学习笔记 【数学相关】
数学相关
质数:
质数是指在大于 \(1\) 的自然数中,除了 \(1\) 和它本身以外不再有其他因数的自然数。
\(N\) 以内的质数大约有 \(\frac{N}{\ln N}\)个
约数:
约数,又称因数。整数 \(a\) 除以整数 \(b\) (\(b≠0\)) 除得的商正好是整数而没有余数,我们就说 \(a\) 能被 \(b\) 整除,或 \(b\) 能整除 \(a\) 表示为 \(b\mid a\)。
例题1:分解质因数
唯一分解定理:
正整数 \(N\) 可被唯一分解为:
引理:
正整数 \(N\) 最多有一个大于 \(\sqrt{N}\) 的质因子。
solution:
枚举质因数 \(i\) 不断试除,最后若大于 \(1\) ,则代表有大于 \(\sqrt{n}\) 的质因子,且该质因子的次数为 \(1\) 。时间复杂度为 \(O(\log_2N-\sqrt{N})\)
代码
#include<cstdio>
#include<cmath>
#include<cstring>
using namespace std;
const int P=1e6+5;
int pr[P];
int main(){
int T; scanf("%d",&T);
while(T--){
int a; scanf("%d",&a);
memset(pr,0,sizeof(pr));
int num=0;
for(int i=2;i<=a/i;i++){
int cnt=0;
if(a%i==0){
while(a%i==0)
a/=i,cnt++;
printf("%d %d\n",i,cnt);
}
}
if(a>1) printf("%d %d\n",a,1);
puts("");
}
return 0;
}
例题2:试除法求约数
引理:
一个正整数 \(N\) 不是完全平方数,那么它的约数是成对出现的,设 \(a\mid N,b\mid N\) ,且 \(ab=N,a<b\) ,则有\(a<\sqrt{n}\,\,\,\,,\,\,\,\,\,b>\sqrt{n}\)
solution:
模拟即可,特判完全平方数。
代码
#include<cstdio>
#include<cmath>
using namespace std;
const int Q=6e6+5;
int yue[Q];
inline void sum(int a){
int cnt=0,sqr=sqrt(a);
for(int i=1;i<=sqr;i++)
if(a%i==0)
yue[++cnt]=i;
int zong;
if(sqr*sqr==a) zong=cnt*2-1;
else zong=cnt*2;
for(int i=1;i<=cnt;i++){
printf("%d ",yue[i]);
yue[zong-i+1]=a/yue[i];
}
for(int i=cnt+1;i<=zong;i++)
printf("%d ",yue[i]);
puts("");
}
int main(){
int n;scanf("%d",&n);
for(int i=1,a;i<=n;i++){
scanf("%d",&a);
sum(a);
}
return 0;
}
欧拉筛:
可以做到线性 \(O(n)\) 筛出 \(1-n\) 的质数,原理在于确保了合数 \(i\) 一定是被它最小的质因子筛掉。
代码
#include<cstdio>
using namespace std;
const int Q=6e6+5,N=1e8+5;
int n,q;
int pr[Q];
bool check[N];
inline void xxs(){
int cnt=0;
for(int i=2; i<=n; i++) {
if(!check[i]) pr[++cnt]=i;
for(int j=1; j<=cnt; j++) {
if(i*pr[j]>n) break;
check[i*pr[j]]=1;
if(i%pr[j]==0) break;
}
}
}
int main() {
xxs();
scanf("%d%d",&n,&q);
for(int i=1,k; i<=q; i++) {
scanf("%d",&k);
printf("%d\n",pr[k]);
}
return 0;
}
例题3:约数个数,约数之和
给定 \(n\) 个正整数 \(a_i\) ,请你输出这些数的乘积的约数个数与和,答案对 \(10^9+7\) 取模。
引理1:
正整数 \(N\) 的正约数个数为:
证明:
首先对 \(N\) 分解质因数:\(N=p_1 ^{c_1}\,p_2 ^{c_2} ... \,p_{n-1} ^{c_{n-1}}\,p_{n} ^{c_{n}}\)。\(p_1 ^{c_1}\) 的约数有 \(p_1 ^{0},p_1 ^{1},p_1 ^{2}...p_1 ^{c_1}\) 共 \((c_1+1)\) 个,同理 \(p_2 ^{c_2}\) 的约数有 \((c_2+1)\) 个,\(p_i ^{c_i}\) 的约数就有 \((c_i+1)\) 个,根据乘法原理, \(N\) 的约数个数就为 \((c_1+1)\times (c_2+1)\times (c_3+1)\times ... \times (c_n+1)\) 即 \(\prod _{i=1} ^{n} (c_i+1)\) 个。
证毕。
引理2:
正整数 \(N\) 的正约数之和为:
证明:
首先对 \(N\) 分解质因数:\(N=p_1 ^{c_1}\,p_2 ^{c_2} ... \,p_{n-1} ^{c_{n-1}}\,p_{n} ^{c_{n}}\)。\(p_1 ^{c_1}\) 的约数有 \(p_1 ^{0},p_1 ^{1},p_1 ^{2}...p_1 ^{c_1}\),同理,\(p_i ^{c_i}\) 的约数有 \(p_i ^{0},p_i ^{1},p_i ^{2}...p_i ^{c_i}\)。实际上 \(N\) 的约数是从 \(p_1 ^{c_1},p_2 ^{c_2} ... ,p_{n-1} ^{c_{n-1}},p_{n} ^{c_{n}}\)的约数中分别挑一个相乘得来,可知共有 \(\prod _{i=1} ^{n} (c_i+1)\) 种挑法。由乘法原理可得。
证毕。
solution:
我们需要保存一个质因数的次数,而数太大正常的数组存不下,所以开一个 \(\text{map}\) 来存。
代码
#include<cstdio>
#include<map>
#define mo 1000000007
using namespace std;
typedef long long LL;
int main()
{
int n;
scanf("%d",&n);
map<int,int> pr;
while(n--){
int a;scanf("%d",&a);
for(int i=2;i<=a/i;i++)
while(a%i==0) a/=i,pr[i]++;
if(a>1) pr[a]++;
}
//求约数个数
LL ans=1;
map<int,int>::iterator iter;
for(iter=pr.begin();iter!=pr.end();iter++)
ans=ans*(iter->second+1)%mo;
//
//求约数之和
LL ans=1;
map<int,int>::iterator iter;
for(iter=pr.begin();iter!=pr.end();iter++){
int p=iter->first,a=iter->second;
LL t=1;
while(a--)
t=(t*p+1)%mo;//手模一下
ans=ans*t%mo;
}
//
printf("%lld",ans);
return 0;
}
例题4:夏洛克和他的npy
例题5:质数距离
例题6:樱花
例题7:Hankson 的趣味题
欧拉函数:
对正整数 \(n\) ,欧拉函数是小于 \(n\) 的正整数中与 \(n\) 互质的数的个数,记作 \(\varphi(n)\) 。
引理1:
朴素求法代码
#include<cstdio>
using namespace std;
int phi(int x){
int ans=x;
for(int i=2;i<=x/i;i++){
if(x%i==0){
ans=ans/i*(i-1);
while(x%i==0) x/=i;
}
}
if(x>1) ans=ans/x*(x-1);
return ans;
}
时间复杂度 \(O(\sqrt n)\) 。
性质1:
若 \(p\mid n\) 且 \(p^2\mid n\) ,\(\varphi(n)=\varphi(\frac{n}{p})\times p\)。
性质2:
若 \(p\mid n\) 且 \(p^2\not\mid n\) ,\(\varphi(n)=\varphi(\frac{n}{p})\times (p-1)\)。
这样就有了筛法求欧拉函数:
筛法代码
inline void xxs(){
phi[1]=1;
for(int i=2;i<=n;i++){
if(!phi[i]) pr[++cnt]=i,phi[i]=i-1;
for(int j=1;j<=cnt;j++){
if(i*pr[j]>n) break;
if(i%pr[j]==0){//性质1
phi[i*pr[j]]=phi[i]*pr[j];
break;
}
else phi[i*pr[j]]=phi[i]*(pr[j]-1);//性质2
}
}
}
例题1:P2158 [SDOI2008] 仪仗队
例题2:P2568 GCD
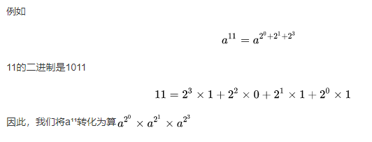
快速幂:
快速算底数的 \(n\) 次幂。其时间复杂度为 \(O(log_2N)\)。原理为:

代码
#include<cstdio>
using namespace std;
typedef long long LL;
int a,b,mod;
inline LL qpow(LL a,LL b){
LL res=1;
while(b){
if(b&1) res=res*a%mod;
a=a*a%mod;
b>>=1;
}
return res%mod;
}
int main(){
scanf("%d%d%d",&a,&b,&mod);
printf("%lld",qpow(a,b));
return 0;
}
例题1:P3197 [HNOI2008]越狱
同余:
给定一个正整数 \(m\) ,如果两个整数 \(a\) 和 \(b\) 满足 \(m\mid a-b\) ,即(a-b)/m得到一个整数,那么就称整数 \(a\) 与 \(b\) 对模 \(m\) 同余,记作 \(a\equiv b(\bmod m)\)。
性质:
- 反身性: \(a≡a (\bmod m)\) ;
- 对称性:若 \(a≡b(\bmod m)\) ,则 \(b≡a (\bmod m)\) ;
- 传递性:若 \(a≡b(\bmod m)\) , \(b≡c(\bmod m)\) ,则 \(a≡c(\bmod m)\) ;
- 同余式相加:若 \(a≡b(\bmod m)\) , \(c≡d(\bmod m)\) ,则 \(a+c≡b+d(\bmod m)\) ;
- 同余式相乘:若 \(a≡b(\bmod m)\) , \(c≡d(\bmod m)\) ,则 \(ac≡bd(\bmod m)\) 。
费马小定理:
若 \(p\in \mathbb{P}\) ,且 \(p\not\mid a\) ,则有:
欧拉定理:
设 \(m,a\in \mathbb{N^+}\) ,且 \(\gcd(a,m)=1\) ,则有:
欧拉定理推论:
设 \(m,a\in \mathbb{N^+}\) ,且 \(\gcd(a,n)=1\) ,对于 \(\forall b\in \mathbb{N^+}\) ,有:
例题1:同余方程
求关于 \(x\) 的同余方程 \(ax ≡ 1 (\bmod b)\)的最小正整数解。
扩展欧几里得算法:
用来求 \(ax+by=\gcd(a,b)\) 的整数解。
代码
LL x,y;
inline void exgcd(LL a,LL b){
if(!b){
x=1,y=0;
return ;
}
exgcd(b,a%b);
LL nx=x;
x=y,y=nx-a/b*y;
}
solution:
对于此题,我们要求的就是 \(ax+by=1\) ,但是我们只会求 \(ax+by=\gcd(a,b)\) ,能保证 \(a,b\) 互质吗?答案是能的:
引理1:
方程 \(ax+by=m\) 的必要条件是: \(m \bmod \gcd(a,b)=0\) 。
此题保证有解,所以 \(\gcd(a,b)=1\) 。
通解:
方程 \(ax+by=\gcd(a,b)\) 中 若有常数 \(k_1,k_2\) ,将 \(x+k_1,y-k_2\)带入 仍能使方程成立,那么 \((x+k_1),(y-k_2)\) 就是一组新解。
为得到所有的解,需满足 \(ak_1=bk_2=t\times \text{lcm}(a,b)(t\in \mathbb(N))\),\(\therefore k_1=\frac{b}{\gcd(a,b)},k_2=\frac{a}{\gcd(a,b)}\) 。
推广:
求 \(ax+by=c\) 的整数解。
设 \(d=\gcd(a,b)\) 。
在原式两边同乘 \(\frac{c}{d}\) 。
那么 \(x'=x\times \frac{c}{d},y'=y\times \frac{c}{d}\) 就是一组新的解。
若 \(d\not\mid c\) 无解。
例题2:青蛙的约会
乘法逆元:
如果整数 \(a,n\) 互质,使 \(ax \equiv 1\pmod n\) 成立的 \(x\),称为 \(a\) 关于 \(n\) 的乘法逆元,记为 \(a^{-1}\)。
求法:
- 在 \(n\in\mathbb{P}\) 时可用费马小定理 \(x=a^{n-2}\bmod n\) 。
- 在 \(\gcd(a,n)=1\) 时可用扩展欧几里得定理, \(x\) 即为所求。
- 线性推逆元公式:\(inv[i]=(p−p/i)×inv[p\bmod i]\bmod p\) 。
显然扩展欧几里得应用更加广泛。
中国剩余定理:
设 \(m_1,m_2,m_3 \cdots,m_n\) 是两两互质的整数,\(M=\prod\limits_{i=1}^{n}m_i,M_i=M/m_i\) ,\(inv_i\) 是 \(M_i\) 在模 \(m_i\) 意义下的逆元。对于 \(\forall a_1,a_2,a_3,\cdots ,a_n,a_i\in \mathbb{N}\),方程组
\(\begin{cases}x\equiv a_1 (\bmod m_1)\\x\equiv a_2 (\bmod m_2)\\x\equiv a_3(\bmod m_3)\\\cdots \\x\equiv a_n(\bmod m_n)
\end{cases}\),有整数解 \(x=(\sum\limits^{n}_{i=1} a_iM_iinv_i)\bmod M\) 。
代码
#include<cstdio>
using namespace std;
typedef long long LL;
const int N=15;
int n;
LL M=1,Mi[N],inv[N];
LL m[N],a[N];
LL x,y;
inline void exgcd(LL p,LL q){
if(!q){
x=1,y=0;
return ;
}
exgcd(q,p%q);
LL tx=x;
x=y,y=tx-p/q*y;
}
inline void CRT(){
LL ans=0;
for(int i=1;i<=n;i++){
Mi[i]=M/m[i];
exgcd(Mi[i],m[i]);
inv[i]=(x%m[i]+m[i])%m[i];
ans=(ans+(a[i]*Mi[i]%M*inv[i])%M)%M;
}
printf("%lld",ans);
}
int main(){
scanf("%d",&n);
for(int i=1;i<=n;i++){
scanf("%lld%lld",&m[i],&a[i]);
M*=m[i];
}
CRT();
return 0;
}
例题一:曹冲养猪
有若干头猪,建立了 \(a_i\) 个猪圈,有 \(b_i\) 头猪没有去处,求有多少头猪。
solution:
可列出同余方程组:
套 \(\text{CRT}\) 模板就好了。
代码
\\跟模板一样不放了。
组合数学:
组合:\(C_n^m=\frac{n!}{m!(n-m)!}\) 。
排列:\(A_n^m=\frac{n!}{(n-m)!}\) 。
性质:
- 互补性: \(C_n^m=C_n^{n-m}\) 。
- 组合恒等式:
卢卡斯定理:
代码
inline int lucas(LL a,LL b,int p){
if(a<p&&b<p) return C(a,b,p);
return (LL)C(a%p,b%p,p)*lucas(a/p,b/p,p)%p;
}
二项式定理:
代码
#include<cstdio>
using namespace std;
typedef long long LL;
const int N=1e6+5,p=1e9+7;
int inv[N],c[N];
int main(){
int n,a,b; scanf("%d%d%d",&n,&a,&b);
inv[1]=1;
for(int i=2;i<=n;i++)
inv[i]=(LL)(p-p/i)*inv[p%i]%p;
c[0]=1;
for(int i=1;i<=n;i++)
c[i]=(LL)c[i-1]*(n-i+1)%p*inv[i]%p;//在同行内推杨辉三角。
printf("%d",c[b]);
return 0;
}
证明一下:
\(C_n^i=C_n^{i-1}\times (n-i+1)\times \frac{1}{i!}\)
我们用柿子表示出来:
\(②\times (n-i+1)\),阶乘约掉一个剩下 \((n-i)!\) ,分母再乘个 \(i\) ,(i-1)!变成 \(i!\) 就和所求一样了。
证毕[滑稽]。
\(\text{Catalan}\) 数列
\(\mathbf{1,1,2,5,14,42,132,429}\)。
矩阵乘法:
设 \(A\) 为 \(n\times k\) 矩阵,\(B\) 为 \(k\times m\) 矩阵,那么它们的乘积 \(C\) 为一个 \(n\times m\) 矩阵。
矩阵乘法满足结合律,分配律但不满足交换律。
矩阵快速幂:
原理同普通的快速幂。
单位矩阵为:
用途:
- 加速递推来快速求出数列中某一项的值。
- 加速形如???的转移方程。
用途1:
例题1:P1939 矩阵加速(数列)
我们把原矩阵放在左面,想要得到的矩阵放在右面:
\(\begin{bmatrix} a_{x-1} & a_{x-2} & a_{x-3} \end{bmatrix} \quad\) \(\times\) \(\begin{bmatrix} ? & ? & ? \\ ? & ? & ? \\ ? & ? & ? \end{bmatrix} \quad\) \(=\) \(\begin{bmatrix} a_{x} & a_{x-1} &a_{x-2} \end{bmatrix} \quad\)
下面我们考虑构造这个矩阵。
\(\because a_{x}=a_{x-1}+a_{x-3}\),
\(\therefore\) 可确定第一列:
\(\begin{bmatrix} 1 & ? & ? \\ 0 & ? & ? \\ 1 & ? & ? \end{bmatrix}\)
原来的 \(a_{x-2}\) 变成了 \(a_{x-1}\) 这样就又确定一列:\(\begin{bmatrix} 1 & 1 & ? \\ 0 & 0 & ? \\ 1 & 0 & ? \end{bmatrix}\)。
同理:\(\begin{bmatrix} 1 & 1 & 0 \\ 0 & 0 & 1 \\ 1 & 0 & 0 \end{bmatrix}\)
这样矩阵就构造好了。
在 \(x\leq3\) 时,\(a_{x}\) 都为 \(1\) ,所以初始矩阵为\(\begin{bmatrix} 1 & 1 & 1 \end{bmatrix} \quad\) 。
然后通过矩阵快速幂用 \(O(\log_2n)\) 的时间内求出第 \(n\) 项。
代码
#include<cstdio>
#include<cstring>
using namespace std;
typedef long long LL;
const int mod=1e9+7;
struct Matrix{
LL c[5][5];
}a,res;
Matrix operator * (const Matrix &x,const Matrix &y){
Matrix t;
memset(t.c,0,sizeof(t.c));
for(int i=1;i<=3;i++)
for(int j=1;j<=3;j++)
for(int k=1;k<=3;k++)
t.c[i][j]=(t.c[i][j]+x.c[i][k]*y.c[k][j]%mod)%mod;
return t;
}
inline void qpow(int k){
res.c[1][1]=1,res.c[1][2]=1,res.c[1][3]=1;
a.c[1][1]=1,a.c[1][2]=1,a.c[1][3]=0,
a.c[2][1]=0,a.c[2][2]=0,a.c[2][3]=1,
a.c[3][1]=1,a.c[3][2]=0,a.c[3][3]=0;
while(k){
if(k&1) res=res*a;
a=a*a;
k>>=1;
}
printf("%lld\n",res.c[1][1]);
}
int main(){
int T; scanf("%d",&T);
while(T--){
int n; scanf("%d",&n);
if(n<=3){
printf("1\n");
continue;
}
qpow(n-3);
}
return 0;
}
注:一定要确定好初始矩阵的值。
例题2:P1962 斐波那契数列
依题意我们构造出矩阵:
\(\begin{bmatrix} 1 & 1 \\ 1 & 0 \end{bmatrix}
\quad\)
然后跑矩阵快速幂即可。
代码
#include<cstdio>
#include<cstring>
using namespace std;
typedef long long LL;
const int mod=1e9+7;
struct Matrix{
LL c[5][5];
}a,res;
Matrix operator * (const Matrix &x,const Matrix &y){
Matrix t;
memset(t.c,0,sizeof(t.c));
for(int i=1;i<=2;i++)
for(int j=1;j<=2;j++)
for(int k=1;k<=2;k++)
t.c[i][j]=(t.c[i][j]+x.c[i][k]*y.c[k][j]%mod)%mod;
return t;
}
inline void qpow(LL k){
a.c[1][1]=1,a.c[1][2]=1,
a.c[2][1]=1,a.c[2][2]=0;
res.c[1][1]=res.c[1][2]=1;
while(k){
if(k%2==1) res=res*a;
a=a*a;
k=k>>1;
}
printf("%lld",res.c[1][1]);
}
int main(){
LL n; scanf("%lld",&n);
if(n<=2) return puts("1"),0;
qpow(n-2);
return 0;
}
例题3:斐波那契数列和
同样我们设一个的矩阵:
\(\begin{bmatrix} F_x & F_{x-1} & sum_{x}\end{bmatrix}
\quad\)
然后同理构造出一个矩阵:
\(\begin{bmatrix} 1 & 1 & 1\\ 1 & 0 & 1 \\ 0 & 0 & 1 \end{bmatrix}
\quad\)
做矩阵快速幂即可。
代码
#include<cstdio>
#include<cstring>
using namespace std;
const int mod=1e9+7;
typedef long long LL;
struct M{
int c[5][5];
}a,res;
M operator * (const M &x,const M &y){
M t;
memset(t.c,0,sizeof(t.c));
for(int i=1;i<=3;i++)
for(int j=1;j<=3;j++)
for(int k=1;k<=3;k++)
t.c[i][j]=((LL)t.c[i][j]+(LL)x.c[i][k]*y.c[k][j]%mod)%mod;
return t;
}
inline void qpow(LL b){
a.c[1][1]=1,a.c[1][2]=1,a.c[1][3]=1,
a.c[2][1]=1,a.c[2][2]=0,a.c[2][3]=1,
a.c[3][1]=0,a.c[3][2]=0,a.c[3][3]=1;
res.c[1][1]=1,res.c[1][2]=1,res.c[1][3]=2;
while(b){
if(b%2==1) res=res*a;
a=a*a;
b/=2;
}
printf("%d\n",res.c[1][3]);
}
int main(){
LL n; scanf("%lld",&n);
if(n<=2){
if(n==1) puts("1");
else puts("2");
return 0;
}
qpow(n-2);
return 0;
}

浙公网安备 33010602011771号