[luogu 2047]社交网络
##链接##
题目描述
在社交网络(social network)的研究中,我们常常使用图论概念去解释一些社会现象。不妨看这样的一个问题。在一个社交圈子里有n个人,人与人之间有不同程度的关系。我 们将这个关系网络对应到一个n个结点的无向图上,两个不同的人若互相认识,则在他们对应的结点之间连接一条无向边,并附上一个正数权值c,c越小,表示两 个人之间的关系越密切。
我们可以用对应结点之间的最短路长度来衡量两个人s和t之间的关系密切程度,注意到最短路径上的其他结点为s和t的联系提供了某种便利, 即这些结点对于s 和t之间的联系有一定的重要程度。我们可以通过统计经过一个结点v的最短路径的数目来衡量该结点在社交网络中的重要程度。
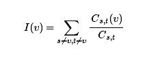
考虑到两个结点A和B之间可能会有多条最短路径。我们修改重要程度的定义如下:
令Cs,t表示从s到t的不同的最短路的数目,Cs,t(v)表示经过v从s到t的最短路的数目;则定义
为结点v在社交网络中的重要程度。
为了使I(v)和Cs,t(v)有意义,我们规定需要处理的社交网络都是连通的无向图,即任意两个结点之间都有一条有限长度的最短路径。
现在给出这样一幅描述社交网络s的加权无向图,请你求出每一个结点的重要程度。
输入输出格式
输入格式:
输入第一行有两个整数,n和m,表示社交网络中结点和无向边的数目。在无向图中,我们将所有结点从1到n进行编号。
接下来m行,每行用三个整数a, b, c描述一条连接结点a和b,权值为c的无向边。注意任意两个结点之间最多有一条无向边相连,无向图中也不会出现自环(即不存在一条无向边的两个端点是相同的结点)。
输出格式:
输出包括n行,每行一个实数,精确到小数点后3位。第i行的实数表示结点i在社交网络中的重要程度。
输入输出样例
输入样例#1:
4 4
1 2 1
2 3 1
3 4 1
4 1 1
输出样例#1:
1.000
1.000
1.000
1.000
说明
对于1号结点而言,只有2号到4号结点和4号到2号结点的最短路经过1号结点,而2号结点和4号结点之间的最短路又有2条。因而根据定义,1号结点的重要程度计算为1/2+1/2=1。由于图的对称性,其他三个结点的重要程度也都是1。
50%的数据中:n ≤10,m ≤45
100%的数据中:n ≤100,m ≤4 500,任意一条边的权值c是正整数,满足:1 ≤c ≤1 000。
所有数据中保证给出的无向图连通,且任意两个结点之间的最短路径数目不超过10^10。
noi2007原题(有点水)
统计i到j的总方案数和经过v的方案数
#include<iostream>
#include<cstdio>
using namespace std;
const int maxn = 200;
int n,m;
int a[maxn][maxn];
long long f[maxn][maxn];
double p[maxn];
int main() {
cin>>n>>m;
for (int i=1;i<=n;i++)
for (int j=1;j<=n;j++)
a[i][j]=99999999;
for(int i = 1; i <= m; i++) {
int u,v,w;
cin>>u>>v>>w;
a[u][v] = w;
a[v][u] = w;
f[u][v] = 1;
f[v][u] = 1;
}
for(int k = 1; k <= n; k++) {
for(int i = 1; i <= n; i++) {
for(int j = 1; j <= n; j++) {
if(a[i][j] == a[i][k] + a[k][j]) {
f[i][j] += f[i][k] * f[j][k];
}
if(a[i][j] > a[i][k] + a[k][j]) {
a[i][j] = a[i][k] + a[k][j];
f[i][j] = f[i][k] * f[k][j];
}
}
}
}
long long ans = 0;
for(int k = 1; k <= n; k++) {
for(int i = 1; i <= n; i++) {
for(int j = 1; j <= n; j++) {
if(i != j && j != k && i != k){
ans = 0;
if(a[i][j] == a[i][k] + a[k][j]) {
ans = f[i][k] * f[k][j];
}
p[k] += (double)ans/f[i][j];
}
}
}
printf("%.3lf\n",p[k]);
}
return 0;
}

浙公网安备 33010602011771号