顺序存储二叉树

顺序存储二叉树

1. 介绍

  1. 从数据存储来看,数组的存储方式和树的存储方式是可以互相转换的,即数组可以转换成树,树也可以转换成数组;
  2. 遍历数组arr时,仍然可以以前序遍历中序遍历后序遍历的方式得到二叉树。
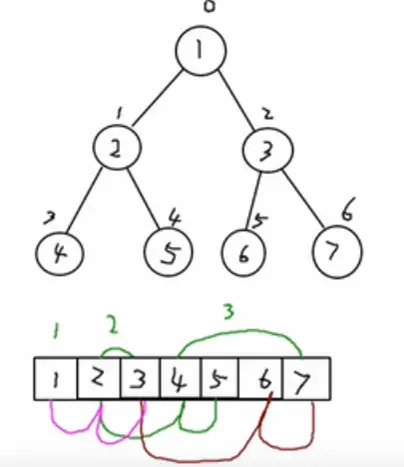
顺序存储二叉树.png 顺序存储二叉树2.png

2. 顺序存储二叉树的特点

  • 顺序存储二叉树通常只考虑完全二叉树
  • 下标为i的元素的左子节点为:2 × i + 1;
  • 下标为i的元素的右子节点为:2 × i + 2
  • 下标为i的元素的父节点为:(n - 1) / 2

3. 代码实现顺序存储二叉树的前、中、后序遍历

package com.datastructure;

import java.util.ArrayList;
import java.util.List;

/**
 * @author SnkrGao
 * @create 2023-05-09 10:51
 */
public class ArrayBinaryTreeDemo {
    public static void main(String[] args) {
        int[] arr = {1,2,3,4,5,6,7};
        ArrayBinaryTree arrayBinaryTree = new ArrayBinaryTree(arr);

        System.out.println("前序遍历:");
        System.out.println(arrayBinaryTree.preorderTraversal());
        System.out.println("中序遍历:");
        System.out.println(arrayBinaryTree.inorderTraversal());
        System.out.println("后序遍历:");
        System.out.println(arrayBinaryTree.postorderTraversal());
    }
}

class ArrayBinaryTree {
    private int[] arr; // 用于存储数据

    public ArrayBinaryTree(int[] arr) {
        this.arr = arr;
    }

    // 重载preorderTraversal,方便调用
    public List<Integer> preorderTraversal() {
        if (arr.length == 0) {
            System.out.println("数组为空,无法遍历二叉树!");
            return new ArrayList<>();
        }

        List<Integer> resList = new ArrayList<>();
        preorderTraversal(0, resList);

        return resList;
    }

    // 重载inorderTraversal,方便调用
    public List<Integer> inorderTraversal() {
        if (arr.length == 0) {
            System.out.println("数组为空,无法遍历二叉树!");
            return new ArrayList<>();
        }

        List<Integer> resList = new ArrayList<>();
        inorderTraversal(0, resList);

        return resList;
    }

    // 重载postorderTraversal,方便调用
    public List<Integer> postorderTraversal() {
        if (arr.length == 0) {
            System.out.println("数组为空,无法遍历二叉树!");
            return new ArrayList<>();
        }

        List<Integer> resList = new ArrayList<>();
        postinorderTraversal(0, resList);

        return resList;
    }

    public List<Integer> preorderTraversal(int index, List<Integer> list) {
        // 注意是顺序存储二叉树,list中放的是下标index对应的数组中的元素
        list.add(arr[index]);
        if (2 * index + 1 < arr.length) {
            list = preorderTraversal(2 * index + 1, list);
        }
        if (2 * index + 2 < arr.length) {
            list = preorderTraversal(2 * index + 2, list);
        }
        return list;
    }

    public List<Integer> inorderTraversal(int index, List<Integer> list) {
        if (2 * index + 1 < arr.length) {
            list = inorderTraversal(2 * index + 1, list);
        }
        list.add(arr[index]);
        if (2 * index + 2 < arr.length) {
            list = inorderTraversal(2 * index + 2, list);
        }

        return list;
    }

    public List<Integer> postinorderTraversal(int index, List<Integer> list) {
        if (2 * index + 1 < arr.length) {
            list = postinorderTraversal(2 * index + 1, list);
        }
        if (2 * index + 2 < arr.length) {
            list = postinorderTraversal(2 * index + 2, list);
        }
        list.add(arr[index]);

        return list;
    }
}
posted @ 2023-05-09 12:21  GaoakaJie  阅读(104)  评论(0)    收藏  举报