Splay 树详解
前置知识:平衡树。
您需要写一种数据结构(可参考题目标题),来维护一些数,其中需要提供以下操作:
- 插入一个数 \(x\)。
- 删除一个数 \(x\)(若有多个相同的数,应只删除一个)。
- 定义排名为比当前数小的数的个数 \(+1\)。查询 \(x\) 的排名。
- 查询数据结构中排名为 \(x\) 的数。
- 求 \(x\) 的前驱(前驱定义为小于 \(x\),且最大的数)。
- 求 \(x\) 的后继(后继定义为大于 \(x\),且最小的数)。
对于操作 \(3,5,6\),不保证当前数据结构中存在数 \(x\)。
Splay 树核心思路是通过 splay 操作不断将操作节点旋转到根节点,从而保证均摊复杂度 \(\mathcal O(\log n)\)。
并且,Splay 树其实是 splay 越多越快的,splay 操作次数越多,树的形态也就越平衡。(也就是说,可以尝试随机 splay 几个点,时间消耗可能会有所提升。)
Splay 的各类平衡树操作都是简单的 BST 操作,操作完之后将操作节点 splay 到根节点即可。
Splay 基本结构/操作
以例题为例。
节点维护信息
struct node{
int value,cnt;
int size,father,child[2];
}t[N+1];
\(\textit{value}_x\) 为节点实际维护信息,\(\textit{cnt}_x\) 为相同节点个数。\(\textit{size}_x,\textit{father}_x,\textit{child}_{x,0},\textit{child}_{x,1}\) 分别为 \(x\) 子树大小、父节点、左子节点、右子节点。
钦定左子树的值均小于右子树的值。
同时,对于整棵平衡树而言,还需要存储整棵树的根节点 root。
辅助操作
void up(int p){
t[p].size=t[t[p].child[0]].size+t[p].cnt+t[t[p].child[1]].size;
}
bool check(int p){
return t[t[p].father].child[1]==p;
}
up 操作用于更新子树大小,check 操作用于判断是左子节点还是右子节点,\(0\) 表示左子节点,\(1\) 表示右子节点。
rotate 操作
如图:
先考虑右旋如何操作。
图中需要将 \(1\) 挂到 \(2\) 的右子树上,再将 \(5\) 挂到 \(1\) 的左子树上。
推广到一般情况,需要对节点 \(x\) 进行 rotate 操作,记 \(y=\textit{father}_x,z=\textit{father}_y\)。
则需要断边 \((z,y),(y,x),(x,\textit{child}_{x,1})\),连边 \((z,x),(x,y),(y,\textit{child}_{x,1})\)。且此时 \(y\) 为新的 \(\textit{child}_{x,1}\),原来的 \(\textit{child}_{x,1}\) 为新的 \(\textit{child}_{y,0}\)。
注意需要同时更新 \(\textit{child}_0,\textit{child}_1\) 和 \(\textit{father}\),并且不要影响 \(0\) 号节点,需要特判。
显然,右旋是将左子节点旋转上去,左旋是将右子节点旋转上去。且左旋是与右旋相对的,因此可以通过判断 \(x\) 是 \(\textit{father}_x\) 的左子节点还是右子节点,从而判断是左旋还是右旋。
一定要注意节点信息更改的顺序。记 \(y=\textit{father}_x,z=\textit{father}_y\),则修改 \(\textit{child}_z\) 之前不应当修改 \(y\) 的父节点,否则 check 函数无法正确判断。同时,不要修改 \(0\) 节点的信息。
void rotate(int x){
int y=t[x].father,z=t[y].father;
bool mode=check(x);
t[y].child[mode]=t[x].child[!mode];
t[x].child[!mode]=y;
if(z){
t[z].child[check(y)]=x;
}
if(t[y].child[mode]){
t[t[y].child[mode]].father=y;
}
t[y].father=x;
t[x].father=z;
up(y);
up(x);
}
splay 操作
splay 操作是 Splay 树的核心操作。如同 FHQ Treap 的 split 操作与 merge 操作。
splay 操作用于将节点 \(x\) 通过 rotate 操作旋转至根节点。
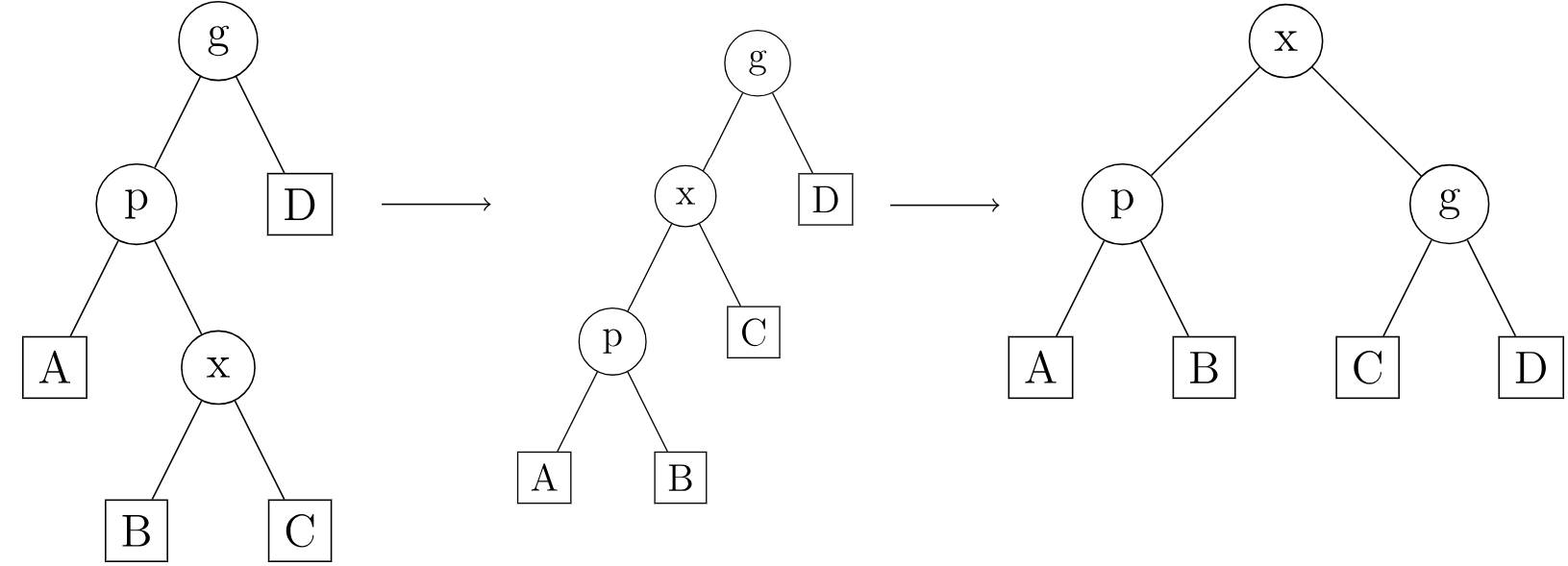
假设对 \(x\) 进行 splay 操作,记 \(p\) 为本次 rotate 操作之前的 \(\textit{father}_x\),\(g\) 为本次 rotate 操作之前的 \(\textit{father}_p\)。
zig 与 zag
zig 指代此处的右旋(将左孩子转上去),zag 指代左旋(将右孩子转下来)。
splay 操作中途有三种具体操作:
-
zig 与 zag 操作:当 \(p\) 为根节点时,直接
rotate一次即可。 -
zig-zig 与 zag-zag 操作:当 \(p\) 不为根节点,且 \(x,p\) 为同侧子节点时,先
rotate一次 \(p\),再rotate一次 \(x\) 即可。如图:
-
zig-zag 与 zag-zig 操作:当 \(p\) 不为根节点,且 \(x,p\) 为异侧子节点时,先
rotate一次 \(x\),此时 \(\textit{father}_x=g\),再rotate一次 \(x\) 即可。这样可以将 \(x\)
rotate上去的同时,将 \(p\) 也抬升一层,从而保证均摊复杂度。如图:

int splay(int x){
while(t[x].father){
int p=t[x].father;
if(!t[p].father){
rotate(x);
break;
}
if(check(p)==check(x)){
rotate(p);
rotate(x);
}else{
rotate(x);
rotate(x);
}
}
return x;
}
查找元素
Splay 与 FHQ Treap 暴力分裂不同,Splay 的很多操作都是在 BST 上完成的,因此需要在 BST 上查找元素。查找完成后,将其 splay 到根节点,也有利于各种操作的实现。
特别地,若查询值为 \(x\) 的节点不存在时,应当查找到其前驱/后继节点。
int find(int x){
int p=root;
while(true){
if(t[p].value==x){
break;
}else if(x<t[p].value){
if(!t[p].child[0]){
break;
}else{
p=t[p].child[0];
}
}else{
if(!t[p].child[1]){
break;
}else{
p=t[p].child[1];
}
}
}
return root=splay(p);
}
同样不难写出按排名查找的代码:
int kth(int k,int p=root){
while(true){
if(t[t[p].child[0]].size+1<=k&&k<=t[t[p].child[0]].size+t[p].cnt){
break;
}else if(k<t[t[p].child[0]].size+1){
p=t[p].child[0];
}else{
k-=t[t[p].child[0]].size+t[p].cnt;
p=t[p].child[1];
}
}
root=splay(p);
return t[root].value;
}
Splay 平衡树操作
插入节点
比较简单,在 BST 上查找,最终要么找到值同样为 \(x\) 的节点,修改 \(\textit{cnt}\) 即可;否则最终会找到一个空节点,创建节点并挂到父节点上,再 splay 到根节点即可。
注意插入完成后要进行一次 up 操作。特判空树。
void insert(int x){
if(!root){
root=create(x);
return;
}
int p=root;
while(true){
if(t[p].value==x){
t[p].cnt++;
break;
}else if(x<t[p].value){
if(!t[p].child[0]){
t[p].child[0]=create(x);
t[t[p].child[0]].father=p;
p=t[p].child[0];
break;
}else{
p=t[p].child[0];
}
}else{
if(!t[p].child[1]){
t[p].child[1]=create(x);
t[t[p].child[1]].father=p;
p=t[p].child[1];
break;
}else{
p=t[p].child[1];
}
}
}
up(p);
root=splay(p);
}
删除节点
通过 find 找到待删除节点,旋转到根节点。
-
若根节点的值不是待删除节点,结束操作。
-
否则将 \(\textit{cnt}_{\textit{root}},\textit{size}_{\textit{root}}\) 减去 \(1\)。
-
若此时 \(\textit{cnt}_{\textit{root}}\neq0\),结束操作。
-
否则若 \(\textit{cnt}_{\textit{root}}=0\),则根节点实际上应当被删除。
那么此时的两个子节点 \(p,q\) 就成为了独立的两棵子树,需要将其合并。钦定子树 \(p\) 的值均小于子树 \(q\) 的值。
那么,从子树 \(q\) 中找到一个最小值,将其
splay到 \(q\) 的父节点,成为新的 \(\textit{root}\) 即可。此时 \(p,q\) 分别为 \(\textit{root}\) 的左右子节点。
-
void erase(int x){
find(x);
if(t[root].value!=x){
return;
}
t[root].cnt--;
t[root].size--;
if(t[root].cnt){
return;
}
int p=t[root].child[0],q=t[root].child[1];
t[p].father=t[q].father=0;
if(!p||!q){
root=p|q;
return;
}
kth(1,q);
t[root].child[0]=p;
t[p].father=root;
up(root);
}
查询排名
令待查询节点为 \(x\)。
首先可以通过 find 找出其 \(x\) 或者前驱/后继,并旋转到根节点 \(\textit{root}\)。
-
若 \(\textit{value}_{\textit{root}}<x\),则说明 \(\textit{root}\) 是 \(x\) 的前驱,因此可以直接得到答案 \(\textit{size}_{\textit{child}_{\textit{root},0}}+\textit{cnt}_{\textit{root}}+1\)。
-
否则 \(x\leq\textit{value}_{\textit{root}}\),则说明左子树 \(\textit{child}_{\textit{root},0}\) 内即所有小于 \(x\) 的数。因此可以得到答案 \(\textit{size}_{\textit{child}_{\textit{root},0}}+1\)。
int rank(int x){
find(x);
if(t[root].value<x){
return t[t[root].child[0]].size+t[root].cnt+1;
}else{
return t[t[root].child[0]].size+1;
}
}
查询前驱
首先显然可以 find 一次。若 \(\textit{value}_{\textit{root}}<x\),则说明 \(\textit{root}\) 是 \(x\) 的前驱,答案即 \(\textit{value}_{\textit{root}}\)。
否则答案即左子树中的最大值。
int prev(int x){
find(x);
if(t[root].value<x){
return t[root].value;
}
int p=t[root].child[0];
while(t[p].child[1]){
p=t[p].child[1];
}
root=splay(p);
return t[root].value;
}
查询后继
与查询前驱同理。
int next(int x){
find(x);
if(x<t[root].value){
return t[root].value;
}
int p=t[root].child[1];
while(t[p].child[0]){
p=t[p].child[0];
}
root=splay(p);
return t[root].value;
}
分裂与合并
Splay 同样可以完成 FHQ Treap 的分裂/合并操作。
先考虑合并,但其实删除节点时,根节点被删除之后就是一次合并两棵 Splay 树的操作。
对于 \(p,q\),保证 \(p\) 中节点值小于 \(q\) 中节点值,把 \(q\) 的最小值 splay 到根,然后把 \(p\) 挂载 \(q\) 的左子节点即可。
对于分裂,将 \(x\) splay 到根,然后断开左子树的边即可。
例题 AC 代码
//#include<bits/stdc++.h>
#include<algorithm>
#include<iostream>
#include<cstring>
#include<iomanip>
#include<cstdio>
#include<string>
#include<vector>
#include<cmath>
#include<ctime>
#include<deque>
#include<queue>
#include<stack>
#include<list>
using namespace std;
constexpr const int N=1e5;
struct Splay{
static int root;
int size;
struct node{
int value,cnt;
int size,father,child[2];
}t[N+1];
void up(int p){
t[p].size=t[t[p].child[0]].size+t[p].cnt+t[t[p].child[1]].size;
}
bool check(int p){
return t[t[p].father].child[1]==p;
}
void rotate(int x){
int y=t[x].father,z=t[y].father;
bool mode=check(x);
t[y].child[mode]=t[x].child[!mode];
t[x].child[!mode]=y;
if(z){
t[z].child[check(y)]=x;
}
if(t[y].child[mode]){
t[t[y].child[mode]].father=y;
}
t[y].father=x;
t[x].father=z;
up(y);
up(x);
}
int splay(int x){
while(t[x].father){
int p=t[x].father;
if(!t[p].father){
rotate(x);
break;
}
if(check(p)==check(x)){
rotate(p);
rotate(x);
}else{
rotate(x);
rotate(x);
}
}
return x;
}
int create(int x){
t[++size]={x,1,1};
return size;
}
void insert(int x){
if(!root){
root=create(x);
return;
}
int p=root;
while(true){
if(t[p].value==x){
t[p].cnt++;
break;
}else if(x<t[p].value){
if(!t[p].child[0]){
t[p].child[0]=create(x);
t[t[p].child[0]].father=p;
p=t[p].child[0];
break;
}else{
p=t[p].child[0];
}
}else{
if(!t[p].child[1]){
t[p].child[1]=create(x);
t[t[p].child[1]].father=p;
p=t[p].child[1];
break;
}else{
p=t[p].child[1];
}
}
}
up(p);
root=splay(p);
}
int find(int x){
int p=root;
while(true){
if(t[p].value==x){
break;
}else if(x<t[p].value){
if(!t[p].child[0]){
break;
}else{
p=t[p].child[0];
}
}else{
if(!t[p].child[1]){
break;
}else{
p=t[p].child[1];
}
}
}
return root=splay(p);
}
void erase(int x){
find(x);
if(t[root].value!=x){
return;
}
t[root].cnt--;
t[root].size--;
if(t[root].cnt){
return;
}
int p=t[root].child[0],q=t[root].child[1];
t[p].father=t[q].father=0;
if(!p||!q){
root=p|q;
return;
}
kth(1,q);
t[root].child[0]=p;
t[p].father=root;
up(root);
}
int rank(int x){
find(x);
if(t[root].value<x){
return t[t[root].child[0]].size+t[root].cnt+1;
}else{
return t[t[root].child[0]].size+1;
}
}
int kth(int k,int p=root){
while(true){
if(t[t[p].child[0]].size+1<=k&&k<=t[t[p].child[0]].size+t[p].cnt){
break;
}else if(k<t[t[p].child[0]].size+1){
p=t[p].child[0];
}else{
k-=t[t[p].child[0]].size+t[p].cnt;
p=t[p].child[1];
}
}
root=splay(p);
return t[root].value;
}
int prev(int x){
find(x);
if(t[root].value<x){
return t[root].value;
}
int p=t[root].child[0];
while(t[p].child[1]){
p=t[p].child[1];
}
root=splay(p);
return t[root].value;
}
int next(int x){
find(x);
if(x<t[root].value){
return t[root].value;
}
int p=t[root].child[1];
while(t[p].child[0]){
p=t[p].child[0];
}
root=splay(p);
return t[root].value;
}
void print(int p=root){
if(!p){
return;
}
print(t[p].child[0]);
for(int i=1;i<=t[p].cnt;i++){
cerr<<t[p].value<<' ';
}
print(t[p].child[1]);
}
}t;
int Splay::root;
int main(){
/*freopen("test.in","r",stdin);
freopen("test.out","w",stdout);*/
ios::sync_with_stdio(false);
cin.tie(0);cout.tie(0);
int n;
cin>>n;
while(n--){
int opt,x;
cin>>opt>>x;
switch(opt){
case 1:
t.insert(x);
break;
case 2:
t.erase(x);
break;
case 3:
cout<<t.rank(x)<<'\n';
break;
case 4:
cout<<t.kth(x)<<'\n';
break;
case 5:
cout<<t.prev(x)<<'\n';
break;
case 6:
cout<<t.next(x)<<'\n';
break;
}
}
cout.flush();
/*fclose(stdin);
fclose(stdout);*/
return 0;
}
Splay 与可持久化
Splay 是不能可持久化的,因为 Splay 的复杂度是基于势能均摊得到的。
只有复杂度严格一致或是期望一致的数据结构才能可持久化。
否则例如 Splay,可以构造一种情况需要将深度为 \(\mathcal O(n)\) 的节点 splay 到根节点,可持久化每一次都是这个版本,复杂度就变为了 \(\mathcal O(mn)\)。
所以还是写 FHQ Treap 吧。
Splay 区间操作
Splay 因为可以分裂/合并,因此可以模拟 FHQ Treap 维护区间。时间复杂度 \(\mathcal O(m\log n)\)。
但是,存在更好写,也更应用 Splay 特性的区间操作写法。
维护一个有序序列 \(a_1,a_2,\cdots,a_n\),初始 \(a_i=i\)。给定 \(m\) 次操作,每次翻转区间 \([l,r]\)。
求 \(m\) 次操作之后的序列。
对于 \(100\%\) 的数据,\(1\leq n,m\leq100000\)。
建树
Splay 维护序列建树其实很简单,直接构造一条链即可。
由于 Splay 操作区间 \([l,r]\) 的时候,需要用到节点 \(l-1,r+1\),因此还要插入 \(0\) 和 \(n+1\) 号节点,给这两个点赋一个特殊值即可。
void build(int n,int a[]){
root=create(inf);
for(int i=1;i<=n;i++){
int p=create(a[i]);
t[root].father=p;
t[p].child[0]=root;
up(p);
root=p;
}
int p=create(inf);
t[root].father=p;
t[p].child[0]=root;
up(p);
root=p;
}
区间操作
首先,找到 \(l-1,r+1\) 对应的节点 \(\textit{pl},\textit{pr}\)。
将 \(\textit{pl}\) splay 到根,再把 \(\textit{pr}\) splay 到 \(\textit{pl}\) 的右子节点。
此时,\(\textit{pr}\) 的左子树即对应 \([l,r]\),原因显然。
维护懒标记操作即可。
void reverse(int l,int r){
l++,r++;
int pl=kth(l-1),pr=kth(r+1);
root=splay(pl);
t[t[pl].child[1]].father=0;
t[pl].child[1]=splay(pr);
t[pr].father=pl;
t[t[pr].child[0]].tag^=1;
}
懒标记
由于懒标记涉及左右子树信息更新,因此在按排名查找 kth 时,需要先下传更新。之后 splay、rotate 上去时,因为标记已经下放完了,所以不用管。
如果没有下放标记,你把 down 写在 rotate 里面是错的,因为标记要从上往下下放,不然你下放了又有新的。
所以在 LCT 之类的东西里面,还要再写一个 update 来先下放所有标记。
void down(int p){
if(t[p].tag){
t[t[p].child[0]].tag^=1;
t[t[p].child[1]].tag^=1;
swap(t[p].child[0],t[p].child[1]);
t[p].tag=0;
}
}
void rotate(int x){
int y=t[x].father,z=t[y].father;
bool mode=check(x);
t[y].child[mode]=t[x].child[!mode];
t[x].child[!mode]=y;
if(z){
t[z].child[check(y)]=x;
}
if(t[y].child[mode]){
t[t[y].child[mode]].father=y;
}
t[y].father=x;
t[x].father=z;
up(y);
up(x);
}
int kth(int k,int p){
while(true){
down(p);
if(t[t[p].child[0]].size+1==k){
break;
}else if(k<t[t[p].child[0]].size+1){
p=t[p].child[0];
}else{
k-=t[t[p].child[0]].size+1;
p=t[p].child[1];
}
}
return p;
}
参考代码
//#include<bits/stdc++.h>
#include<algorithm>
#include<iostream>
#include<cstring>
#include<iomanip>
#include<cstdio>
#include<string>
#include<vector>
#include<cmath>
#include<ctime>
#include<deque>
#include<queue>
#include<stack>
#include<list>
using namespace std;
constexpr const int N=100000,inf=0x3f3f3f3f;
int n,a[N+1];
struct Splay{
int root,size;
struct node{
int value;
int size,father,child[2];
bool tag;
}t[N+2+1];
void up(int p){
t[p].size=t[t[p].child[0]].size+1+t[t[p].child[1]].size;
}
bool check(int p){
return t[t[p].father].child[1]==p;
}
int create(int x){
t[++size]={x,1};
return size;
}
void build(int n,int a[]){
root=create(inf);
for(int i=1;i<=n;i++){
int p=create(a[i]);
t[root].father=p;
t[p].child[0]=root;
up(p);
root=p;
}
int p=create(inf);
t[root].father=p;
t[p].child[0]=root;
up(p);
root=p;
}
void down(int p){
if(t[p].tag){
t[t[p].child[0]].tag^=1;
t[t[p].child[1]].tag^=1;
swap(t[p].child[0],t[p].child[1]);
t[p].tag=0;
}
}
void rotate(int x){
int y=t[x].father,z=t[y].father;
bool mode=check(x);
t[y].child[mode]=t[x].child[!mode];
t[x].child[!mode]=y;
if(z){
t[z].child[check(y)]=x;
}
if(t[y].child[mode]){
t[t[y].child[mode]].father=y;
}
t[y].father=x;
t[x].father=z;
up(y);
up(x);
}
int splay(int x){
while(t[x].father){
int p=t[x].father;
if(!t[p].father){
rotate(x);
break;
}
if(check(p)==check(x)){
rotate(p);
rotate(x);
}else{
rotate(x);
rotate(x);
}
}
return x;
}
int kth(int k,int p){
while(true){
down(p);
if(t[t[p].child[0]].size+1==k){
break;
}else if(k<t[t[p].child[0]].size+1){
p=t[p].child[0];
}else{
k-=t[t[p].child[0]].size+1;
p=t[p].child[1];
}
}
return p;
}
int kth(int k){
return kth(k,root);
}
void reverse(int l,int r){
l++,r++;
int pl=kth(l-1),pr=kth(r+1);
root=splay(pl);
t[t[pl].child[1]].father=0;
t[pl].child[1]=splay(pr);
t[pr].father=pl;
t[t[pr].child[0]].tag^=1;
}
void print(int p){
if(!p){
return;
}
down(p);
print(t[p].child[0]);
if(t[p].value!=inf){
cout<<t[p].value<<' ';
}
print(t[p].child[1]);
}
void print(){
print(root);
}
}t;
int main(){
/*freopen("test.in","r",stdin);
freopen("test.out","w",stdout);*/
ios::sync_with_stdio(false);
cin.tie(0);cout.tie(0);
int m;
cin>>n>>m;
for(int i=1;i<=n;i++){
a[i]=i;
}
t.build(n,a);
while(m--){
int l,r;
cin>>l>>r;
t.reverse(l,r);
}
t.print();
cout.flush();
/*fclose(stdin);
fclose(stdout);*/
return 0;
}

浙公网安备 33010602011771号