与转速和扭矩相关,市区工况中出现的频繁启停工况属于低转速 高扭矩工况,而这正是圆线电机的低效率区间,而扁线电机在该工况下的转换效率更高。
扁线电机散热性能好:温升相对圆线电机降低10%。因扁线相对圆线更为紧密的接触,散热性提升,研究发现高槽满率下绕组间的导热能力是低槽满率的150%。绕组在热传导能力上具有各向异性,轴向的热传导能力是径向方向的100倍。更低的温升条件下,整车可以实现更好的加速性能。
电磁噪音低:整车更安静。 扁线电机导线的应力比较大,刚性比较大,电枢具备更好的刚度,对电枢噪 音具有抑制作用;可以取相对较小的槽口尺寸,有效降低齿槽力矩,进一步降低 电机电磁噪音。
小体积带来高集成效率:契合多合一电驱发展趋势:因扁线更高的槽满率,同功率电机铜线用量和对应定子较少,体积有望下降30%。此外,扁线电机因更为先进绕线方式带来更易裁剪的电机端部,与圆线电 机相比减少15-20%的端部尺寸,空间进一步降低,实现电机小型化和轻量化。
2、优缺点
2.1、扁线电机综合性能改善
1) 圆线变成扁线,从理论上来说,在空间不变的前提下,扁线电机可以做到70%的槽满率,填充的铜可以增加20-30%,产生更强的磁场强度,从某种程度上等同于增加20-30%的功率;
2) 相同功率,体积更小,用材更少,成本更低,或者相同体积,槽满率提升,功率密度提升;
3) 平行槽使电枢齿宽增加,降低了铁芯饱和度,提升磁阻转矩并减少了铁损,因而提高了整机的磁阻转矩;
4) 扁线电机导线的应力比较大,刚性比较大,电枢具备更好的刚度,对电枢噪音具有抑制作用;
5) 可以应用相对较小的槽口尺寸,有效降低齿槽力矩,进一步降低电机电磁噪音;
6) 扁线导体,每线圈匝数为1,相邻两个线圈通过焊接串联连接;
7) 在并联支路数一定的情况下,改变电机匝数唯有调整极槽数和每槽导体数;
8) 扁线电机在设计中不同功率等级可调整性与传统圆铜线电机相比变差,需要电驱动系统平台顶层整体的优化匹配设计。
2.2、散热能力增强
1) 高槽满率下绕组间的导热能力是低槽满率的150%;
2) 绕组在热传导能力上具有各向异性,轴向的热传导能力是径向方向的100倍。
3) 因槽满率的提高使得导线之间的内部空隙变少,扁线和扁线之间的接触面积增大,散热和热传导更好;
4) 绕组和铁心槽之间接触更好,热传导更好;
5) 扁线电机中导体与槽型尺寸整体匹配,两者有效接触面积大且接触紧密,传热系数高,同等条件中扁线绕组电机比圆线电机温升可降低约8~12%;
6) 通常条件下,电机散热性的好坏直接影响着电机可应用的性能范围,散热性变好,将会直接提升电机的性能曲线;
7) 扁线电机通常采用电机绕组端部喷油冷却,可以使电机绕组温度降低68%以上,大大提升了电机的功率密度和转矩密度水平。
8) 若在电机中采用了端部喷油冷却技术,圆线绕组端部因在浸漆后,成为一个实心整体,冷却油很难渗入内部,带走中间层导体的热量,容易在绕组内部形成热孤岛。而扁线绕组端部导体间存在较大的间隙,喷头出油后,冷却油可以直接渗透入扁线绕组端部,带走每一个导体的热量。
9) 扁线和端部喷油冷却配合使用能大幅度提高散热能力,提高功率密度。广汽GE3应用的ChevroletVolt的发卡永磁电机同时采用了端部喷油和水冷机壳两种冷却技术,取得了优秀的散热效果。
2.3、扁线电机的优势
优势1:相同功率,体积更小,用材更少,成本更低,或者相同体积,槽满率提升,功率密度提升。圆线变成扁线,从理论上来说,在空间不变的前提下,扁线电机可以做到70%的槽满率,填充的铜可以增加20-30%,产生更强的磁场强度,从某种程度上等同于增加20-30%的功率。
优势2:温度性能更好。内部空隙变少,扁线与扁线之间的接触面积大,散热和热传导更好;绕组和铁心槽之间接触更好,热传导更好;而电机对散热和温度是非常敏感的,散热性变好,性能会提升。有人通过温度场仿真,得出相同设计的扁铜线电机绕组温升比圆铜线电机低10%。
优势3:电磁噪音更低。扁线电机导线的应力比较大,刚性比较大,电枢具备更好的刚度,对电枢噪音具有抑制作用;可以取相对较小的槽口尺寸,有效降低齿槽力矩,进一步降低电机电磁噪音。
优势4:端部短,节省铜材,提升效率。传统的圆线电机,由于工艺问题,它的端部一般留得比较长,否则很容易在工艺过程中损伤铜线。对扁线电机来说,因为线都是硬线,可以在加工的时候把端部做得小一点,与圆线电机相比减少20%的端部尺寸,空间进一步降低,可以把系统的体积进一步缩小,实现小型化和轻量化。
优势5:扁线电机最高效率点不一定比圆线高多少,但高效区可以进一步拓宽。
2.4、扁线电机的劣势
劣势1:高速集肤效应。新能源汽车做高功率密度要求往高转速走,以前都是做一万转甚至是一万二,现在往一万六甚至是两万的方向做。需要在电机设计的过程中有一些好的方法解决掉,这是一个不好的地方。
劣势2:铜线要求高,圆线电机铜线国内做的厂家比较多,并且质量做的可以非常好。能够做扁线电机比较好的厂家不多,要求比较高,也需要大家一起共同努力把材料解决掉。
劣势3:扁线对加工工序多,设备精度要求高,前期投入大,因为它的精度如果不高,产品的可靠性和一致性都会比较差。车企担心的也是质量的可靠性以及稳定性。
劣势4:系列化的设计难,电机要想把成本降低,最好是把它做到系列化,系列化的设计是目前扁线电机不如圆线电机的地方。
劣势5:专利壁垒过多,扁线电机专利目前主要还是在欧美及日本企业里,中国企业掌握专利少,我们有专利布局,但不尽如人意。
劣势6:扁线成型要求高和加工难度大。铜线由于具有一定的弹性,因此在设计时就必须留有变形余量。
劣势7:绝缘涂层在烘干后会产生收缩形变,如果是圆线的话,收缩会比较均匀,扁线则容易产生损坏,导致在实际加工中,扁线的良品率远远低于圆线。
3、应用
扁线电机渗透率快速提升。2021年特斯拉换装国产扁线电机,带动渗透率大幅提升,扁线电机的趋势已经确定。众多潜在爆款车型使用扁线电机,预计 2025 年渗透率将快速提升至 95%。众多高端车型均搭载扁线电机,比亚迪的 DMI 车型和 e++平台全系都是扁线电机,如汉,海豹等车型,大众 MEB、蔚来 ET7、智己 L7、极 氪 001等明星车型采用的都是扁线电机。
扁线技术方面我国有精达股份这样的世界级供应商,2019 年就开始小批量量产扁线,供货给日本电装,并且成功打入日系、美系、德系等头部车企的供应链,特斯拉电机用的就是他家的扁线。通用雪佛兰VOLT早在2007年就采用了扁线电机,这些年之所以没有大规模普及,主要是因为其在原材料、工艺、设备上的难点较多,对产品的一致性要求较高。比亚迪早在13年就开始扁线电机的研制,自己开发了扁铜线的生产工艺,解决了扁铜线在成形回弹、绝缘形变、强耐电晕、端部扭头、定子插入的精度和抗耐力等一系列问题,到最后比亚迪实际上掌握了整个扁线电机生产的产业链,目前比亚迪的扁线电机效率达到了全球最高的97.5%。比亚迪海豹双电机版本,前置160kW的交流异步电机,后置230kW的扁线电机。
为什么用扁线?扁线电机效率高、损耗低、散热性能优、功率密度大、噪音低、更轻便,且有效材料成本比圆线低8~12%,叠加整车性能提升与电耗优势,可降低整车成本的15%。日常工况,异步电机断开,仅扁线电机工作,加速工况,双电机共同发力。两种电机互补,兼顾电机高效率与空载低损耗,实现四驱动力+两驱能耗。特斯拉的电机虽然功率高、极速高,但是成本偏高,高功率带来的高极速在中国完全不适用,中国99%的车主这一生都没开过180公里,而比亚迪电机强调的就是实用性,低成本高效率。车企里除了比亚迪,长城汽车和上汽集团也可以实现自供。
工艺方面,国内企业都采用了主流的hair-pin工艺,绕组技术突破8层,目前具备量产8层扁线电机能力的第三方有3家:方正电机、天津松正、华域电动。装配生产线方面,扁线电机装配可分为定子、转子、合装三大工艺环节,其中转子线和合装线相对简单,而定子装配线由于有很多道复杂工序,所以是技术难度最大的环节,目前国内的豪森股份和克来机电具备扁线电机定子装配线的承接能力。
扁线电机大规模应用也需要克服一些缺点,比如良品率低,转速上不去,标准化难以及专利壁垒等。在高端车型中为满足对高性能的追求,搭配扁线电机数量也开始由原来的单电机增加到双电机,例如保时捷首款纯电动跑车Taycan,甚至部分车型会搭配三电机。
九、直线电机(线性电机)
1、概念介绍
直线电机是一种将电能直接转换成直线运动机械能,而不需要任何中间转换机构的传动装置。它可以看成是一台旋转电机按径向剖开,并展成平面而成。
直线电机也称线性电机,线性马达,直线马达,推杆马达。最常用的直线电机类型是平板式和U 型槽式,和管式。线圈的典型组成是三相,由霍尔元件实现无刷换相。
直线电机经常简单描述为旋转电机被展平,而工作原理相同。动子(forcer, rotor) 是用环氧材料把线圈压缩在一起制成的;磁轨是把磁铁(通常是高能量的稀土磁铁)固定在钢上。
电机的动子包括线圈绕组,霍尔元件电路板,电热调节器(温度传感器监控温度)和电子接口。在旋转电机中,动子和定子需要旋转轴承支撑动子以保证相对运动部分的气隙(air gap)。同样的,直线电机需要直线导轨来保持动子在磁轨产生的磁场中的位置。和旋转伺服电机的编码器安装在轴上反馈位置一样,直线电机需要反馈直线位置的反馈装置--直线编码器,它可以直接测量负载的位置从而提高负载的位置精度。
2、直线电机分类
2.1、圆柱形
圆柱形动磁体直线电机动子是圆柱形结构。沿固定着磁场的圆柱体运动。这种电机是最初发现的商业应用但是不能使用于要求节省空间的平板式和U 型槽式直线电机的场合。圆柱形动磁体直线电机的磁路与动磁执行器相似。区别在于线圈可以复制以增加行程。典型的线圈绕组是三相组成的,使用霍尔装置实现无刷换相。推力线圈是圆柱形的,沿磁棒上下运动。这种结构不适合对磁通泄漏敏感的应用。必须小心操作保证手指不卡在磁棒和有吸引力的侧面之间。
管状直线电机设计的一个潜在的问题出现在,当行程增加,由于电机是完全圆柱的而且沿着磁棒上下运动,唯一的支撑点在两端。保证磁棒的径向偏差不至于导致磁体接触推力线圈的长度总会有限制。
2.2、U型槽式
U 型槽式直线电机有两个介于金属板之间且都对着线圈动子的平行磁轨。动子由导轨系统支撑在两磁轨中间。动子是非钢的,意味着无吸力且在磁轨和推力线圈之间无干扰力产生。非钢线圈装配具有惯量小,允许非常高的加速度。线圈一般是三相的,无刷换相。可以用空气冷却法冷却电机来获得性能的增强。也有采用水冷方式的。这种设计可以较好地减少磁通泄露因为磁体面对面安装在U形导槽里。这种设计也最小化了强大的磁力吸引带来的伤害。
这种设计的磁轨允许组合以增加行程长度,只局限于线缆管理系统可操作的长度,编码器的长度,和机械构造的大而平的结构的能力。
2.3、平板
有三种类型的平板式直线电机(均为无刷):无槽无铁芯,无槽有铁芯和有槽有铁芯。选择时需要根据对应用要求的理解。
无槽无铁芯:平板电机是一系列线圈装在一个铝板上。由于FOCER 没有铁芯,电机没有吸力和接头效应(与U形槽电机同)。该设计在一定某些应用中有助于延长轴承寿命。动子可以从上面或侧面安装以适合大多数应用。这种电机对要求控制速度平稳的应用是理想的。如扫描应用,但是平板磁轨设计产生的推力输出最低。通常,平板磁轨具有高的磁通泄露。所以需要谨慎操作以防操作者受他们之间和其他被吸材料之间的磁力吸引而受到伤害。
无槽有铁芯:无槽有铁芯平板电机结构上和无槽无铁芯电机相似。除了铁芯安装在钢叠片结构然后再安装到铝背板上,铁叠片结构用在指引磁场和增加推力。磁轨和动子之间产生的吸力和电机产生的推力成正比,叠片结构导致接头力产生。把动子安装到磁轨上时必须小心以免他们之间的吸力造成伤害。无槽有铁芯比无槽无铁芯电机有更大的推力。
有槽有铁芯:这种类型的直线电机,铁心线圈被放进一个钢结构里以产生铁芯线圈单元。铁芯有效增强电机的推力输出通过聚焦线圈产生的磁场。铁芯电枢和磁轨之间强大的吸引力可以被预先用作气浮轴承系统的预加载荷。这些力会增加轴承的磨损,磁铁的相位差可减少接头力。
3、直线电机的控制
直线电机的控制和旋转电机一样。像无刷旋转电机,动子和定子无机械连接(无刷),不像旋转电机的方面,动子旋转和定子位置保持固定,直线电机系统可以是磁轨动或推力线圈动(大部分定位系统应用是磁轨固定,推力线圈动)。用推力线圈运动的电机,推力线圈的重量和负载比很小。然而,需要高柔性线缆及其管理系统。用磁轨运动的电机,不仅要承受负载,还要承受磁轨质量,但无需线缆管理系统。
对直线电机控制技术的研究基本上可以分为三个方面:一是传统控制技术,二是现代控制技术,三是智能控制技术。
传统的控制技术如PID反馈控制、解耦控制等在交流伺服系统中得到了广泛的应用。其中PID控制蕴涵动态控制过程中的信息,具有较强的鲁棒性,是交流伺服电机驱动系统中最基本的控制方式。为了提高控制效果,往往采用解耦控制和矢量控制技术。在对象模型确定、不变化且是线性的以及操作条件、运行环境是确定不变的条件下,采用传统控制技术是简单有效的。但是在高精度微进给的高性能场合,就必须考虑对象结构与参数的变化。各种非线性的影响,运行环境的改变及环境干扰等时变和不确定因素,才能得到满意的控制效果。
现代控制技术在直线伺服电机控制的研究中引起了很大的重视。常用控制方法有:自适应控制、滑模变结构控制、鲁棒控制及智能控制。
智能控制主要是将模糊逻辑、神经网络与PID、H∞控制等现有的成熟的控制方法相结合,取长补短,以获得更好的控制性能。
4、直线电机的应用
直线电机主要应用于三个方面:一是应用于自动控制系统,这类应用场合比较多;二是作为长期连续运行的驱动电机;三是应用在需要短时间、短距离内提供巨大的直线运动能的装置中。
高速磁悬浮列车:是直线电机实际应用的最典型的例子,美、英、日、法、德、加拿大等国都在研制直线悬浮列车,其中日本进展最快。
直线电机驱动的电梯:世界上第一台使用直线电机驱动的电梯是1990年4月安装于日本东京都丰岛区万世大楼,该电梯载重600kg,速度为105m/min,提升高度为22.9m。由于直线电机驱动的电梯没有曳引机组,因而建筑物顶的机房可省略。如果建筑物的高度增至1000米左右,就必须使用无钢丝绳电梯,这种电梯采用高温超导技术的直线电机驱动,线圈装在井道中,轿厢外装有高性能永磁材料,就如磁悬浮列车一样,采用无线电波或光控技术控制。
超高速电动机:在旋转超过某一极限时,采用滚动轴承的电动机就会产生烧结、损坏现象,国外研制了一种直线悬浮电动机(电磁轴承),采用悬浮技术使电机的动子悬浮在空中,消除了动子和定子之间的机械接触和摩擦阻力,其转速可达25000~100000r/min以上,因而在高速电动机和高速主轴部件上得到广泛的应用。如日本安川公司新近研制的多工序自动数控车床用5轴可控式电磁高速主轴采用两个径向电磁轴承和一个轴向推力电磁轴承,可在任意方向上承受机床的负载。在轴的中间,除配有高速电动机以外,还配有与多工序自动数控车床相适应的工具自动交换机构。
5、优缺点
(1)结构简单。管型直线电机不需要经过中间转换机构而直接产生直线运动,使结构大大简化,运动惯量减少,动态响应性能和定位精度大大提高;同时也提高了可靠性,节约了成本,使制造和维护更加简便。它的初次级可以直接成为机构的一部分,这种独特的结合使得这种优势进一步体现出来。
(2)适合高速直线运动。因为不存在离心力的约束,普通材料亦可以达到较高的速度。而且如果初、次级间用气垫或磁垫保存间隙,运动时无机械接触,因而运动部分也就无摩擦和噪声。这样,传动零部件没有磨损,可大大减小机械损耗,避免拖缆、钢索、齿轮与皮带轮等所造成的噪声,从而提高整体效率。
(3)初级绕组利用率高。在管型直线感应电机中,初级绕组是饼式的,没有端部绕组,因而绕组利用率高。
(4)无横向边缘效应。横向效应是指由于横向开断造成的边界处磁场的削弱,而圆筒型直线电机横向无开断,所以磁场沿周向均匀分布。
(5)容易克服单边磁拉力问题。径向拉力互相抵消,基本不存在单边磁拉力的问题。
(6)易于调节和控制。通过调节电压或频率,或更换次级材料,可以得到不同的速度、电磁推力,适用于低速往复运行场合。
(7)适应性强。直线电机的初级铁芯可以用环氧树脂封成整体,具有较好的防腐、防潮性能,便于在潮湿、粉尘和有害气体的环境中使用;而且可以设计成多种结构,满足不同情况的需要。
(8)高加速度。这是直线电机驱动,相比其他丝杠、同步带和齿轮齿条驱动的一个显著优势。

浙公网安备 33010602011771号