Snu77

YOLOv8改进 | EIoU、SIoU、WIoU、DIoU、FocusIoU等二十余种损失函数

​一、本文介绍
这篇文章介绍了YOLOv8的重大改进,特别是在损失函数方面的创新。它不仅包括了多种IoU损失函数的改进和变体,如SIoU、WIoU、GIoU、DIoU、EIOU、CIoU,还融合了“Focus”思想,创造了一系列新的损失函数。这些组合形式的损失函数超过了二十余种,每种都针对特定的目标检测挑战进行优化。文章会详细探讨这些损失函数如何提高YOLOv8在各种检测任务中的性能,包括提升精度、加快收敛速度和增强模型对复杂场景的适应性。本文章主要是为了发最近新出的Inner思想改进的各种EIoU的文章服务,其中我经过实验在绝大多数下的效果都要比本文中提到的各种损失效果要好。
二、各种损失函数的基本原理
2.1 交集面积和并集面积
在理解各种损失函数之前我们需要先来理解一下交集面积和并集面积,在数学中我们都学习过集合的概念,这里的交集和并集的概念和数学集合中的含义是一样的。
 
 
2.2 IoU
适用场景:普通的IoU并没有特定的适用场景
概念: 测量预测边界框和真实边界框之间的重叠度(最基本的边界框损失函数,后面的都是居于其进行计算)。
 
 
 
2.3 SIoU
适用场景:适用于需要高精度边界框对齐的场景,如精细的物体检测和小目标检测。
概念: SIoU损失通过融入角度考虑和规模敏感性,引入了一种更为复杂的边界框回归方法,解决了以往损失函数的局限性,SIoU损失函数包含四个组成部分:角度损失、距离损失、形状损失和第四个未指定的组成部分。通过整合这些方面,从而实现更好的训练速度和预测准确性。
 
 
2.4 WioU
适用场景:适用于需要动态调整损失焦点的情况,如不均匀分布的目标或不同尺度的目标检测。
概念:引入动态聚焦机制的IoU变体,旨在改善边界框回归损失。
 
 
2.5 GIoU
适用场景:适合处理有重叠和非重叠区域的复杂场景,如拥挤场景的目标检测。
概念: 在IoU的基础上考虑非重叠区域,以更全面评估边界框
 
 
2.6 DIoU
适用场景:适用于需要快速收敛和精确定位的任务,特别是在边界框定位精度至关重要的场景。
概念:结合边界框中心点之间的距离和重叠区域。
 
 
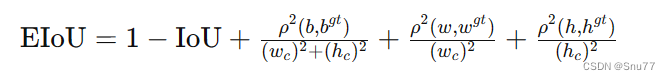
2.7 EIoU
适用场景:可用于需要进一步优化边界框对齐和形状相似性的高级场景。
概念:EIoU损失函数的核心思想在于提高边界框回归的准确性和效率。它通过以下几个方面来优化目标检测:
1. 增加中心点距离损失:通过最小化预测框和真实框中心点之间的距离,提高边界框的定位准确性。
2. 考虑尺寸差异:通过惩罚宽度和高度的差异,EIoU确保预测框在形状上更接近真实框。
3. 结合最小封闭框尺寸:将损失函数与包含预测框和真实框的最小封闭框的尺寸相结合,从而使得损失更加敏感于对象的尺寸和位置。
EIoU损失函数在传统IoU基础上增加了这些考量,以期在各种尺度上都能获得更精确的目标定位,尤其是在物体大小和形状变化较大的场景中。
 
2.8 CIoU
适用场景:适合需要综合考虑重叠区域、形状和中心点位置的场景,如复杂背景或多目标跟踪。
概念:综合考虑重叠区域、中心点距离和长宽比。
 
 
 
2.9 FocusLoss
适用场景:适用于需要高精度边界框对齐的场景,如精细的物体检测和小目标检测。
Focal Loss由Kaiming He等人在论文《Focal Loss for Dense Object Detection》中提出,旨在解决在训练过程中正负样本数量极度不平衡的问题,尤其是在一些目标检测任务中,背景类别的样本可能远远多于前景类别的样本。
Focal Loss通过修改交叉熵损失,增加一个调整因子这个因子降低了那些已经被正确分类的样本的损失值,使得模型的训练焦点更多地放在难以分类的样本上。这种方式特别有利于提升小目标或者在复杂背景中容易被忽视的目标的检测性能。简而言之,Focal Loss让模型“关注”(或“专注”)于学习那些对提高整体性能更为关键的样本。
具体改进方法可访问如下地址:

posted on 2024-01-16 18:49  Snu77  阅读(3631)  评论(0)    收藏  举报

导航