EULAR25_POS0185_腱鞘炎与D2TRA
难治性RA(D2TRA)与非D2TRA患者的临床和超声表型比较:来自单中心队列的经验[意大利]
关键词: 生物DMARD,超声,合并症,预后因素
小结: 回顾性分析了2020至2024年间意大利都灵大学诊所的D2TRA患者,他们在基线时疾病活动度更高,超声检查中伸肌腱鞘炎累及频率更高且炎症评分有升高趋势。提示腱鞘炎在D2TRA表型中的重要性。

背景:
肌骨超声(US)可能有助于通过检测持续性关节炎症来识别D2TRA患者。然而,在符合D2TRA标准之前,需要可靠的超声模式进行风险分层,这具有重要的临床意义[1]。
目的:
在一个单中心队列中,研究D2TRA的超声发现和预测因素,并描述D2TRA患者的临床特征。
方法:
本研究回顾性纳入了2020-2024年间在我们诊所就诊的D2TRA患者。收集了人口统计学、超声和临床数据,并与同期在我们诊所随访的一组连续的非D2TRA患者进行比较。缺失数据记录超过5%的患者被排除在研究之外。我们将患者在接受任何生物/小分子靶向DMARDs(b/tsDMARDs)治疗前进行的超声检查视为基线超声(index US)。通过超声评估以下区域:腕关节、掌指关节(MCP)、近端指间关节(PIP)、肩关节、膝关节和踝关节。所有超声评估均由我们中心的专家风湿科医生使用配备高分辨率15-24 MHz线阵探头的Esaote MyLabX8超声仪进行,并根据OMERACT标准评估滑膜炎、骨侵蚀和腱鞘炎[2]。评估不同关节部位时采用了标准化且国际认可的扫描技术[3]。根据需要使用卡方检验、Fisher精确检验、Wilcoxon检验和T检验进行统计分析。
结果:
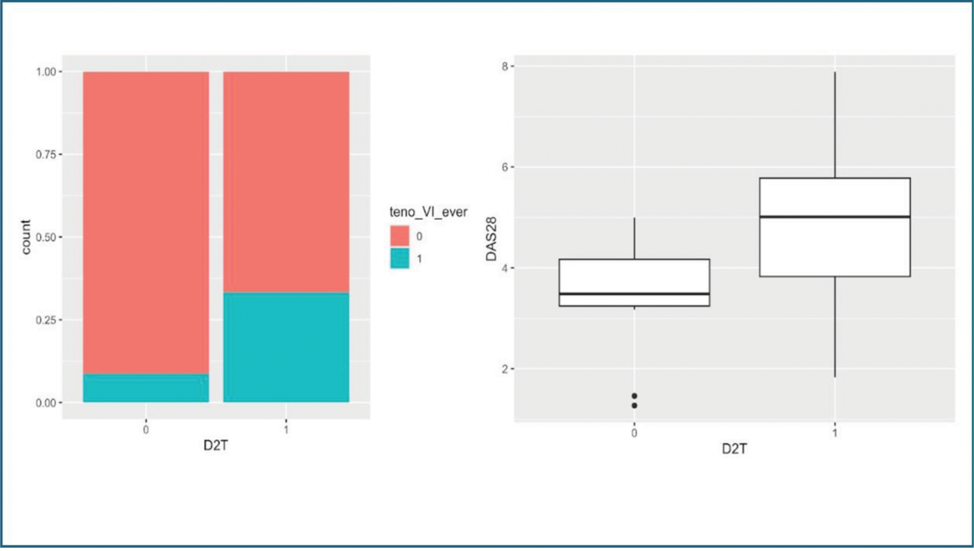
研究共纳入124例患者(表1),中位随访时间(±IQR)为18.6年(11.98-25.22)。其中92例(74%)患者符合EULAR的D2TRA标准。D2TRA患者诊断时的中位年龄较低,但未达到统计学显著性(47±14.4岁 vs 55±11.6岁,p=0.08)。在心血管疾病、糖尿病、高血压、间质性肺病(ILD)患病率以及代谢紊乱合并症方面,D2TRA组与非D2TRA组之间未发现显著差异。在124例患者中,有56例在开始任何b/tsDMARDs治疗前接受了超声评估。其中,有33例患者后续进展为D2TRA。在进行基线超声检查时,后来成为D2TRA的患者DAS28评分更高(4.4 vs 3.4, p=0.008)。31例D2TRA患者(34%)和21例非D2TRA患者(65%)存在超声可检测到的滑膜炎。在关节受累模式或每位患者的发炎关节数量方面均无统计学显著差异。与非D2TRA患者相比,进展为D2TRA的患者往往表现出更广泛和更严重的滑膜炎,总体灰阶(GS)和能量多普勒(PD)值更高,但未达到统计学显著性(总GS评分 7.56 vs 9.42, p=0.32;总PD评分 6.42 vs 8.36, p=0.32;总GS+PD评分 17.9 vs 14.0, p=0.23)。分别有20例进展为D2TRA的患者(21.7%)和13例非D2TRA患者(41.9%)观察到腱鞘炎(p=0.97)。在D2TRA组中,伴有腱鞘炎的患者平均DAS28-CRP更高(4.49 ±1.31 vs. 3.75± 1.08, p =0.023)。第六伸肌间室(腕尺侧伸肌腱鞘)的腱鞘炎在后来成为D2TRA的患者中更常见(OR 5.1 [0.94-52.9], p =0.052)。基线时,56例D2TRA患者(60.8%)和17例非D2TRA患者(54.8%)发现骨侵蚀(p=0.7)。
结论:
后来进展为D2TRA的患者显示出更高的基线疾病活动度。在基线超声检查时,在后续成为D2TRA的患者中检测到腕尺侧伸肌腱受累的患病率更高,并且炎症评分有更高的趋势。D2TRA患者中存在活动性腱鞘炎与更高的整体疾病活动度评分相关,提示肌腱炎症成分在D2TRA表型中的重要性。
参考文献:
[1] Bellis E, Agugliaro F, Garulli C, et al. 肌肉骨骼超声在难治性RA中的作用:系统文献综述的启示。 Autoimmun Rev. 2025;24(1):103694. doi:10.1016/j.autrev.2024.103694.
[2] Nagy G, Roodenrijs NMT, Welsing PM, et al. EULAR对难治性类风湿关节炎的定义。 Ann Rheum Dis. 2021;80(1):31-35. doi:10.1136/annrheumdis-2020-217344.
[3] 2017年EULAR风湿病超声成像标准化程序。 Möller I, et al. Ann Rheum Dis. 2017.PMID: 28814430.
表1. 队列的人口学和临床数据

图1.D2TRA 患者和非 D2TRA 患者的左侧第 VI 筋膜室腱鞘炎发生率及左侧 DAS28-CPR 评分对比

致谢: 无。
利益冲突声明:无
浙公网安备 33010602011771号