EULAR25_OP0324_TREAT EARLIER-长期随访
甲氨蝶呤干预对RA发生风险高的ACPA阳性和ACPA阴性关节痛患者在疾病发展和疾病负担方面的长期可持续性:来自TREAT EARLIER试验的5年结果
关键词:磁共振成像、抗风湿药物(DMARDs)、临床试验、自身抗体
小结: 分析结果显示, 对于ACPA阴性患者,1年甲氨蝶呤治疗可长期减少RA发展并改善躯体功能;而ACPA阳性患者则未见长期益处。这表明,对于ACPA阴性患者,关节痛阶段的亚临床炎症可能是预防RA的关键时期。

背景:
预防抗瓜氨酸化蛋白抗体(ACPA)阳性和ACPA阴性的类风湿关节炎(RA)的发生以及减轻其疾病负担是当前尚未满足的需求。最近,一些针对RA高风险关节痛患者的安慰剂对照临床试验显示,在停药后1年的随访中,疾病负担或RA的发展显示出有希望的结果。然而,需要长期随访来评估时间有限的干预措施的积极效果是否持久。由于ACPA阳性和ACPA阴性RA的发展在病理生理学上存在差异,因此在关节痛阶段干预措施的有效性也可能不同,这一观点得到了TREAT EARLIER试验最近中期分析的支持。为了正确解释预防干预措施长期有效性的结果,有必要分别研究高风险发展为RA的ACPA阳性和ACPA阴性关节痛。
目的:
我们旨在研究在预测高风险RA的ACPA阳性和ACPA阴性关节痛患者中,1年的甲氨蝶呤治疗是否在5年随访中产生长期有益效果,包括减少RA的发展和减轻高风险人群的疾病负担。
方法:
TREAT EARLIER试验是一项随机、安慰剂对照的概念验证试验,纳入了临床疑似关节痛和亚临床关节炎症的患者。试验人群包括54名ACPA阳性患者和66名ACPA阴性患者(由于广泛的亚临床关节炎症而处于高预测风险)。回顾性来看, 预测风险较低(<10%)的ACPA阴性患者未纳入本研究。患者随机接受单次肌肉注射糖皮质激素后,再进行为期1年的甲氨蝶呤治疗(最高25 mg/周),或接受安慰剂注射和药片。患者随访5年。两个主要终点是发展为RA和通过身体功能(健康评估问卷[HAQ], 0-3)测量的疾病负担。次要终点包括关节疼痛和晨僵(视觉模拟量表VAS 0-100)。由于有两个主要终点,p值<0.025被认为具有统计学意义。
结果:
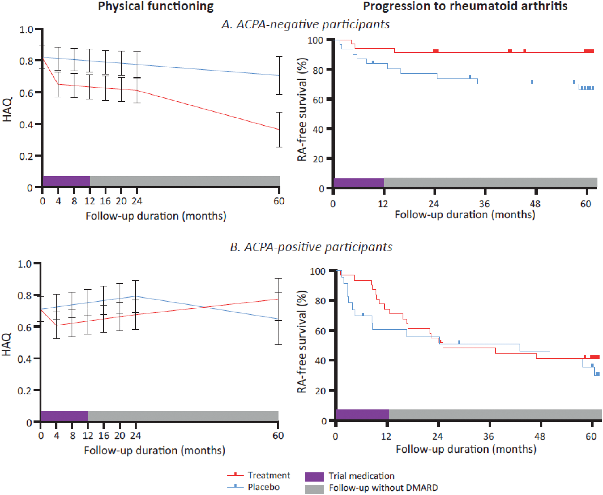
对ACPA阴性参与者进行为期1年的治疗提供了双重长期益处。他们在5年的随访中发展为RA的比例较低(9% vs 32%,风险比HR 0.24(95%置信区间0.07-0.87),p=0.018)。他们还在5年随访中持续改善身体功能(HAQ平均差异-0.16,(95%CI -0.29, -0.04),p=0.008,图1A)。有趣的是,这种效应是由未发展为RA的患者身体功能的持续改善所导致的。相比之下,接受治疗的ACPA阳性参与者没有持久的益处。在5年后,RA的发展没有减少(58% vs 65%,HR 0.75(0.38-1.49),p=0.41)。此外,与2年数据显示的身体功能改善不同,这种初始益处在5年后消失了(p=0.12,图1B)。晨僵和疼痛的次要终点在ACPA阴性组中也更为有利。
结论:
这项概念验证试验首次表明,使用廉价的甲氨蝶呤进行时间有限的干预对发展为ACPA阳性和ACPA阴性RA具有不同的长期效果。虽然ACPA阳性高风险个体没有在疾病负担上获得持续改善,但预测风险增加的ACPA阴性个体在5年时在多个方面受益:RA的发展持续减少,高风险个体的身体功能也得到了长期改善。这表明,具有亚临床炎症的关节痛风险阶段主要是发展为ACPA阴性RA的“机会之窗”。
图1. 在接受治疗的ACPA阴性、高风险发展为RA的患者中,观察到身体功能的持续改善和RA进展的减少(A),而ACPA阳性患者则未观察到长期益处(B)。

参考文献:无
致谢:我们感谢所有参与者、患者合作伙伴以及阿尔伯特·施韦策医院、阿尔里恩医院、伊拉斯谟医学中心、鹿特丹港诊所、伊塞尔兰医院、伊卡齐亚医院、弗朗西斯卡斯医院和弗利特兰医院、格罗内哈特医院、海牙医疗中心(所有地点)、哈加医院、兰格兰医院、米特兰医疗中心、马斯特达医院、雷尼尔·德·格拉夫医院、西南荷兰部风湿病护理中心和斯帕尔恩医院的所有风湿病专家。我们感谢研究资助方:荷兰科学研究委员会(NWO)ZonMW基金(“转化研究”项目,项目编号95104004;荷兰关节炎协会对该基金提供了财务支持)。
利益冲突披露:无
++++++++++++++++++
相关文献
TREAT EARLIER研究的首篇论文
Krijbolder DI, Verstappen M, van Dijk BT, Dakkak YJ, Burgers LE, Boer AC, Park YJ, de Witt-Luth ME, Visser K, Kok MR, Molenaar ETH, de Jong PHP, Böhringer S, Huizinga TWJ, Allaart CF, Niemantsverdriet E, van der Helm-van Mil AHM. Intervention with methotrexate in patients with arthralgia at risk of rheumatoid arthritis to reduce the development of persistent arthritis and its disease burden (TREAT EARLIER): a randomised, double-blind, placebo-controlled, proof-of-concept trial. Lancet. 2022 Jul 23;400(10348):283-294. doi: 10.1016/S0140-6736(22)01193-X. PMID: 35871815.
文摘译文
背景:类风湿关节炎是全球最常见的自身免疫性疾病,需要长期治疗以抑制炎症。目前,治疗通常在关节炎临床表现明显时才开始。我们的目标是评估在关节痛和亚临床关节炎症阶段进行早期干预,是否能够预防临床关节炎的发展或减轻疾病负担。
方法:我们在荷兰莱顿大学医学中心进行了一项随机、双盲、安慰剂对照的概念验证试验。年龄在18岁及以上的成年人,如果临床怀疑关节痛会进展为类风湿关节炎,并且通过磁共振成像(MRI)检测到亚临床关节炎症,就有资格在荷兰西南部的13个风湿病门诊诊所进行登记,并随机分配(1:1)接受单次肌内注射糖皮质激素(120 mg)和为期1年的口服甲氨蝶呤治疗(每周最多25 mg),或安慰剂(单次注射和1年的药片)。参与者和研究人员对分组情况均不知情。在1年治疗期结束后,继续随访1年。主要终点是持续至少2周的临床关节炎的发展(符合2010年类风湿关节炎分类标准或涉及两个或更多关节)。患者报告的身体功能、症状和工作生产力是次要终点,每4个月测量一次。此外,还研究了MRI检测到的炎症的进程。所有参与者均纳入意向性治疗分析。该试验已在EudraCT(2014-004472-35)和荷兰试验登记处(NTR4853-trial-NL4599)注册。
结果:2015年4月16日至2019年9月11日期间,共有901名患者接受了资格评估,其中236名患者被纳入并随机分配到积极治疗组(n=119)或安慰剂组(n=117)。在2年时,两组之间主要终点的发生频率相似(治疗组119名参与者中有23名[19%],安慰剂组117名中有21名[18%];风险比0.81,95%置信区间0.45至1.48)。在最初的4个月内,治疗组的身体功能改善更为显著,并且在随后的2年中一直优于安慰剂组(健康评估问卷残疾指数的平均组间差异:-0.09,95%置信区间-0.16至-0.03;p=0.0042)。类似地,疼痛(0-100评分量表,平均组间差异:-8,95%置信区间-12至-4;p<0.0001)、关节晨僵(-12,-16至-8;p<0.0001)、在岗工作效率下降(-8%,-13至-3;p=0.0007)以及MRI检测到的关节炎症(-1.4分,-2.0至-0.9;p<0.0001)在治疗组中与安慰剂组相比均显示出持续改善。两组中严重不良事件的数量相同;不良事件与甲氨蝶呤已知的安全性特征一致。
解释:作为类风湿关节炎治疗基石的甲氨蝶呤,在症状和亚临床炎症的前关节炎阶段开始使用,并未能预防临床关节炎的发展,但通过持续改善MRI检测到的炎症、相关症状和功能障碍,改变了疾病进程,与安慰剂相比显示出显著效果。
资助:荷兰科学研究委员会(NWO;荷兰关节炎协会)。
TREAT EARLIER研究的MTX剂量不足?
Krijbolder DI, Boom HD, van der Helm-van Mil AHM. Exploratory analysis of the TREAT EARLIER trial: is the efficacy of temporary methotrexate treatment dose-dependent? Lancet Rheumatol. 2023 Aug;5(8):e437-e439. doi: 10.1016/S2665-9913(23)00164-9. Epub 2023 Jul 24. PMID: 38251573; PMCID: PMC7615883.
本文是对TREAT EARLIER试验的探索性分析,旨在研究甲氨蝶呤剂量与治疗效果之间的关系。研究对象为具有临床怀疑性关节痛和亚临床关节炎症的患者。结果显示,较高的甲氨蝶呤剂量与更大的MRI检测到的关节炎症改善、疼痛减轻、功能障碍改善以及工作相关障碍改善相关。尽管试验中治疗未能预防类风湿关节炎的发展,但这些发现对于考虑在临床怀疑性关节痛阶段进行临时治疗的个体具有重要意义。研究表明,至少20 mg/周的剂量才能显著改善症状和功能。
治还是不治? TREAT EARLIER的研究者对于pre-RA的态度
Krijbolder DI, Khidir SJH, van der Helm-van Mil AH. To treat or not to treat? Current attitudes on treatment aimed at modifying the disease burden in clinically suspect arthralgia: a survey among participants of the TREAT EARLIER trial and healthcare professionals. RMD Open. 2023 Aug;9(3):e003031. doi: 10.1136/rmdopen-2023-003031. PMID: 37532468; PMCID: PMC10401213.
本文研究了临床上可疑关节痛(CSA)患者和风湿病学家对1年期DMARD治疗在关节痛阶段减轻疾病负担的态度。研究发现,大多数试验参与者认为1年期治疗有益,且会推荐给有类似关节症状的人。三分之二的参与者认为在CSA阶段,预防RA和改善疾病负担同等重要。大多数医疗专业人员认为应为CSA患者开具1年期治疗方案,以长期改善症状和功能,而非预防RA发展。59%的专业人员相信1年期甲氨蝶呤治疗的益处大于副作用等缺点。研究强调了优化治疗方案和疾病监测的需求,以便未来做出此类治疗决策,同时避免可能弊大于利的干预措施。
浙公网安备 33010602011771号