深度学习入门-基于Python的理论与实现(鱼书)学习笔记-Chapter3-神经网络
Chapter 3. 神经网络
3.1 从感知机到神经网络
神经网络分为三层:输入层, 中间层(也称隐藏层), 输出层
)
实例中的网络一共有三层,但是只有两层有权重,所以也成为两层网络, 但是有的书也看层数将其成为三层网络
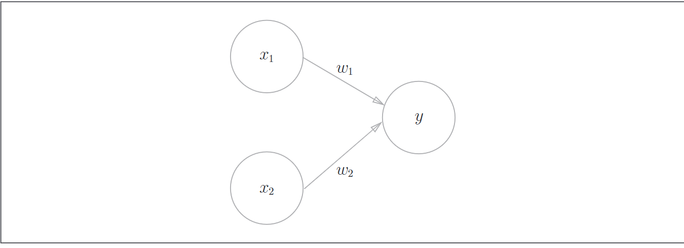
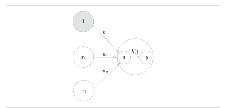
接下来观察一个感知机

当然这里偏置b没有表现出来,也可以把偏置b当成一个信号恒为1, 权重为b的神经元

用数学式表示
可以写得更简洁一些
引出激活函数
刚刚的\(h(x)\)将输入信号的总和转换为输出信号,这样的函数称为激活函数,作用是决定如何来激活输入信号的总和

3.2 激活函数
3.2.1 sigmoid函数
def sigmoid(x):
return 1.0 / (1 + numpy.exp(-x))
)
3.2.2 阶跃函数
def step_function(x):
if (x > 0):
return 1
else:
return 0
为了方便后面的操作,可以把它修改成为支持Numpy数组的实现
def step_function(x):
y = x > 0
return y.astype(np.int64)

注意 阶跃函数和sigmoid函数都是非线性函数,神经网络的激活函数必须使用非线性函数,使用线性函数的缺点在于:不管如何加深层数,总是存在与之等效的"无隐藏层的神经网络", 这样的话加深神经网络层数就没有意义了
3.2.3 ReLU函数
def relu(x):
return np.maximum(0, x)

3.3 多维数组的运算
3.3.1 多维数组
np.dim() 返回数组的维数
np.shape返回数组的形状,类型为tuple
3.3.2 矩阵乘法
这里主要是线性代数的知识

Numpy中的矩阵乘法
np.dot(matA, matB)
A = np.array([[1, 2], [3, 4]])
B = np.array([[5, 6], [7, 8]])
C = np.dot(A, B)
注意
矩阵乘法和广播计算不同
3.3.3 神经网络的内积

X = np.array([1, 2])
W = np.array([[1, 3, 5], [2, 4, 6]])
Y = np.dot(X, W)
3.4 三层神经网络的实现

输入层(第0层)有2个神经元
第1个隐层层(第1层)有3个神经元
第2个隐藏层(第2层)有2个神经元
输出层(第3层)有2个神经元
一些符号的规定

传递过程

用矩阵表示就是
然后就是这个式子
X = np.array([1.0, 0.5])
W1 = np.array([[0.1, 0.3, 0.5], [0.2, 0.4, 0.6]])
B1 = np.array([0.1, 0.2, 0.3])
A1 = np.dot(X, W1) + B1
之后再加上激活函数sigmoid可以实现从输入层到第1层的传递

Z1 = sigmoid(A1)
接着实现从第1层到第2层的传递

W2 = np.array([[0.1, 0.4], [0.2, 0.5], [0.3, 0.6]])
B2 = np.array([0.1, 0.2])
A2 = np.dot(Z1, W2) + B2
Z2 = sigmoid(A2)
最后是从第2层到输出层的传递, 这里激活函数有些不一样

W3 = np.array([[0.1, 0.3], [0.2, 0.4]])
B3 = np.array([0.1, 0.2])
A3 = np.dot(Z2, W3) + B3
Y = identity_function(A3)
注意
一般地,回归问题可以使用恒等函数,二分类问题可以使用sigmoid函数,多元分类问题可以使用softmax函数
代码实现小结
3.5 输出层的设计
神经网络可以用在分类问题和回归问题上,不过需要根据情况改变输出层的激活函数
恒等函数
输入信号原封不动地被输出
def identify_function(x):
return x

softmax函数
表示:假设输出层一共有n个神经元,计算第k个神经元的输出\(y_k\),softmax函数的分子是输入信号\(a_k\)的指数函数,分母是所有输入信号的指数函数的和
def softmax(x):
exp_x = np.exp(x)
sum_exp_x = np.sum(exp_x)
y = exp_x / sum_exp_x
return y

softmax函数需要注意的事
由于指数爆炸,所有数可能会非常打,所以要做一些变换
def softmax(x):
c = np.max(x)
exp_x = np.exp(x)
sum_exp_x = np.sum(exp_x)
y = exp_x / sum_exp_x
return y
softmax函数的特征
- 1- softmax函数总是输出0.0到1.0之间的实数
- 2 -softmax函数输出值的总和是1,所以才可以把softmax函数的输出解释为"概率"
- 3 -即使使用了softmax函数,各个元素之间的大小关系也不会改变
求解机器学习问题的步骤可以分为“学习”和“推理”两个阶段,首先,在学习阶段进行模型的学习,然后,在推理阶段,用学到的模型对未知的数据进行推理(分类)。推理阶段一般都会省略输出层的softmax函数。在输出层使用softmax函数是因为它和神经网络的学习有关
输出层的神经元的数量
输出层的神经元的数量需要根据待解决的问题来决定。对于分类问题,输出层的神经元数量一般设定为类别的数量

浙公网安备 33010602011771号