【模板】KMP字符串匹配
前言
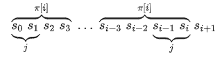
第二个优化
从第二个优化开始我看的时间比较久,如图部分

其中公式

看了挺久,主要是第二个部分到第三个部分,关于这个转换,在例图展示中如

因为 s[0...3] == s[(i-3)...i] && s[0...1] == s[(i-1)...i],所以 s[0...1] == s[2...3] 的,所以指针 j 就可以直接转到 pi[j-1] 的地方,开始比较 s[j] 与 s[i+1];

真的很佩服这三个人(跪下)
j指针转移样例

例题
洛谷P3375 【模板】KMP字符串匹配
字符以 0 为开头写
#include <bits/stdc++.h>
#include <iostream>
#include <algorithm>
#include <stdio.h>
#include <string.h>
#include <stdlib.h>
//#pragma GCC optimize("O2")
using namespace std;
#define LL long long
#define ll long long
#define ULL unsigned long long
#define ls rt<<1
#define rs rt<<1|1
#define one first
#define two second
#define MS 1000009
#define INF 1e18
#define mod 99999997
#define Pi acos(-1.0)
#define Pair pair<LL,LL>
#define eps 1e-9
LL n,m,k;
char s[MS]; // 文本串
char e[MS]; // 模式串
LL hs,he; // 串长
LL kp[MS]; // 模式串 e 的前缀数组
LL kps[MS]; // 文本串 s 的前缀数组
LL ac[MS],tac; // 记录答案
void kmp_e(){ // 求模式串 e 的前缀数组
kp[0] = 0;
for(int i=1;i<he;i++){
int j = kp[i-1];
while(j>0 && e[j] != e[i]) j = kp[j-1];
if(e[j] == e[i]) j++;
kp[i] = j;
}
}
void kmp_s(){ // 求文本串 s 的前缀数组
int j = 0;
for(int i=0;i<hs;i++){
while(j>0 && s[i] != e[j]) j = kp[j-1];
if(s[i] == e[j]) j++;
kps[i] = j; // 记录
}
}
int main(){
ios::sync_with_stdio(false);
cin >> s;
cin >> e;
hs = strlen(s);
he = strlen(e);
kmp_e();
kmp_s();
for(int i=0;i<hs;i++){ // 若 s 前缀数组的值 与 模式串 e 相等 则记录位置
if(kps[i] == he){
ac[++tac] = i-he+1+1;
}
}
for(int i=1;i<=tac;i++){
cout << ac[i] << endl;
}
for(int i=0;i<he;i++){
cout << kp[i] << " ";
}
cout << endl;
return 0;
}
时隔一个多月还是写一写以 1 为开头的kmp;
感觉 1 开头的舒服些;
领悟了下 j 指针总是在模式串上跑的;
#include <bits/stdc++.h>
using namespace std;
#define LL long long
#define ll long long
#define ULL unsigned long long
#define Pair pair<LL,LL>
#define ls rt<<1
#define rs rt<<1|1
#define Pi acos(-1.0)
#define eps 1e-6
#define DBINF 1e100
#define mod 998244353
#define MAXN 1e18
#define MS 1000009
int n,m;
char s1[MS];
char s2[MS];
int kmps1_s2[MS];
int kmps2[MS];
int ac[MS];
int main() {
ios::sync_with_stdio(false);
cin >> s1+1;
cin >> s2+1;
int h1 = strlen(s1+1);
int h2 = strlen(s2+1);
for(int i=2,j=0;i<=h2;i++){
while(j && s2[i] != s2[j+1]) j = kmps2[j];
if(s2[i] == s2[j+1]) j++;
kmps2[i] = j;
}
for(int i=1,j=0;i<=h1;i++){
while(j && s1[i] != s2[j+1]) j = kmps2[j]; // j 指针总是在模式串上的 kmp 跑
if(s1[i] == s2[j+1]) j++;
kmps1_s2[i] = j;
}
int tot = 0;
for(int i=1;i<=h1;i++){
if(kmps1_s2[i] == h2){
ac[++tot] = i-h2+1;
}
}
for(int i=1;i<=tot;i++){
cout << ac[i] << "\n";
}
for(int i=1;i<=h2;i++){
cout << kmps2[i] << " ";
}
cout << "\n";
return 0;
}
又时隔4个多月,用fft板子试试字符串匹配,当然求border还是kmp;
#include <bits/stdc++.h>
using namespace std;
#define eps 1e-6
#define MS 1000009
#define LL long long
int n,m;
char s1[MS], s2[MS];
int kmps2[MS];
int h1, h2;
double A[MS], B[MS], S[MS];
double sumB, qzA[MS], jjSA[MS<<1];
// 洛谷 P3803 【模板】多项式乘法(FFT)
// MS = 1e6
// time: max( 800ms )
// ========================================================================================
typedef complex<double> comp;
const double PI = acos(-1);
const int N = (1<<21)+10; // 长度为原长度向上的2^n, 再乘 2
int lim, r[N];
comp a[N], b[N];
void fft(comp * a, int type) {
for(int i = 0; i < lim; i ++)
if(i < r[i]) swap(a[i], a[r[i]]);
for(int i = 1; i < lim; i <<= 1) {
comp x(cos(PI / i), type * sin(PI / i));
for(int j = 0; j < lim; j += (i << 1)) {
comp y(1, 0);
for(int k = 0; k < i; k ++, y *= x) {
comp p = a[j + k], q = y * a[j + k + i];
a[j + k] = p + q; a[j + k + i] = p - q;
}
}
}
}
// [0, n], [0, m]
void get(double *c1, int n, double *c2, int m){
for(int i = 0; i <= n; i ++) a[i] = c1[i];
for(int i = 0; i <= m; i ++) b[i] = c2[i];
int l = 0;
for(lim = 1; lim <= n + m; lim <<= 1) ++ l;
for(int i = 0; i < lim; i ++)
r[i] = (r[i >> 1] >> 1) | ((i & 1) << (l - 1));
fft(a, 1), fft(b, 1);
for(int i = 0; i <= lim; i ++) a[i] *= b[i];
fft(a, -1);
// 得出系数
for(int i = 0; i <= n + m; i ++) jjSA[i] = (LL)(0.5 + a[i].real() / lim);
}
// ========================================================================================
void kmp(char *s, int len){
for(int i=1,j=0;i<len;i++){
while(j && s[i] != s[j]) j = kmps2[j-1];
if(s[i] == s[j]) j++;
kmps2[i] = j;
}
}
int main() {
scanf("%s",s1); getchar();
scanf("%s",s2); getchar();
int h1 = strlen(s1), h2 = strlen(s2);
for(int i=0;i<h1;i++) A[i] = s1[i]-'a'+1; // 文本串
for(int i=0;i<h2;i++) B[i] = s2[i]-'a'+1; // 模式串
for(int i=0;i<h2;i++) S[i] = B[h2-i-1]; // 模式串翻转
// ∑B(i)^2 => sumB
for(int i=0;i<h2;i++) sumB += B[i]*B[i];
// ∑A(i)^2 的前缀 => qzA[]
qzA[0] = A[0]*A[0];
for(int i=1;i<h1;i++) qzA[i] = qzA[i-1] + A[i]*A[i];
// ∑S(i)A(j) => jjSA[]
// i+j=x
get(S, h2-1, A, h1-1);
// P(x) = sumB + qzA[x] - qzA[x-h2] - 2*jjSA[x]
for(int x=h2-1;x<h1;x++){
double P;
if(x == h2-1) P = sumB + qzA[x] - jjSA[x]*2;
else P = sumB + qzA[x] - qzA[x-h2] - jjSA[x]*2;
if(abs(P) < eps){
printf("%d\n",x-h2+2);
}
}
kmp(s2, h2);
for(int i=0;i<h2;i++){
printf("%d ",kmps2[i]);
}
return 0;
}

浙公网安备 33010602011771号