(笔记)笛卡尔树
前言:对着模板手敲笛卡尔树板子,这还真是写奇奇怪怪 DS 以来第一次没看别人的板子敲出来的。
笛卡尔树 Cartesian Tree
用法大概有在树上 DP,利用二叉树先序、中序、后序遍历等,一般都和区间最大值/最小值有关。
笛卡尔树的性质(小根堆为例):在笛卡尔树上两个节点 \(u,v\),\(\min_{i=u}^v pri[i]=pri[\text{LCA}(u,v)]\)。
问题背景
给定一个 \(1 \sim n\) 的排列 \(p\),构建其笛卡尔树。
即构建一棵二叉树,满足:
每个节点的编号(键值 \(key\))满足二叉搜索树的性质。
节点 \(i\) 的权值为 \(pri[i]\),每个节点的权值满足小根堆(或大根堆)的性质。
二叉搜索树性质:对于任意节点 \(u\) 的左子树内节点 \(v_1\) 有 \(key[v_1]\le key[u]\),右子树内节点 \(v_2\) 有 \(key[u]\le key[v_2]\)。
小根堆性质:对于任意节点 \(u\) 及其左右儿子 \(ls,rs\) 有 \(pri[u]\le pri[ls],pri[u]\le pri[rs]\)。
说白了就是静态平衡树(Treap)。
构建过程
构建一颗笛卡尔树的方式有很多种,然而最常用且最便捷的仍是 \(O(n)\) 的单调栈建树,这里以小根堆为例展示。
为便于表述,先给出下文用到的几个定义:
左父亲:一个节点的左父亲存在当且仅当该节点为父节点的右儿子。
右父亲:一个节点的右父亲存在当且仅当该节点为父节点的左儿子。
右链:一个集合,包含从根节点的右儿子与集合中点所有的右儿子,没有右儿子即不计入。
笛卡尔树有一个很奇妙的性质,你可以从一个叶子节点出发,每向上走一个节点相当于给区间向左或向右扩展了一定距离,并且如果走到的是右父亲,就是向右扩展,反之相同。
由这个性质我们可以得出,假如一个节点 \(v\) 代表区间 \([l,r]\),向上走到的第一个左父亲一定是 \(l-1\),走到的第一个右父亲一定是 \(r+1\)。
节点表示为 \(v\),其权值表示为 \(val_v\),其左儿子 \(ls\),右儿子 \(rs\),则显然有:
\(val_v\le val_{ls},val_v\le val_{rs}\)
\(ls<v,v<rs\)
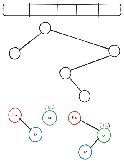
建树过程加入第 \(i\) 个节点,可以假设已经加好了前 \(i-1\) 个节点,此时利用单调栈维护笛卡尔树的右链,假设我们要插入的节点为 \(u\),找到右链上最后一个权值小于等于它的节点令为 \(fa\),且令其在树上的原右儿子为 \(v\),接下来连边:

观察到,每次操作后树都满足二叉搜索树与小根堆的性质。
好了!那么连边就完成了。完成若干次这样的连边,即可线性地建一颗完整的笛卡尔树。这样做的缺点是比较容易被卡,当权值为单调不降序列,该树可能退化成一条链。
代码贴贴
(舍弃简洁性换可读性zz)
点击查看代码
#include<bits/stdc++.h>
#define int long long
using namespace std;
const int N=1e7+5;
int n,p[N],ans1,ans2;
int rt;
struct Node{
int ls,rs,fa;
int val;
}tre[N];
int stk[N],tp;
void ins(int u,int va){
while(tp&&tre[stk[tp]].val>va)tp--;//手写单调栈
if(!tp){
tre[rt].fa=u;//没有比u小的节点
tre[u].ls=rt;//令u为根节点且左儿子为原根节点
//符合编号二叉搜索树性质
rt=u;
}
else {
int fa=stk[tp],v=tre[fa].rs;
tre[v].fa=u;tre[u].ls=v;//v->u
tre[fa].rs=u;tre[u].fa=fa;//u->fa
}
tre[u].val=va;
stk[++tp]=u;
}
signed main(){
ios::sync_with_stdio(0);
cin.tie(0);cout.tie(0);
cin>>n;
for(int i=1;i<=n;i++){
cin>>p[i];
ins(i,p[i]);
}
for(int i=1;i<=n;i++){
ans1^=i*(tre[i].ls+1);
ans2^=i*(tre[i].rs+1);
}
cout<<ans1<<' '<<ans2;
return 0;
}
例题
SP3734 PERIODNI - Periodni
根据题意,我们可以大致想到一个树上 DP 的思路(\(f[u][k]\) 在节点 \(u\),子树内共放 \(k\) 个数)。每次划分矩形,假设当前节点所代表的矩形长为 \(a\) 宽为 \(b\),如果是叶子节点(边界条件)有:

(From SP3734,侵删)
转移来说,不难推出:
这个式子是 \(O(nk^3)\) 的,考虑优化,这是一个类似加法卷积的形式,观察到有大量重复的 \(i,j\) 在不同的 \(k\) 中被使用,预处理出下式即可:
点击查看代码
#include<bits/stdc++.h>
#define int long long
using namespace std;
const int N=500+5,MOD=1e9+7,INF=1e12,M=1e6;
int n,k,ans1,ans2;
int rt;
struct Node{
int ls,rs,fa;
int val;
}tre[N];
int stk[N],tp;
void ins(int x,int va){
while(tp&&tre[stk[tp]].val>va)tp--;
if(!tp){
if(rt)tre[rt].fa=x;
tre[x].ls=rt;
rt=x;
}
else {
int u=stk[tp],rsu=tre[u].rs;
tre[rsu].fa=x;tre[x].ls=rsu;
tre[u].rs=x;tre[x].fa=u;
}
tre[x].val=va;
stk[++tp]=x;
}
int p[N],dp[N][N],jc[M+5],mn[N],mx[N];
int ny[M+5];
void init(){
jc[0]=1;ny[0]=ny[1]=1;
for(int i=2;i<=M;i++)ny[i]=(MOD-MOD/i)*ny[MOD%i]%MOD;
for(int i=2;i<=M;i++)ny[i]=ny[i-1]*ny[i]%MOD;
for(int i=1;i<=M;i++)jc[i]=jc[i-1]*i%MOD;
}
int inv(int x){
return ny[x];
}
int C(int m,int n){
if(n>m||n<0)return 0;
if(n==m||n==0)return 1;
return jc[m]*inv(n)%MOD*inv(m-n)%MOD;
}
int cho(int row,int col,int v){
return C(row,v)*C(col,v)%MOD*jc[v]%MOD;
}
int plu(int x,int y){
return (x%MOD+y%MOD+MOD)%MOD;
}
int sz(int u){
return mx[u]-mn[u]+1;
}
int g[N];
void dfs(int u,int mns){
if(!u)return ;
dp[u][0]=1;
int ls=tre[u].ls,rs=tre[u].rs,uh=p[u]-mns;
if(!ls&&!rs){
for(int i=1;i<=k;i++)dp[u][i]=cho(sz(u),uh,i);
return ;
}
if(!ls||!rs){
int v;
if(!ls)v=rs;
else v=ls;
dfs(v,p[u]);
g[0]=1;
for(int i=1;i<=k;i++)g[i]=0;
for(int i=1;i<=k;i++)
g[i]=plu(g[i],dp[v][i]%MOD);
dp[u][0]=1;
for(int i=1;i<=k;i++)
for(int j=0;j<=i;j++)
dp[u][i]=plu(dp[u][i],g[j]*cho(sz(u)-j,uh,i-j)%MOD);
return ;
}
dfs(ls,p[u]);
dfs(rs,p[u]);
g[0]=1;
for(int i=1;i<=k;i++)g[i]=0;
for(int i=1;i<=k;i++)
for(int j=0;j<=i;j++)
g[i]=plu(g[i],dp[ls][j]*dp[rs][i-j]%MOD);
dp[u][0]=1;
for(int i=1;i<=k;i++)
for(int j=0;j<=i;j++)
dp[u][i]=plu(dp[u][i],g[j]*cho(sz(u)-j,uh,i-j)%MOD);
}
void rdfs(int x){
if(!x)return ;
mn[x]=mx[x]=x;
rdfs(tre[x].ls);
rdfs(tre[x].rs);
if(tre[x].ls){
mn[x]=min(mn[x],mn[tre[x].ls]);
mx[x]=max(mx[x],mx[tre[x].ls]);
}
if(tre[x].rs){
mn[x]=min(mn[x],mn[tre[x].rs]);
mx[x]=max(mx[x],mx[tre[x].rs]);
}
}
signed main(){
ios::sync_with_stdio(0);
cin.tie(0);cout.tie(0);
cin>>n>>k;init();dp[0][0]=1;
for(int i=1;i<=n;i++){
cin>>p[i];
ins(i,p[i]);
}
rdfs(rt);
dfs(rt,0);
cout<<dp[rt][k];
return 0;
}
P1377 [TJOI2011] 树的序
观察题目,给的键值其实就相当于 \(key\),把输入顺序作为优先级 \(pri\) 按照 \(key\) 升序排序后建出笛卡尔树,然后输出先序遍历即可。
点击查看代码
#include<bits/stdc++.h>
#define int long long
using namespace std;
const int N=1e5+5;
int n,ans1,ans2;
int rt;
struct Node{
int ls,rs,fa;
int val;
}tre[N];
int stk[N],tp;
void ins(int x,int va){
while(tp&&tre[stk[tp]].val>va)tp--;
if(!tp){
if(rt)tre[rt].fa=x;
tre[x].ls=rt;
rt=x;
}
else {
int u=stk[tp],rsu=tre[u].rs;
tre[rsu].fa=x;tre[x].ls=rsu;
tre[u].rs=x;tre[x].fa=u;
}
tre[x].val=va;
stk[++tp]=x;
}
void dfs(int x){
if(!x)return ;
cout<<x<<' ';
if(tre[x].ls<tre[x].rs){
dfs(tre[x].ls);
dfs(tre[x].rs);
}
else {
dfs(tre[x].rs);
dfs(tre[x].ls);
}
}
int p[N];
signed main(){
ios::sync_with_stdio(0);
cin.tie(0);cout.tie(0);
cin>>n;
for(int i=1;i<=n;i++){
int id;cin>>id;
p[id]=i;
}
for(int i=1;i<=n;i++){
ins(i,p[i]);
}
dfs(rt);
return 0;
}
P4755 Beautiful Pair
利用经典性质,每次左右子树中的节点匹配(左右子树都可以包含根节点),我们需要保证建出的树不是太劣,然后在上面类似于分治地处理,其实想到可以每次在左右子树中选一个 \(siz\) 较小的,然后数据结构维护另一个子树的信息(下标为 \(a_i\),值为 \(cnt\)),计入答案即可。可以保证这样的时间在 \(O(n\log n)\) 内(参考树上启发式合并),加上数据结构可以做到 \(O(n\log^2 n)\)。
点击查看代码
#include<bits/stdc++.h>
#define int long long
using namespace std;
const int N=4e6+5;
int n,p[N];
int rt;
struct Tre{
int tt[N];
int lowbit(int x){return x&-x;}
void ins(int p,int x){for(int i=p;i<=n;i+=lowbit(i))tt[i]+=x;}
int que(int p){int rs=0;for(int i=p;i;i-=lowbit(i)){rs+=tt[i];}return rs;}
}T;
struct Node{
int ls,rs,fa;
int val;
}tre[N];
int cnt;
struct Q{
int r,lim,id,opt;
}qs[N],dt[N];
int stk[N],tp;
void ins(int x,int va){
while(tp&&tre[stk[tp]].val<va)tp--;
int u,rsu;
if(!tp)u=0,rsu=rt;
else u=stk[tp],rsu=tre[u].rs;
tre[rsu].fa=x;tre[u].rs=x;
tre[x].fa=u;tre[x].ls=rsu;
tre[x].val=va;
if(!tp)rt=x;
stk[++tp]=x;
}
int ans;
void dfs(int u,int l,int r){
if(!u)return ;
int lsiz=u-l,rsiz=r-u;
int ls=tre[u].ls,rs=tre[u].rs;
dfs(ls,l,u-1);dfs(rs,u+1,r);
if(lsiz<=rsiz)
for(int i=l;i<=u;i++){
qs[++cnt]=(Q){u-1,p[u]/p[i],1,-1};
qs[++cnt]=(Q){r,p[u]/p[i],1,1};
}
else
for(int i=u;i<=r;i++){
qs[++cnt]=(Q){l-1,p[u]/p[i],1,-1};
qs[++cnt]=(Q){u,p[u]/p[i],1,1};
}
}
bool cmp(Q x,Q y){
if(x.lim==y.lim)return x.id<y.id;
return x.lim<y.lim;
}
void cdq(int l,int r){
if(l>=r)return ;
int mid=(l+r)>>1;
cdq(l,mid);cdq(mid+1,r);
int nl=l,cpt=0,cgt=l;
for(int nr=mid+1;nr<=r;nr++){
while(nl<=mid&&qs[nl].r<=qs[nr].r){
if(!qs[nl].id)cpt++;
dt[cgt++]=qs[nl++];
}
ans+=qs[nr].opt*cpt;
dt[cgt++]=qs[nr];
}
while(nl<=mid)dt[cgt++]=qs[nl++];
for(int i=l;i<=r;i++)qs[i]=dt[i];
}
signed main(){
ios::sync_with_stdio(0);
cin.tie(0);cout.tie(0);
cin>>n;
for(int i=1;i<=n;i++){
cin>>p[i];
ins(i,p[i]);
}
dfs(rt,1,n);
for(int i=1;i<=n;i++){
qs[++cnt]=(Q){i,p[i],0,0};
}
sort(qs+1,qs+1+cnt,cmp);
cdq(1,cnt);
cout<<ans;
return 0;
}
[NFLSOJ]我们
Problem:给定一个长度为 \(n\) 的序列 \({a_n}\),求有多少对 \([l,r]\) 满足:
\[(a_l\cup a_{l+1}\cup\dotsc\cup a_r)\oplus (a_l\cap a_{l+1}\cap\dotsc\cap a_r)\geq \max(a_l,a_{l+1},\dotsc,a_r) \](多测,\(\sum n\le 10^6\))
观察到一个核心性质,一个区间向外扩展,它的贡献 \(W=(a_l\cup a_{l+1}\cup\dotsc\cup a_r)\oplus (a_l\cap a_{l+1}\cap\dotsc\cap a_r)\) 单调不减。利用这个性质,我们先对序列建出大根堆笛卡尔树,然后在笛卡尔树上选取 \(u\) 的左右子树中较小的一个进行暴力枚举(作为左端点或右端点),其对应的区间可以二分出来。根据启发式合并这样做总共是 \(O(n\log^2 n)\) 的,卡卡能过。
点击查看代码
#include<bits/stdc++.h>
using namespace std;
typedef long long LL;
const int N=1e6+5;
int n,rt;
LL a[N];
int stk[N],tp;
struct Node{
int lc,rc,fa;
LL val;
}t[N];
inline void clr(int x){t[x].lc=t[x].rc=t[x].fa=0;t[x].val=0;}
void insert(int x){
while(tp&&t[stk[tp]].val<t[x].val)tp--;
if(!tp){
t[rt].fa=x;
t[x].lc=rt;
rt=x;
}
else {
int u=stk[tp],rc=t[u].rc;
t[rc].fa=x;t[x].lc=rc;
t[u].rc=x;t[x].fa=u;
}
stk[++tp]=x;
}
int L[N],R[N],lg2[N];
LL lor[N][21],land[N][21];
LL qor(int l,int r){
int siz=lg2[r-l+1];
return lor[l][siz]|lor[r-(1<<siz)+1][siz];
}
LL qand(int l,int r){
int siz=lg2[r-l+1];
return land[l][siz]&land[r-(1<<siz)+1][siz];
}
LL ans;
void dfs(int u){
L[u]=u,R[u]=u;
if(t[u].lc)dfs(t[u].lc),L[u]=min(L[u],L[t[u].lc]);
if(t[u].rc)dfs(t[u].rc),R[u]=max(R[u],R[t[u].rc]);
if(u-L[u]+1<=R[u]-u+1){
for(int i=L[u];i<=u;i++){
int l=u,r=R[u],res=R[u]+1;
while(l<=r){
int mid=(l+r)>>1;
if((qor(i,mid)^qand(i,mid))>=t[u].val)res=mid,r=mid-1;
else l=mid+1;
}
ans+=R[u]-res+1;
}
}
else {
for(int i=u;i<=R[u];i++){
int l=L[u],r=u,res=L[u]-1;
while(l<=r){
int mid=(l+r)>>1;
if((qor(mid,i)^qand(mid,i))>=t[u].val)res=mid,l=mid+1;
else r=mid-1;
}
ans+=res-L[u]+1;
}
}
}
int main(){
//freopen("us.in","r",stdin);
//freopen("us.out","w",stdout);
ios::sync_with_stdio(0);
cin.tie(0);cout.tie(0);
int T;cin>>T;
lg2[1]=0;t[0].val=(1ll<<61);
for(int i=2;i<=N-5;i++)lg2[i]=lg2[i>>1]+1;
while(T--){
cin>>n;rt=0;ans=0;tp=0;
for(int i=1;i<=n;i++)
cin>>a[i],clr(i),
t[i].val=a[i],insert(i),
lor[i][0]=land[i][0]=a[i];
for(int j=1;(1<<j)<=n;j++)
for(int i=1;i+(1<<j)-1<=n;i++){
lor[i][j]=lor[i][j-1]|lor[i+(1<<(j-1))][j-1],
land[i][j]=land[i][j-1]&land[i+(1<<(j-1))][j-1];
}
dfs(rt);
cout<<ans<<'\n';
}
return 0;
}

浙公网安备 33010602011771号